本人很菜只能在C组,并且题解不全,见谅。
题单链接:传送门
该文章顺序根据该oj给出的题目顺序,并非赛时题目顺序。
目录
卡片
题目描述
小蓝有很多数字卡片,每张卡片上都是数字0 到9。
小蓝准备用这些卡片来拼一些数,他想从1 开始拼出正整数,每拼一个,就保存起来,卡片就不能用来拼其它数了。
小蓝想知道自己能从1 拼到多少。
例如,当小蓝有30 张卡片,其中0 到9 各3 张,则小蓝可以拼出1 到10,但是拼11 时卡片1 已经只有一张了,不够拼出11。
现在小蓝手里有0 到9 的卡片各2021 张,共20210 张,请问小蓝可以从1拼到多少?
提示:建议使用计算机编程解决问题。
思路
从数字1开始往后遍历,直到无法拼出数字为止。
代码
#include<bits/stdc++.h>
using namespace std;
int num[12]; //存数字i的个数
int main()
{
for(int i = 0; i <= 9; i ++ ) num[i] = 2021;
for(int i = 1; ; i ++ )
{
int k = i;
while(k)
{
int h = k % 10; //需要用到的数字
if(num[h] > 0) //如果该数字还有
{
num[h] --; //该数字剩余卡片个数减1
}
else //如果数字不够用了
{
cout << i - 1; //当前数字不能组成,所以输出该数字的上一个数字
return 0; //结束循环
}
k /= 10;
}
}
return 0;
}
故答案为3181
路径
题目描述
小蓝学习了最短路径之后特别高兴,他定义了一个特别的图,希望找到图中的最短路径。
小蓝的图由2021 个结点组成,依次编号1 至2021。
对于两个不同的结点a, b,如果a 和b 的差的绝对值大于21,则两个结点之间没有边相连;
如果a 和b 的差的绝对值小于等于21,则两个点之间有一条长度为a 和b 的最小公倍数的无向边相连。
例如:结点1 和结点23 之间没有边相连;结点3 和结点24 之间有一条无向边,长度为24;
结点15 和结点25 之间有一条无向边,长度为75。
请计算,结点1 和结点2021 之间的最短路径长度是多少。
提示:建议使用计算机编程解决问题。
思路
dijkstra模板题,这题邻接矩阵就能存,我这里用的是堆优化版的。
代码
#include<bits/stdc++.h>
using namespace std;
typedef pair<int, int>PII;
//我这里偷懒用的vector,实际会慢很多
vector<PII>v[3000]; //first为边,second为权值
int dist[3000];
bool st[3000];
int bfs()
{
priority_queue<PII, vector<PII>, greater<PII> >q;
q.push({0, 1});
while(q.size())
{
PII k = q.top();
q.pop();
int x = k.first, y = k.second;
if(st[y]) continue;
st[y] = 1;
for(int i = 0; i < v[y].size(); i ++ )
{
int xx = v[y][i].first, yy = v[y][i].second;
if(dist[xx] > x + yy)
{
dist[xx] = x + yy;
q.push({dist[xx], xx});
}
}
}
return dist[2021];
}
int main()
{
memset(dist, 0x3f, sizeof dist);
for(int i = 1; i <= 2021; i ++ )
{
for(int j = 1; j <= 21; j ++ )
{
int k = i + j;
int gcd = __gcd(i, k);
int val = i * k / gcd;
v[i].push_back({k, val});
v[k].push_back({i, val});
}
}
cout << bfs();
return 0;
}
故答案为10266837
空间
题目描述
小蓝准备用256MB 的内存空间开一个数组,数组的每个元素都是32 位二进制整数。
如果不考虑程序占用的空间和维护内存需要的辅助空间,请问256MB 的空间可以存储多少个32 位二进制整数?
思路
要知道他们之间的关系:8b = 1B 也就是8位等于1B
32位也就是4B
256MB = 256 * 1024 KB = 256 * 1024 * 1024 B
答案就是256 * 1024 * 1024 / 4 = 67108864个
ASC
题目描述
已知大写字母 A 的 ASCII 码为 65,请问大写字母 L 的 ASCII 码是多少?
思路
手写往后推,或者直接代码。
代码
#include<bits/stdc++.h>
using namespace std;
int main()
{
char c = 'L';
cout << (int)c;
return 0;
}
故答案为76
相乘
题目描述
题目描述
小蓝发现,他将 1 至 1000000007 之间的不同的数与 2021 相乘后再求除以 1000000007 的余数,会得到不同的数。
小蓝想知道,能不能在 1 至 1000000007 之间找到一个数,与 2021 相乘后 再除以 1000000007 后的余数为 999999999。
如果存在,请在答案中提交这个数; 如果不存在,请在答案中提交 0。
思路
根据题意直接暴力即可。
代码
#include<bits/stdc++.h>
using namespace std;
//注意开long long
#define int long long //陋习陋习
const int N = 1000000007;
signed main()
{
for(int i = 1; i <= N; i ++ )
{
if(i * 2021 % N == 999999999)
{
cout << i;
break;
}
}
return 0;
}
故答案为17812964
左孩子右兄弟
题目描述
对于一棵多叉树,我们可以通过“左孩子右兄弟” 表示法,将其转化成一棵二叉树。
如果我们认为每个结点的子结点是无序的,那么得到的二叉树可能不唯一。
换句话说,每个结点可以选任意子结点作为左孩子,并按任意顺序连接右兄弟。
给定一棵包含N 个结点的多叉树,结点从1 至N 编号,其中1 号结点是根,每个结点的父结点的编号比自己的编号小。
请你计算其通过“左孩子右兄弟” 表示法转化成的二叉树,高度最高是多少。
注:只有根结点这一个结点的树高度为0 。
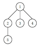
例如如下的多叉树:

可能有以下3 种(这里只列出3 种,并不是全部) 不同的“左孩子右兄弟”表示:

其中最后一种高度最高,为4。
输入格式
输入的第一行包含一个整数N。
以下N-1 行,每行包含一个整数,依次表示2 至N 号结点的父结点编号。
对于30% 的评测用例,1 ≤ N ≤ 20;
对于所有评测用例,1 ≤ N ≤ 100000。
输出格式
输出一个整数表示答案。
输入样例
5
1
1
1
2
输出样例
4
思路
首先记录这棵树的路径,看到数据范围明显不能用邻接矩阵存,理论上应该用链表存,我太懒了用vector比较清晰,直接dfs,累加一下该节点的所有子节点个数,记录一下max即可,具体看代码以及注释
代码
#include<bits/stdc++.h>
using namespace std;
#define int long long //陋习陋习
vector<int>v[100010];
int sum;
int ls;
void dfs(int k)
{
if(v[k].size() == 0) //该节点没有子节点了,记录max
{
sum = max(sum, ls);
return;
}
for(int i = 0; i < v[k].size(); i ++ )
{
ls += v[v[k][i]].size(); //加上该节点的子节点个数
dfs(v[k][i]);
ls -= v[v[k][i]].size(); //回溯
}
}
signed main()
{
int n;
cin >> n;
for(int i = 2; i <= n; i ++ )
{
int x;
cin >> x;
v[x].push_back(i);
}
ls = v[1].size(); // 初始为根节点的子节点个数
dfs(1);
cout << sum;
return 0;
}
时间显示
题目描述
小蓝要和朋友合作开发一个时间显示的网站。
在服务器上,朋友已经获取了当前的时间,用一个整数表示。
值为从1970 年1 月1 日00:00:00 到当前时刻经过的毫秒数。
现在,小蓝要在客户端显示出这个时间。
小蓝不用显示出年月日,只需要显示出时分秒即可,毫秒也不用显示,直接舍去即可。
给定一个用整数表示的时间,请将这个时间对应的时分秒输出。
输入描述
输入第一行包含正整数T,表示存在T组测试数据,T不超过1000。
接下来T行,每行一个正整数表示时间。时间不超过10^18。
输出描述
输出T行,每行按照如下格式:
输出时分秒表示的当前时间,格式形如HH:MM:SS
其中HH 表示时,值为0 到23,MM 表示分,值为0 到59,SS 表示秒,值为0 到59。
时、分、秒不足两位时补前导0。
输入样例
2
46800999
1618708103123
输出样例
13:00:00
01:08:23
思路
模拟模拟模拟,暴力暴力暴力
代码
#include<bits/stdc++.h>
using namespace std;
int main()
{
int t;
cin >> t;
while(t -- )
{
long long time; //注意数据范围,且输入为毫秒
cin >> time;
long long k = 24 * 60 * 60 * 1000; //一天的毫秒数
time -= time / k * k; //time/k为天数,再乘k为这几天毫秒数,time -= time / k * k就是一天内的毫秒数
time /= 1000; //题目描述舍去毫秒,直接除1000即可
int hour = time / 60 / 60;
int minute = (time - hour * 60 * 60) / 60;
int second = time - hour * 60 * 60 - minute * 60;
printf("%02d:%02d:%02d\n", hour, minute, second);
}
return 0;
}
最少砝码
题目描述
你有一架天平。现在你要设计一套砝码,使得利用这些砝码可以称出任意小于等于N的正整数重量。
那么这套砝码最少需要包含多少个砝码?
注意砝码可以放在天平两边。
输入格式
输入包含T组测试数据,T不超过100。
每组测试数据输入一行包含一个正整数N,N不超过10^9。
输出格式
对于每组测试数据,输出一行表示答案。
输入样例
2
7
15
输出样例
3
4
思路
1个砝码时为1 = 1
2个砝码时为1 3
1 = 1
2 = 3 - 1
3 = 3
4 = 1 + 3
3个砝码时位1 3 9
1 = 1
2 = 3 - 1
3 = 3
4 = 1 + 3
5 = 9 - 3 - 1
6 = 9 - 3
7 = 9 - 3 + 1
8 = 9 - 1
9 = 9
10 = 1 + 9
11 = 3 + 9 - 1
12 = 9 + 3
13 = 1 + 3 + 9
怎么说呢,我也有点懵,就是这个规律:砝码数量+1,增加的那个砝码重量是前一个的3倍
代码
#include<bits/stdc++.h>
using namespace std;
#define int long long
signed main()
{
int t;
cin >> t;
while(t -- )
{
int n;
cin >> n;
int sum = 1;
int cnt = 1;
while(n > sum)
{
sum += pow(3, cnt);
cnt ++;
}
cout << cnt << '\n';
}
return 0;
}
本文讨论了如何通过编程解决两个问题:一是利用2021张0-9数字卡片拼数的最大值,二是寻找2021节点图中最短路径。涉及思路、代码实现和空间复杂度分析。
7218





