本章建立信号检测的统计框架并给出若干经典检测器的严格推导与性能表达式。内容包括:假设检验的数学模型与 Neyman–Pearson 最优性准则;能量检测与匹配滤波的精确分布、阈值与误差概率;基于循环平稳性的谱相关检测的数学定义与实现伪码;多天线(阵列)检测中协方差矩阵与样本协方差估计的性质与检验统计量;以及性能评估的量化工具(ROC、AUC、最小可检测 SNR),并通过数值示例给出逐步计算过程。
3.1 假设检验框架与 Neyman–Pearson 准则
3.1.1 问题建模

3.1.2 似然比检验(Likelihood Ratio Test, LRT)与 Neyman–Pearson 引理


3.1.3 扩展:广义似然比检验(GLRT)

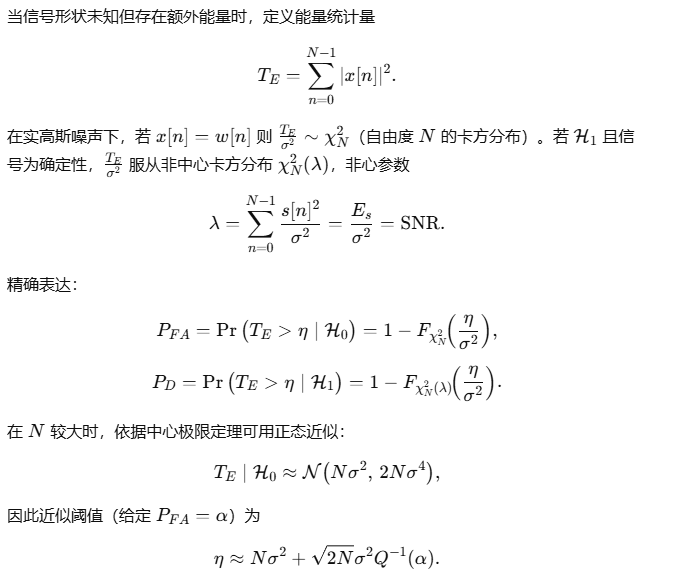
3.2 能量检测与匹配滤波:阈值与误差概率导出
3.2.1 基本高斯模型与已知波形情形(匹配滤波)


3.2.2 未知波形情形:能量检测(energy detection)


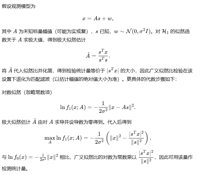
3.2.3 未知振幅情形(广义似然比检验的具体化)

3.3 循环平稳性检测与周期性特征
3.3.1 循环平稳过程的数学定义

3.3.2 检测问题与统计量

3.3.3 循环相关/谱相关的估计方法(离散时间)

3.3.4 实现伪码(估计与检验)
伪码给出一种实用实现流程,便于教材与工程复现(伪代码以离散采样表示,假定复基带采样):
输入: 复基带序列 x[0..N-1], 循环频率候选集合 Alpha = {α_1,...,α_M}, 频率点集合 FreqIdx = {k_1,...,k_L}
参数: 窗长 Lw, 重叠步长 Hop, 阈值设定方法(理论 / 模拟 / 自适应)
1. 对每个窗口起始 n0 从 0 到 N-Lw 以 Hop 步长:
a) 取窗口片段 xw[m] = x[n0 + m], m = 0..Lw-1
b) 乘窗: xw[m] *= w[m] (窗函数 w[m], 如汉宁窗)
c) 对每个 α ∈ Alpha:
i) 形成序列 y[m] = xw[m] * exp(-j*2π*α*(n0+m)*T_s)
ii) 计算自相关 r_y[τ] = Σ_{m} y[m+τ] * conj(y[m]) (τ 在合适范围)
iii) 对 r_y 做 DFT 得到 S_y(f)(谱相关在本窗口)
d) 汇总窗口内的 S_y(f)(如平均或累加)
2. 对每对 (α,f):
计算统计量 T_{α,f} = |Ŝ_x^{α}(f)|^2 或标准化版本
依据阈值判断是否存在循环成分
3. 阈值设定:
若假设噪声为零均值平稳过程,可通过估计噪声的循环谱方差或空/备用数据进行阈值校准以达到目标 P_FA
3.3.5 性能与优缺点
循环谱检测对载波、调制或码片引入的周期性成分高度敏感,能够在低 SNR 下(信号能量难以用能量检测分辨)检测到信号,因为周期性在频域上表现为谱分量间的相关性。然而其实现复杂度高(需要二维估计与更多统计量),并且在频偏、采样抖动或非理想同步条件下需作补偿(如先做粗频偏估计再检测)。
3.4 多天线统计检测:协方差矩阵与样本协方差估计
3.4.1 多通道观测模型

3.4.2 样本协方差矩阵的定义与无偏性

3.4.3 已知协方差情形下的线性/匹配检测器

3.4.4 协方差未知时的适应性(样本协方差替代)与 GLRT 思路


3.5 性能评估:ROC、AUC、最小可检测 SNR(含示例计算)
3.5.1 ROC 曲线与 AUC

3.5.2 匹配滤波器的解析 ROC

3.5.3 最低可检测 SNR 的求解

3.5.4 数值示例(逐步算术)


3.5.5 其它检测器的性能评估要点

本章小结
经典检测理论以 Neyman–Pearson 框架建立了在误报约束下的最优检测器结构:在已知分布的情形下采用似然比检验;在参数未知时采用广义似然比检验或近似统计量。匹配滤波与能量检测分别对应已知波形与未知波形的典型策略,其误差概率与阈值表示可由高斯或(非)中心卡方分布严格给出。循环平稳性检测以谱相关为核心,可在低 SNR 下利用调制/码序引入的周期性信息提高检测灵敏度。多天线系统通过协方差矩阵与空间滤波进一步提升检测性能,但对样本协方差估计的稳健性与辅助数据量有严格要求。性能评估以 ROC 曲线、AUC 与最小可检测 SNR 为主要量化手段,给出了闭式解与逐步数值计算示例,以便工程设计与教材教学使用。

被折叠的 条评论
为什么被折叠?



