本文主要介绍基础粒子群算法的主要理论,并简单介绍自适应权重分配与压缩因子的用法(即速度更新公式的三个系数改进)。
实际上粒子群算法经历了数十年发展,衍生出的改进算法多种多样,这里就不再过多介绍。下面开始正文部分:
一.定义
粒子群优化算法(Particle Swarm optimization,PSO)又翻译为粒子群算法、微粒群算法、或微粒群优化算法。是通过模拟鸟群觅食行为而发展起来的一种基于群体协作的随机搜索算法。通常认为它是群集智能 (Swarm intelligence, SI) 的一种。它可以被纳入多主体优化系统(Multiagent Optimization System, MAOS)。粒子群优化算法是由Eberhart博士和kennedy博士发明。
二.数学原理:
粒子群算法主要利用了如下原理:
群体中的每个个体都可以从临近个体的以往经验中受益。涵盖三个方面:
①刺激的评价
②与近邻的比较
③对领先近邻的模仿。
(1)公式:
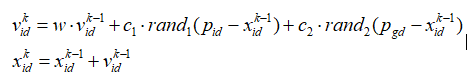
我们假设每个个体为一个D维空间的一个理想点,按照一定的速度飞行,这个速度是根据自身与同伴飞行经验动态调整的。假设D个粒子组成的集合为Xi(i从1到D),它经历过的最好位置组成的集合为Pi(i从1到D),也成为Pbest。在群体中经历过最好位置的索引号用符号g表示,即Pg也称Gbest,粒子i的速度用Vi表示,对于每一代,其第d维的变化方程如下:

第一行为速度更新公式:

本文深入介绍了粒子群优化算法(PSO)的理论基础,包括速度和位置更新公式,以及惯性权重、加速常数的作用。讨论了参数如规模m、最大速度Vmax、权重因子的影响,并探讨了自适应惯性权重和压缩因子的改进方法,以优化搜索性能。
最低0.47元/天 解锁文章
5521





