在小学我们就学习了角度,然后到了初高中才学习了弧度,但弧度这个后来者却成为了数学中的重要组成部分,取角度而代之,这是为什么?
简单的回答就是,弧度使得代数运算更简单,下面来详细解释下。
往下面看的时候需要你对角度、弧度有所了解,如果不清楚可以先看“为什么会有弧度制”这篇文章,还可以扩展看下这里和这里。
1 角的度量
首先来清晰下本文要解决的问题,让我们从角的定义说起。角可看作是旋转运动的产物:

角的大小可以用多种方式来度量:

解释下上面这个动画:
-
角度是这么度量的:当没有旋转时,角的大小记作
,当旋转了
时,记作
,旋转一周记作
-
弧度是这么度量的:当没有旋转时,角的大小记作
,旋转了
时,记作
,旋转一周记作
-
当然还可以有别的度量方式,比如没有旋转时,角的大小记作
,旋转一周记作
,等等
在这么多计量方式中,弧度会使得代数运算更简单,这就是本文要解释的核心问题。
2 直觉
我们先通过直觉来解释下为什么弧度会更好:
(1)角度认为旋转一周,数值会从 变化到
。这种计量方法是古巴比伦人发明的,可能源于古巴比伦一直使用
进制,还可能因为
容易被整除,其真因数除了
和自身以外,一共有
个(
、
、
、
、
、
、
、
、
、
、
、
、
、
、
、
、
、
、
、
、
、
),所以很多特殊角的角度都是整数。
不过从数学角度看,上面的理由都不太重要,古巴比伦人这样发明其实蛮随意的。
(2)而弧度认为旋转一周,数值会从 变化到
,这种计量方法包含了圆周率
,这是圆的本质特征,所以它会是更好的计量方法。
下面再来定量的分析,通过计算来展示下弧度是更好的计量方法。
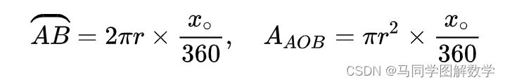
3 弧长和扇形面积
假设圆的半径为 ,其中有某
角:

如果用弧度(下面用 表示采用的是弧度)来计算弧长AB 以及扇形
的面积,因为弧度包含了圆周率
,所以结果很简单:

而用角度(下面用 表示采用的是角度)来计算的话,其结果会更复杂:

4 重要极限
在微积分中有一个重要的极限 ,用弧度和角度得到的答案也不一样。
4.1 弧度
首先引入一个单位圆,从中取 角:

在 中,根据三角函数,容易得到
以及
:

以及:

借助上一节推导过弧度下的扇形面积,上面不等式可以写作:
最终利用夹逼定理可以求出:
4.2 角度
如果用角度的话,那么这些不等式:
![]()
借助角度下的扇形面积,可以写作:
说明下,上面的 和
是角度制下的三角函数,它们接受角度值,和弧度制下的三角函数关系为:
接着用夹逼定理,最终可得:
5 求导
基于上述重要极限 的求解,可得弧度制下
的导数为:

通过链式法则就可以得到角度制下 的导数为:
6 总结
可以看到,在弧度制下,从弧长计算开始就很简单,这种简单一直延续到各种计算:

可以想象,除了上述结果外,各种三角函数、对应泰勒级数等在弧度制下都会最简单,所以我们会使用弧度。
原创内容,未授权请勿转载,内容合作意见反馈联系公众号「马同学图解数学」
本文揭示了弧度在数学运算中的优势,通过直觉和实例比较,解释了弧度测量更简洁,尤其是在微积分和几何计算中的应用,如弧长和扇形面积计算。弧度制与圆周率紧密相连,使得代数表达更为直观和高效。
1939

被折叠的 条评论
为什么被折叠?



