题目
给你一个整数数组 nums ,其中元素已经按 升序 排列,请你将其转换为一棵 平衡 二叉搜索树。
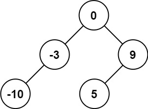
示例 1:

输入:nums = [-10,-3,0,5,9] 输出:[0,-3,9,-10,null,5] 解释:[0,-10,5,null,-3,null,9] 也将被视为正确答案:

示例 2:

输入:nums = [1,3] 输出:[3,1] 解释:[1,null,3] 和 [3,1] 都是高度平衡二叉搜索树。
提示:
1 <= nums.length <= 104-104 <= nums[i] <= 104nums按 严格递增 顺序排列
思路
仔细分析易知,整个二叉树的根节点是数组中间那个数,其左节点必在数组左边;右节点必在数组右边
同时,其左右两边都是要继续转换为平衡二叉搜索树,这是一个与原问题相似的子问题——递归~
1.找到数组中点(长度 // 2)
2.left = 转换为平衡二叉树
3.right =转换为平衡二叉树
4.return 根节点 = TreeNode(值,left,right)
代码
# Definition for a binary tree node.
# class TreeNode:
# def __init__(self, val=0, left=None, right=None):
# self.val = val
# self.left = left
# self.right = right
class Solution:
def sortedArrayToBST(self, nums: List[int]) -> Optional[TreeNode]:
if not nums:
return None
m = len(nums) // 2
left = self.sortedArrayToBST(nums[:m]) # 左边子问题
right = self.sortedArrayToBST(nums[m + 1:]) # 右边子问题
return TreeNode(nums[m], left, right) # 返回根节点
1329

被折叠的 条评论
为什么被折叠?



