文章目录
1 单标签二分类问题
1.1 单标签二分类算法原理
- 单标签二分类这种问题是我们最常见的算法问题,主要是指label标签的取值只有两种,并且算法中只有一个需要预测的label标签;直白来讲就是每个实例的可能类别只有两种(A or B);此时的分类算法其实是在构建一个分类线将数据划分为两个类别。常见的算法:Logistic、SVM、KNN等

1.2 Logistic算法原理

2 单标签多分类问题
2.1 单标签多分类算法原理
- 单标签多分类问题其实是指待预测的label标签只有一个,但是label标签的取值可能有多种情况;直白来讲就是每个实例的可能类别有K种(t1,t2,…tk,k≥3);常见算法:Softmax、KNN、决策树等;

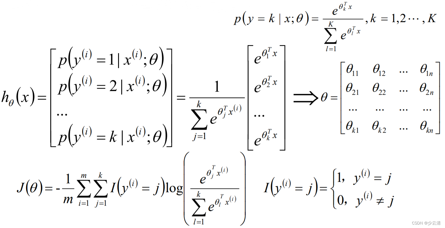
2.2 Softmax算法原理

在实际的工作中,如果是一个多分类的问题,我们可以将这个待求解的问题转换 为二分类算法的延伸,即将多分类任务拆分为若干个二分类任务求解,具体的策 略如下:
- One-Versus-One(ovo):一对一
- One-Versus-All / One-Versus-the-Rest(ova/ovr): 一对多
- Error Correcting Output codes(纠错码机制):多对多

2.3 ovo
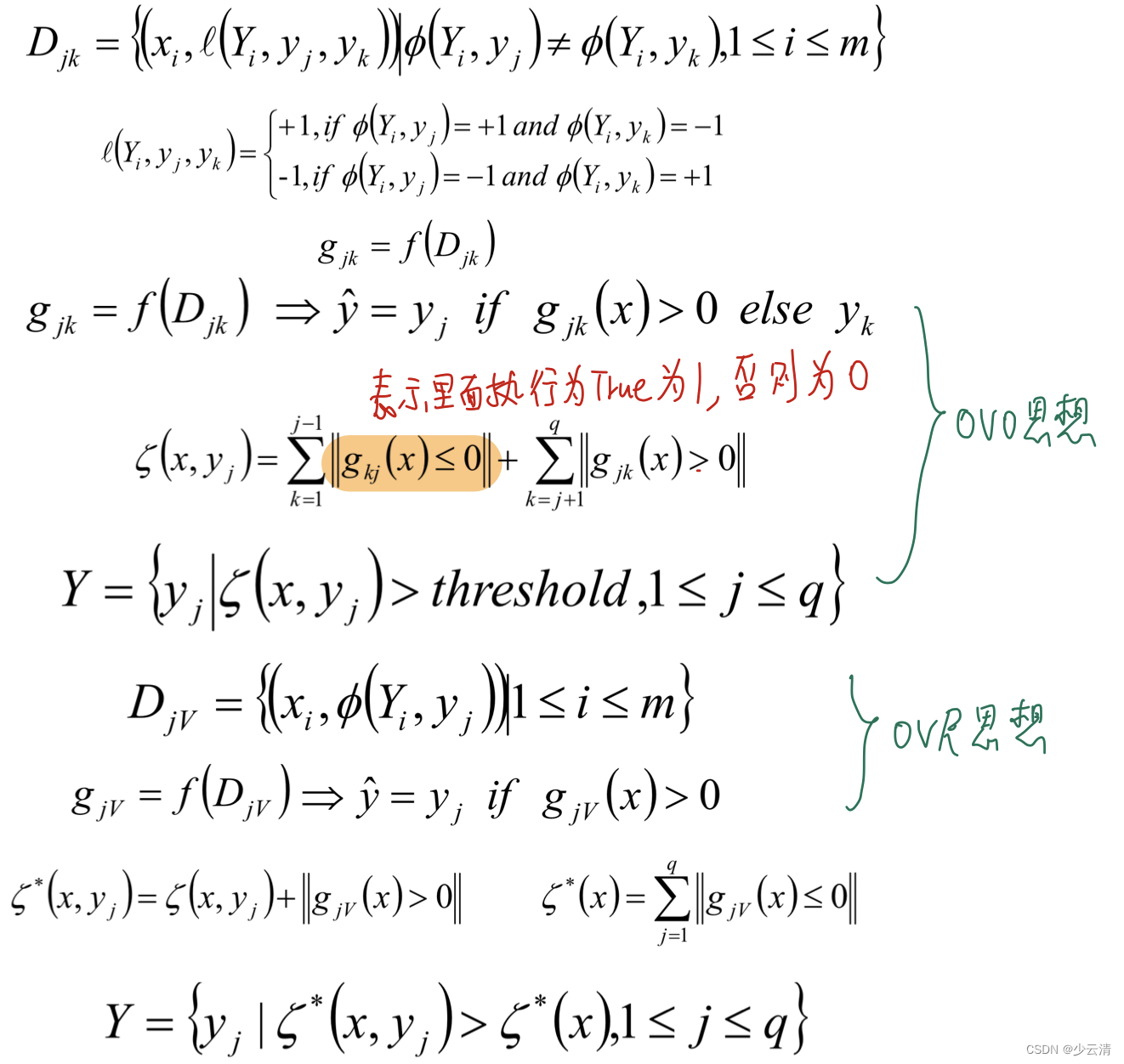
原理:将K个类别中的两两类别数据进行组合,然后使用组合后的数据训练出来一个模型,从而产生K(K-1)/2个分类器,将这些分类器的结果进行融合,并将分类器的预测结果使用多数投票的方式输出最终的预测结果值。

https://scikit-learn.org/0.19/modules/generated/sklearn.multiclass.OneVsOneClassifier.html#sklearn.multiclass.OneVsOneClassifier
2.4 ovr
原理:在一对多模型训练中,不是两两类别的组合,而是将每一个类别作为正例,其它剩余的样例作为反例分别来训练K个模型;然后在预测的时候,如果在这K个模型中,只有一个模型输出为正例,那么最终的预测结果就是属于该分类器的这个类别;如果产生多个正例,那么则可以选择根据分类器的置信度作为指标,来选择置信度最大的分类器作为最终结果,常见置信度:精确度、召回率。

https://scikit-learn.org/0.19/modules/generated/sklearn.multiclass.OneVsRestClassifier.html#sklearn.multiclass.OneVsRestClassifier
2.5 OvO和OvR的区别

2.6 Error Correcting
原理:将模型构建应用分为两个阶段:编码阶段和解码阶段;编码阶段中对K个类别中进行M次划分,每次划分将一部分数据分为正类,一部分数据分为反类,每次划分都构建出来一个模型,模型的结果是在空间中对于每个类别都定义了一个点;解码阶段中使用训练出来的模型对测试样例进行预测,将预测样本对应的点和类别之间的点求距离,选择距离最近的类别作为最终的预测类别。

https://scikit-learn.org/0.19/modules/generated/sklearn.multiclass.OutputCodeClassifier.html#sklearn.multiclass.OutputCodeClassifier
3 多标签算法问题
Multi-Label Machine Learning(MLL算法)是指预测模型中存在多个y值,具体分为两类不同情况:
- 多个待预测的y值;
- 在分类模型中, 一个样例可能存在多个不固定的类别。
根据多标签业务问题的复杂性,可以将问题分为两大类:
- 待预测值之间存在相互的依赖关系;
- 待预测值之间是不存在依赖关系的。
对于这类问题的解决方案可以分为两大类:
- 转换策略(Problem Transformation Methods);
- 算法适应(Algorithm Adaptation)。

3.1 Problem Transformation Methods
Problem Transformation Methods又叫做策略转换或者问题转换,是一种将多标签的分类问题转换成为单标签模型构造的问题,然后将模型合并的一种方式,主要有以下几种方式:
- Binary Relevance(first-order)
- Classifier Chains(high-order)
- Calibrated Label Ranking(second-order)
3.1.1 Binary Relevance
Binary Relevance的核心思想是将多标签分类问题进行分解,将其转换为q个二元分类问题,其中每个二元分类器对应一个待预测的标签。(q为y的数目,也就是标签的数目)

Binary Relevance方式的优点如下:
- 实现方式简单,容易理解;
- 当y值之间不存在相关的依赖关系的时候,模型的效果不错。
缺点如下:
- 如果y直接存在相互的依赖关系,那么最终构建的模型的泛化能力比较弱;
- 需要构建q个二分类器,q为待预测的y值数量,当q比较大的时候,需要构建的模型 会比较多。
3.1.2 Classifier Chains
Classifier Chains的核心思想是将多标签分类问题进行分解,将其转换成为一个二元分类器链的形式,其中链后的二元分类器的构建是在前面分类器预测结果的基础上的。在模型构建的时候,首先将标签顺序进行shuffle打乱排序操作,然后按照从头到尾分别构建每个标签对应的模型。


Classifier Chains方式的优点如下:
- 实现方式相对比较简单,容易理解;
- 考虑标签之间的依赖关系,最终模型的泛化能力相对于Binary Relevance方式构建的模型效果要好。
缺点如下:
- 很难找到一个比较适合的标签依赖关系。
https://scikit-learn.org/0.19/modules/generated/sklearn.multioutput.ClassifierChain.html#sklearn.multioutput.ClassifierChain
3.1.3 Calibrated Label Ranking
Calibrated Label Ranking的核心思想是将多标签分类问题进行分解,将其转换为标签的排序问题,最终的标签就是排序后最大的几个标签值。

Calibrated Label Ranking 方式的优点如下:
- 考虑了标签两两组合的情况,最终的模型相对来讲泛化能力比较好。
缺点如下:
- 只考虑两两标签的组合,没有考虑到标签与标签之间的所有依赖关系。
https://scikit-learn.org/0.19/modules/generated/sklearn.multioutput.MultiOutputClassifier.html#sklearn.multioutput.MultiOutputClassifier
3.2 Algorithm Adaptation
Algorithm Adaptation又叫做算法适应性策略,是一种将现有的单标签的算法直接应用到多标签上的一种方式,主要有以下几种方式:
- ML-kNN (ML:多个标签的意思)
- ML-DT
3.2.1 ML-kNN
k近邻算法(k-Nearest Neighbour, KNN)的思想:如果一个样本在特征空间中的k个最相似(即特征空间中距离最近)的样本中的大多数属于某一个类别,那么该样本属于这个类别。
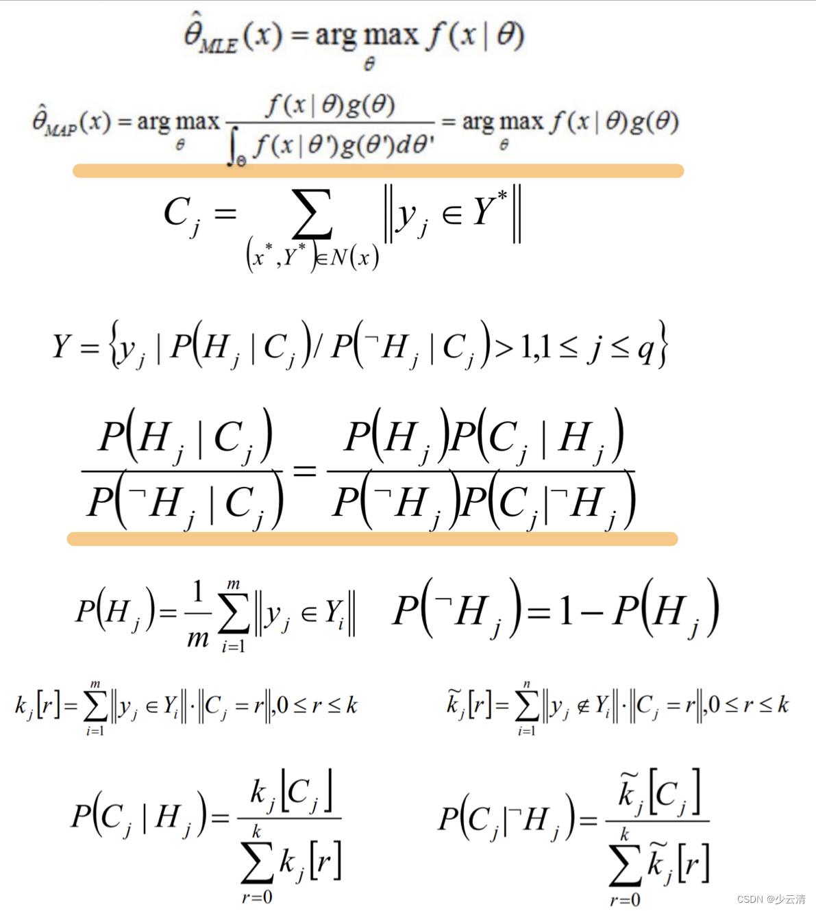
**ML-kNN的思想:**对于每一个实例来讲,先获取距离它最近的k个实例,然后使用这些实例的标签集合,通过最大后验概率(MAP)来判断这个实例的预测标签集合的值。
**最大后验概率(MAP):**其实就是在最大似然估计(MLE)中加入了这个要估计量 的先验概率分布。

3.2.2 ML-DT
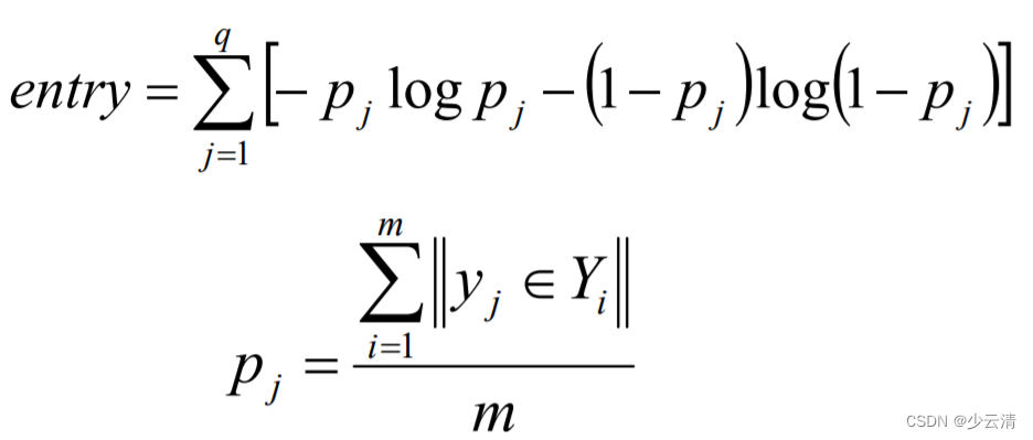
ML-DT是使用决策树处理多标签内容,核心在于给予更细粒度的信息熵增益准则来构建这个决策树模型。

10万+

被折叠的 条评论
为什么被折叠?



