Description
Background
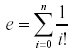
A simple mathematical formula for e is

where n is allowed to go to infinity. This can actually yield very accurate approximations of e using relatively small values of n.
Output
Output the approximations of e generated by the above formula for the values of n from 0 to 9. The beginning of your output should appear similar to that shown below.
Example
Output
n e - ----------- 0 1 1 2 2 2.5 3 2.666666667 4 2.708333333
代码
#include<stdio.h>
#include<math.h>
int cal(int n)
{
int ans=1;
for(int i=n;i>=1;i--)
ans*=i;
return ans;
}
int main()
{
printf("n e\n");
printf("- -----------\n");
for(int i=0;i<=9;i++)
{
if(i==0)
printf("0 1\n");
else if(i==1)
printf("1 2\n");
else if(i==2)
printf("2 2.5\n");
else
{
double ans=1;
for(int k=1;k<=i;k++)
ans+=1.0*1/cal(k);
printf("%d %.9lf\n",i,ans);
}
}
return 0;
}
本文介绍了一种使用简单数学公式来计算自然常数e的近似值的方法,并通过C语言实现,展示了从n=0到n=9时e的逐步逼近过程。代码中包含了阶乘的计算以及公式应用的具体实现。
414

被折叠的 条评论
为什么被折叠?



