函数 的图像如下:

它其实和二次曲线的图像差不多,比如 :

那我们有没有办法找到一个最接近 的二次曲线,从而实现函数的降维呢(这里看起来像是降幂,其实是降维,后面会进一步解释)?这就是本文要讨论的问题。
本文讨论的或许有点高能,如果同学能沉下心来看完,就算没有完全看懂,也可能会在数学上开一扇窗。
1 正交投影与降维
让我们从某个向量的降维说起。这需要两步,“正交投影”和“降维”,下面一一来说明。
1.1 正交投影
比如下图是三维向量 :

假如将其向某平面 作垂线,得到它的正交投影
:

根据高中的几何知识可知, 是平面
中离三维向量
最近的点,其余点(比如下图中的红点)和
的距离都会更远:

所以,可认为正交投影 是平面
中关于三维向量
的最佳近似。
1.2 降维
假设平面 是由
和
张成的:

那么正交投影 就必然可由
和
线性组合出来:

也就是存在 使得:
或者认为正交投影 在平面
中的坐标为
。所以,如果用正交投影
来近似表示
的话,就可以认为完成了
的降维:

2 函数的降维
2.1 原理
函数降维的原理和上面类似,但更抽象,不容易图形化,所以下面的讲解需要同学们大胆地去想象。
函数 其实也是一个向量,它由向量
、
、
、
以及
(向量变为由函数构成,这样会极大扩大线性代数的应用场景。至于为什么能这么做,同学们可以自己扩展阅读高等代数)线性组合而成,也就是说它在
、
、
、
以及
张成的向量空间中:
如果将该函数向量 投影到
、
和
张成的向量空间,其正交投影肯定由
、
和
线性组合而成,这样就达到了降维的目的。
2.2 制定标准
和实数相比,函数更为复杂,所以函数向量的近似也更复杂。比如下面有两个二次函数,它们都是对 不错的近似:

哪一个更好?就看你的判断标准是什么。比如其中的 ,它在
、
以及
时和四次函数
完全重合:

如果以这三点为判断标准的话,那么选择该二次函数作为近似就是最好的。下面是具体的计算过程。
2.3 函数值向量
要近似的函数向量是四次函数 ,因为判断标准是
、
以及
这三个点,所以将这三个点对应的函数值算出来,组成函数值向量

要求的二次函数由 、
和
线性组合而成,那么
、
以及
这三个点的二次函数值也会由
、
和
的函数值线性组合而成,所以分别算出函数向量
、
和
在这三个点的函数值向量:

(说明一下,比如 是一个常值函数,所以在
、
以及
这三个点的函数值都为
,所以此时函数值向量为
;而
在
、
以及
这三个点的函数值分别为
、
后
,所以其函数值向量为
,
的函数值向量以此类推。)
这样我们就有了 4 个函数向量和函数值向量:

为什么要算出函数值向量呢?因为 、
以及
这三个点是我们的判断标准,所谓标准就是用它们来计算,也就是之后的投影操作都会用到这些函数值向量。
2.4 正交基
我们要投影的向量空间是由 、
和
张成的,这三个向量目前并不是两两正交的,这样没有办法计算投影,所以先需要转为正交基。
为什么说不是两两正交的呢?因为我们的判断标准,也就是它们对应的函数值向量的点积不全为 :
下面用之前介绍过的施密特正交化来完成正交操作:

其中 ,这说明
和
是正交的,所以只需要计算(所有的点积运算都要依靠我们的判断标准,也就是函数值向量来进行):
这样我们就得到了要投影的向量空间的正交基 、
和
,以及对应的函数值向量:

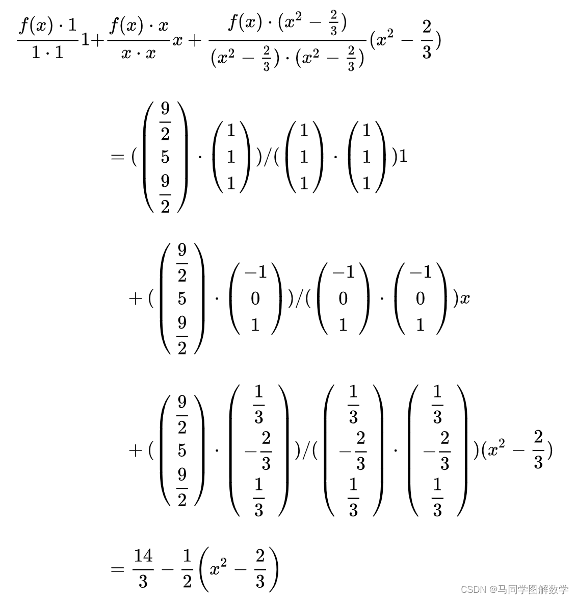
2.5 完成投影
现在有了正交基以及函数向量 :

下面来计算函数向量 对正交基
、
和
所张成向量空间的投影(下列公式其实在施密特正交化中也介绍过,这个公式需要正交基才能成立):

这就是之前得到的二次函数:

用拉格朗日插值法也可以得到上述二次函数。
3 不一样的判断标准
如果我们的判断标准修改为 、
、
、
以及
这五个点,那么函数向量保持不变,用于判断的函数值向量需要修改下:

按照上面流程,投影得到的二次函数为 (这个结果就没法通过拉格朗日插值法得到):

可以看到该二次函数在这五个点虽然不一定重叠,但都还是比较接近的,综合考虑起来是所有二次函数中最佳的。
能不能考虑所有的点呢?也是可以的,就需要使用微积分了,这里不再深入讨论。
原创内容,未授权请勿转载,内容合作意见反馈联系公众号「马同学图解数学」
本文探讨了如何通过正交投影实现函数的降维,类似于将三维向量投影到二维平面上。首先介绍了正交投影的概念,以三维向量为例,解释了正交投影是最优近似的性质。接着,阐述了函数降维的原理,将函数视为向量,并通过选取特定点作为标准,将函数向量投影到低维空间。最后,通过实例展示了不同判断标准下的函数近似,并指出微积分可用于考虑所有点的情况。
3525





