👂 梦寻古镇 - 羽翼深蓝Wings - 单曲 - 网易云音乐
目录
🐘B站 -- 重积分 -- 对弧长曲线积分(第一型) -- 对面积的曲面积分(第二型)
🐘B站 -- 集合论 -- 二元 -- 闭包 -- 等价 -- 偏序
🌼前言
只为了摸索下适合自己的学习方法,以前都是不预习,上课听一节睡一节,课后也没时间学
现在结合视频 + ppt + 课本 + 2倍作业量,在时间允许的前提下,应该能保证期末80分
更别提线代讲了很多矩阵,包含了很多矩阵算法,而且线性里面也许包含了线性DP的内容?
离散讲了图,树等等,还有异或的一些知识
高数则是绩点中比重最大的
谨以 6000字 + 50张图 + 3天 时间,给数学雪中送炭
具体操作是
结合高数,线代,离散ppt + 课本 + B站,三管齐下,盘它
🌼高数
其实,把下面这个视频刷上2次,每次跟着做一遍,想清楚,第3遍自己完整用所有方法做一遍所有题,就足够了👇(考研题)
👆👆
B站 + 课本知识和例题 + 5个ppt + 作业 + 额外刷题(预计耗时 1 + 1 + 2 + 1 + 2 = 7 小时)
👂 Shake That - Eminem/Nate Dogg - 单曲 - 网易云音乐
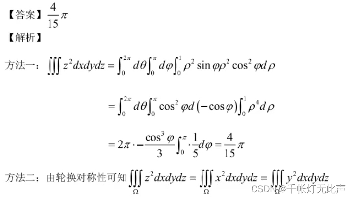
🐘B站 -- 三重积分
先看B站(2个小时)
怀疑视频里有些答案错了,搜题酱一搜,出现3个不同答案,,,
→ 三个视频 三重积分的计算_哔哩哔哩_bilibili
→ 高等数学|9.6 直角坐标系下三重积分的计算【2020降噪版】_哔哩哔哩_bilibili
再看B站( 3个小时)
→ 三重积分总结三重积分的计算方法:总结三种坐标形式_哔哩哔哩_bilibili
→ (考研题,稍微学下)刷题三重积分最全总结【例题+讲解】_哔哩哔哩_bilibili
考研题遇到的第一个坑,

定积分忘得差不多了,所以求sin$ * (cos$)^2d$时,忘记把右边化成d(cos$)了
这个情况和x^3dx不一样的

推荐方法一,比较简单常见,掌握的方法多了,做题效率不一定会提高
🐘课本 -- 7种曲面 + 公式
耗时0.3小时
只要记住图像和对应的公式,就能做三重积分了
1,椭圆抛物面
2,椭球面
3,椭圆锥面
4,单叶双曲面
4,双叶双曲面
5,椭圆柱面,双曲柱面,抛物柱面
🐘PPT -- 知识点 + 例题
耗时2小时




来道切片法例题(虽然解题过程跳步了,不是很友好)



再来个B站的补充例题

出现x^2+y^2或者x/y考虑极坐标表示
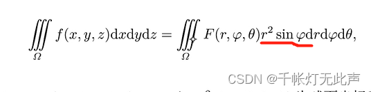
然后是柱面坐标
球面坐标
关于轮换对称性 -->> 化简
以上资料部分来自于B站的
ppt看不动了,做作业把
此处建议回头做一次考研题的视频,讲的真的好
→ (考研题,稍微学下)刷题三重积分最全总结【例题+讲解】_哔哩哔哩_bilibili
看 + 做完PPT后,再超额完成作业即可(老师布置10题,你就做20题,往死里卷)
夸张了,所谓死里卷,只是为了不挂科,只是因为ddl结束后才开始做作业,只是为了期末的80分而已
2023/4/19 11:59 周三 这周的作业马上就要布置了,才做完上周的作业
所幸做了2倍题量,题型有:
二重积分:直角坐标系,极坐标系
三重积分:直角坐标系,柱坐标系
重点考察公式和图形的联系 + 画图能力
🐘B站 -- 重积分 -- 对弧长曲线积分(第一型) -- 对面积的曲面积分(第二型)
只能说,不预习,加上偶尔打瞌睡,这部分没听懂,还是得课后补,两倍的题量也要坚持
大一下三门数学的情况下(离散,线代,高数下),应该是大学4年最容易挂科的一学期
坚持坚持,少点放纵,会跟上的
重积分
👇这个视频看到10'30就没必要看了,前10分钟复习3种积分法
→ 【高等数学(下)】2022 通关速学 第3章 重积分_哔哩哔哩_bilibili
重积分是大一上定积分的延申,定积分中
第一类换元法:1,凑常数(提出常数) 2,凑微分(d左边提到d右边变成原函数)
第二类换元法:1,d左边导数有√(ax + b),令t = √(ax + b),同时换积分限和d()
分部积分法:幂函数(y=x⁰ 、y=x¹、y=x²...),指数函数(y=a^x, e^x...),三角函数(sinx...),放到d右边积分(三角和指优先,没有就幂)
相乘再相减,比如下图
=
(分部积分法)
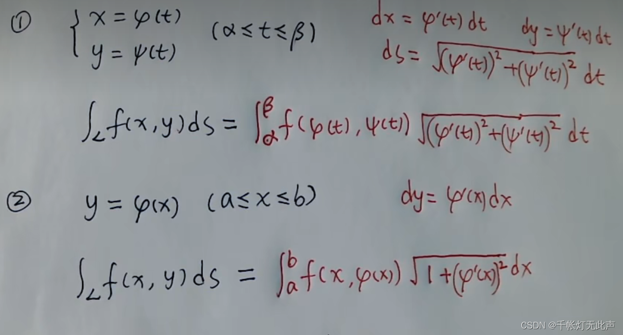
对弧长
→【高等数学】对弧长的曲线积分的计算_哔哩哔哩_bilibili
以下图来自👆这个视频
原理

类型


--------------------------看到这了-----------------------------------
→ 高等数学|10.1 第一型曲线积分【2020降噪版】_哔哩哔哩_bilibili
对面积
→ 高等数学|11.2 第二型曲面积分(上)直接投影法【2020降噪版】_哔哩哔哩_bilibili
→ 高等数学|11.3 第二型曲面积分(下)转换投影法_哔哩哔哩_bilibili
🌼离散
依然秉持2倍题量的原则,真的不想挂啊,好好学一周,作为过去2个月的弥补
🐘B站 -- 集合论 -- 二元 -- 闭包 -- 等价 -- 偏序
预计耗时 2 + 1 = 3小时
👇这个不太行,只会念PPTP25 - P30,共6个视频,看完,跟着做完(这个有点烂,没有例题,只讲公式和证明)
👇这个好,每个概念都结合了例题P76 - P80,共5个视频,看完,跟着做完((ง •_•)ง有例题)
7.1讲解1 二元关系 有序对与笛卡尔积_哔哩哔哩_bilibili
以下截图来源于上述视频





总结:
1,自反:包含 空关系 + 恒等(基础上增添其他) -- 每个节点都有环 / 主对角线都为1
2,反自反:出现成对反向的,两个元素不能相等 -- 每个节点都无环 / 主对角线都为0
3,对称:有xRy就要有yRx -- 两个节点之间不能出现有向边(只能无向)/ 关于主对角线对称
4,反对称:xRy和yRx同时存在,则x必须等于y -- 不同节点不能出现无向边 / 关于对角线对称不能同时为1
5,传递:存在xRy和yRz,就必须存在xRz -- 按蕴含式来,前件为假,就为真;都为真,也为真
再来看看剩下几个知识点(配例题)
闭包
👇真的快,5分钟掌握三种闭包求法,就是传递闭包计算量太大了
建议自己传,类似2层for循环遍历,从1~n一个不漏试n轮
→ 如何快速掌握自反闭包、关系闭包,传递闭包的求法|期末大学生|离散数学_哔哩哔哩_bilibili
→ 自考02324离散数学 求闭包 真题解析 典型题型 自考计算机 专升本_哔哩哔哩_bilibili
等价关系 + 偏序
后面直接开2倍速,速刷
→ 自考《02324离散数学》 等价关系、等价类、划分 真题解析 典型题型 自考计算机 专升本_哔哩哔哩_bilibili
→ 偏序关系,良序关系,全序关系的关系_哔哩哔哩_bilibili
注意,偏序里的“偏”,是局部的意思,和全序相对应
全序则是在偏序(课本概念)基础上,两两的关系全部存在(不看顺序,都存在就行)
🐘课本 -- 闭包
笛卡儿积,自反,反自反,对称,反对称,传递,已经讲的很清楚了
下面只看看闭包
好了,视频看够了,不用看了,开始2倍题量做作业
🌼线代
→ 【俗说矩阵】 用矩阵解齐次线性方程组这要这么几步就搞定了!真的好简单_哔哩哔哩_bilibili
👆第一个视频最后解出通解的方法,不习惯,还是按最笨的方法吧,主要是记不住
→ 【俗说矩阵】用矩阵求非齐次线性方程组轻轻松松,几步就能搞定!_哔哩哔哩_bilibili
👆接下来是非齐次,也就是常数项不全为0
→ 第3题-考研数学线代-求解非齐次线性方程组-矩阵的初等行变换-增广矩阵化行最简-求非齐次特解和齐次基础解系-非齐次通解=齐次通解+非齐次特解_哔哩哔哩_bilibili
完成视频的观看 和 视频里的例题 后,就可以开启2倍题量的作业了,终于在平时作业找到了一点点信心,,,等作业基本搞定了,还有时间的话就去学算法
非齐次线性方程组
![]()
1,无解
![]()
2,有解
![]()
(1)唯一解
![]()
(2)无穷解
![]()
这个视频,彻底搞定“向量组的相关性证明”!(考研必看)_哔哩哔哩_bilibili
🍉C++作业
顺时针螺旋方阵
C++作业遇到一题,顺时针螺旋方阵,博客园,优快云,C语言中文网看了7~8篇博客,只有一种方法

AC代码
#include<iostream>
using namespace std;
int a[100][100];
int main()
{
int n, j, num = 1;
cin>>n;
//按(0,0),(0,1)的方式画出5x5的方阵找规律
//需要1~2次debug
for(int i = 0; i < n / 2; ++i) {
//上方
for(j = i; j <= n - i - 1; ++j)
a[i][j] = num++;
//右方
for(j = i + 1; j < n - i - 1; ++j)
a[j][n - i - 1] = num++;
//下方
for(j = n - i - 1; j >= i; --j)
a[n - i - 1][j] = num++;
//左方
for(j = n - i - 2; j >= i + 1; --j)
a[j][i] = num++;
}
if(n % 2 == 1) //奇数的话,中间是最后一个数
a[n/2][n/2] = n * n;
for(int i = 0; i < n; ++i) {
for(int j = 0; j < n; ++j)
cout<<a[i][j]<<"\t"; //制表符美观
cout<<endl;
}
return 0;
}
7
1 2 3 4 5 6 7
24 25 26 27 28 29 8
23 40 41 42 43 30 9
22 39 48 49 44 31 10
21 38 47 46 45 32 11
20 37 36 35 34 33 12
19 18 17 16 15 14 13
A - B数对
又是一道C++作业题
AC 代码
这里有个坑,以前忽略了的,就是你创建的文本文件,比如是team,不需要在重命名时加上.txt,直接team即可,因为记事簿本身就是.txt文件,自带的
#include<iostream>
#include<fstream> //
#include<vector> //类似数组
int ans = 0;
using namespace std;
int main()
{
int n, c;
ifstream infile("dd.txt"); //读入文件数据
infile>>n>>c; //读入文件中数字个数n, 差值c
vector<int>nums(n, 0); //元素个数为n, 初始化为0的整型向量
for(int i = 0; i < n; ++i)
infile>>nums[i]; //依次读取文件中n个整数
infile.close(); //关闭文件
//双指针部分, 已知从小到大排序了
int l = 0, r = 0;
for(int i = 0; i < n; ++i) { //确定a[i]再用左右游标
int numC = nums[i] + c;
while(l < n && nums[l] < numC) l++; //第一个连续的点
while(r < n && nums[r] <= numC) r++; //最后一个连续点的下一位
ans += r - l; //区间满足a - b == c
}
cout<<ans;
return 0;
}
同一目录下的文件,直接不要.in, .out这些就行
只需要对应改成这样即可
ifstream infile("dec9.in"); //读入文件数据
这是其中一组数据Ubuntu Pastebin
输出是36
文章详细描述了一位学生采用视频、PPT、课本和额外练习相结合的方式来学习高数、离散数学和线性代数的过程。通过刷B站视频,做2倍作业量,力求理解和掌握每个概念。同时,文章还提到了在C++作业中解决螺旋方阵问题的经验。










出现x^2+y^2或者x/y考虑







4940

被折叠的 条评论
为什么被折叠?



