1.概述:Rumelhart,McClelland于1985年提出了BP网络的误差反向后传BP(Back Propagation)学习算法。原理是利用输出后的误差来估计输出层的直接前导层的误差,再用这个误差估计更前一层的误差,如此一层一层的反传下去,就获得了所有其他各层的误差估计。将误差分摊给各层的所有单元的误差信号进而修正各单元的权值,迭代直到到达可接受的误差或达到指定的次数。
是一种有导师的学习算法,是梯度下降法在多层前馈网中的应用。可看成是线性自适应神经元学习算法的进一步推广。
BP学习算法=前向计算过程+误差反向传播过程
2.模型:
BP网络的神经元模型是改进了感知器神经元模型得到的。

输入层:Wij=1,f(x)=x;隐层:f(x)=1/(1+e^(-x)) f(x)=(1-e(-x))/(1+e(-x));输出层:f(x)=(1-e(-x))/(1+e(-x)) f(x)=1/(1+e^(-x)) f(x)=kx
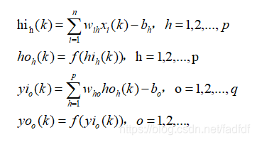
若输入层有n个神经元,隐含层有p个神经元,输出层有q个神经元
定义如下
输入向量; x=(x1,x2,…xn)
隐含层输入向量; hi=(hi1,hi2,…hip)
隐含层输出向量; ho=(ho1,ho2,…,hop)
输出层输入向量; yi=(yi1,yi2,…,yiq)
输出层输出向量; yo=(yo1,yo2,…,yoq)
期望输出向量; d=(d1,d2,…,dq)
输入层与中间层的连接权值: Wih
隐含层与输出层的连接权值: Who
隐含层各神经元的阈值: bh
输出层各神经元的阈值: bo
样本数据个数: k=1,2…,m
激活函数: f(·)
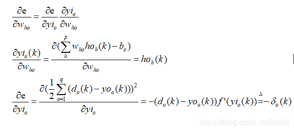
误差函数: e=0.5*∑(d(k)-yo(k))^2 从1到q求和
3.算法描述:
(1)网络初始化
给各连接权值分别赋一个区间(-1,1)内的随机数,设定误差函数e,给定计算精度值 和最大学习次数M。
(2)随机选取第 k个输入样本及对应期望输出
x(k)=(x1(k),x2(k),…,xn(k)) ;
d(k)=(d1(k),d2(k),…,dq(k))
(3)计算隐含层各神经元的输入和输出

(4)利用网络期望输出和实际输出,计算误差函数对输出层的各神经元的偏导数

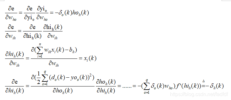
(5)利用隐含层到输出层的连接权值、输出层的 δ0(k) 和隐含层的输出计算误差函数对隐含层各神经元的偏导数 δh(k) 。

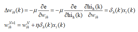
(6)利用输出层各神经元的 δ0(k) 和隐含层各神经元的输出来修正连接权值 who(k)

(7)利用隐含层各神经元的 δh(k) 和输入层各神经元的输入修正连接权。

(8)计算全局误差

(9)判断网络误差是否满足要求。当误差达到预设精度或学习次数大于设定的最大次数,则结束算法。否则,选取下一个学习样本及对应的期望输出,返回到第三步,进入下一轮学习。
4.MATLAB的函数:
newff

本文介绍了BP神经网络的基本原理,包括误差反向传播算法,详细阐述了模型结构、网络初始化、权重更新过程以及MATLAB中的函数实现。通过一个药品销售预测的案例,展示了BP网络在时间序列预测中的应用,强调了调整运行步数和预设误差精度对于降低预测误差的重要性。
最低0.47元/天 解锁文章
930

被折叠的 条评论
为什么被折叠?



