RMQ求LCA其实非常简单的啦
我们需要理解两个基本的工具:
1.欧拉序列;
2.线段树,二叉搜索树或者其它基本区间寻求最值的方法;
所以说LCA和区间有什么关系?
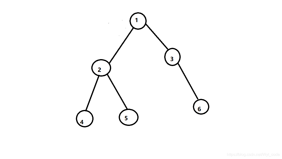
举个栗子:

我们将欧拉序列E打出:
【1,2,4,2,5,2,1,3,6,3,1】(先自己想想怎么实现)
在打印序列的同时记录下每个节点第一次出现的位置R
【1,2,8,3,5,9】
另外别忘了给欧拉序列标深度L
【1,2,3,2,3,2,1,2,3,2,1】
接下来区间最值的作用就发挥了作用了:
比如我们要找4和5LCA,我们只需要在R数组中找到【3,5】中深度最小的节点就行了;
而对应的区间可以通过R数组来确定;
接下来是moban(蒟蒻只能用领接链表建):
首先是欧拉序列的打印:
void dfs(int u,int dep)
{ tot++;
R[u]=tot;//这里是第一次出现的位置;
L[tot]=dep;
E[tot]=u;
vis[u]=true;
for(int i=head[u];i!=0;i=nex[i])
{int v=to[i];
if(!vis[v]){
dis[v]=dis[u]+w[i];
dfs(v,dep+1);
E[++tot]=u;//别忘了回到u节点记录;
L[tot]=dep;}
}
}
接下来是ST对序列进行处理(我们记录的不是最小深度,而是最小深度对应的节点)
不明白ST的可以看我的另一篇博客:https://blog.youkuaiyun.com/Wyt_code/article/details/83832104
void found()//STmoban不多说;
{ for(int i=1;i<=tot;i++)
f[i][0]=i;
int n=(int)(log(tot)/log(2));
for(int j=1;j<=n;j++)
for(int i=1;i<=tot;i++)
if(i+(1<<j)-1<=tot){
int a=f[i][j-1];int b=f[i+(1<<j-1)][j-1];
if(L[a]<L[b]) f[i][j]=a;//注意是记录下标以便确定节点;
else f[i][j]=b;
}
}
接下来是RMQ和LCA的查询(为了便于理解我分成两个板块)
int RMQ(int l,int r)
{int j=(int)(log(r-l+1)/log(2));
int a=f[l][j];int b=f[r-(1<<j)+1][j];
return L[a]<L[b]?a:b;//还是返回数组对应下标;
}
int LCA(int l,int r)
{ l=R[l];r=R[r];//确定区间;
if(l>r) swap(l,r);
return E[RMQ(l,r)];//读求下标对应节点;
}
emmmm好像就这些了
RMQ求LCA算法详解

本文详细介绍了如何使用RMQ算法求解LCA问题,包括欧拉序列、线段树等基本工具的理解与应用。通过具体实例展示了算法流程,并提供了代码模板。
1174

被折叠的 条评论
为什么被折叠?



