题目
给定一个二叉搜索树的根节点 root 和一个值 key,删除二叉搜索树中的 key 对应的节点,并保证二叉搜索树的性质不变。返回二叉搜索树(有可能被更新)的根节点的引用。
一般来说,删除节点可分为两个步骤:
首先找到需要删除的节点;
如果找到了,删除它。
示例 1:

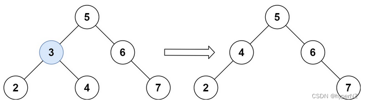
输入:root = [5,3,6,2,4,null,7], key = 3
输出:[5,4,6,2,null,null,7]
解释:给定需要删除的节点值是 3,所以我们首先找到 3 这个节点,然后删除它。
一个正确的答案是 [5,4,6,2,null,null,7], 如下图所示。
另一个正确答案是 [5,2,6,null,4,null,7]。

示例 2:
输入: root = [5,3,6,2,4,null,7], key = 0
输出: [5,3,6,2,4,null,7]
解释: 二叉树不包含值为 0 的节点
示例 3:
输入: root = [], key = 0
输出: []
提示:
节点数的范围 [0, 10^4].
-10^5 <= Node.val <= 10^5
节点值唯一
root 是合法的二叉搜索树
-10^5 <= key <= 10^5
进阶: 要求算法时间复杂度为 O(h),h 为树的高度。
思路
由于这是一棵二叉搜索树,所以对于要删除的节点需要找到它并进行删除操作,根据二叉搜索树的性质,可以进行以下三步:
- 当前节点值比key小,则需要删除当前节点的左子树中key对应的值,并保证二叉搜索树的性质不变。
- 当前节点值比key大,则需要删除当前节点的右子树中key对应的值,并保证二叉搜索树的性质不变。
- 当前节点等于key,则需要删除当前节点,并保证二叉搜索树的性质不变。
这里要用到递归,递归的一个非常重要的点就是:不去管函数的内部细节是如何处理的,只看其函数作用以及输入与输出。对于函数deleteNode来说:
- 函数作用:删除搜索二叉树中的key对应的节点,并保证二叉搜索树的性质不变。
- 输入:二叉搜索树的根节点root和一个值key。
- 输出:新二叉搜索的根节点的引用。
那么前两步就可以直接表示为:
root.left = deleteNode(root.left,key);
root.right = deleteNode(root.right,key);
对于第三步来说,直接去套用写成:
root = deleteNode(root,key);
但是这里的问题就是,deleteNode的作用就是删除二叉树的某个节点,都已经删除了,怎么又能把返回的对象再赋给他自己呢,所以对于第三步就不能这样简单的去调用了。
对于一棵二叉搜索树要删除某个节点,一般会面临如下情况:
- 当前节点没有左子树。
- 当前节点没有右子树。
- 当前节点既有左子树又有右子树。
如图所示:

- 对于第一种情况来说:我们要删除节点5(root),直接 return root.right 即可。
- 对于第二种情况来说:我们要删除节点5(root),直接 return root.left 即可。
- 对于第三种情况来说:我们要删除节点5(root),只需将root的左子树放到root的右子树的最下面的左叶子节点的左子树上即可。如图所示:

代码
/**
* Definition for a binary tree node.
* public class TreeNode {
* int val;
* TreeNode left;
* TreeNode right;
* TreeNode() {}
* TreeNode(int val) { this.val = val; }
* TreeNode(int val, TreeNode left, TreeNode right) {
* this.val = val;
* this.left = left;
* this.right = right;
* }
* }
*/
class Solution {
public TreeNode deleteNode(TreeNode root, int key) {
if(root == null) {
return null;
}
if(key < root.val) { //当前节点值比key小,则需要删除当前节点的左子树中key对应的值,并保证二叉搜索树的性质不变
root.left = deleteNode(root.left,key);
} else if(key > root.val) { //当前节点值比key大,则需要删除当前节点的右子树中key对应的值,并保证二叉搜索树的性质不变
root.right = deleteNode(root.right,key);
} else { //当前节点等于key,则需要删除当前节点,并保证二叉搜索树的性质不变
if(root.left == null) { //当前节点没有左子树
return root.right;
} else if(root.right == null) { //当前节点没有右子树
return root.left;
} else { //当前节点既有左子树又有右子树
TreeNode node = root.right;
//找到当前节点右子树最左边的叶子结点
while(node.left != null){
node = node.left;
}
//将root的左子树放到root的右子树的最下面的左叶子节点的左子树上
node.left = root.left;
return root.right;
}
}
return root;
}
}
该文章介绍如何在保持二叉搜索树性质不变的情况下删除给定值的节点。通过递归方法,分别处理节点值小于、大于和等于给定值的情况。当节点无左右子树、只有左子树、只有右子树或同时有左右子树时,采取不同的删除策略。提供的Java代码实现了这一功能。
1276

被折叠的 条评论
为什么被折叠?



