513. 找树左下角的值
思路:
递归法,把深度作为递归函数的参数传进去。如果深度变大,则更新 result 的值。因为是先左后右,所以最深层碰到的第一个节点即满足要求。
前中后序遍历都可,因为只要先遍历左再遍历右就行
易错点:
- 对题目的理解:树左下角的值也可能是右孩子
- 因为定义的是类的全局变量。所以最好在方法中再初始化一次
int maxDepth = Integer.MIN_VALUE,防止多次调用该方法
使用全局变量一定记得每次主函数对它进行初始化,它会重复进行测试

class Solution {
int maxDepth = Integer.MIN_VALUE;
int result = 0;
public int findBottomLeftValue(TreeNode root) {
int maxDepth = Integer.MIN_VALUE; // 最好在这加一句,防止多次调用该方法
traversal(root, 0);
return result;
}
public void traversal(TreeNode root, int depth) {
if (root.left == null && root.right ==null) {
if (depth > maxDepth) {
maxDepth = depth;
result = root.val;
}
return;
}
if (root.left != null) { // 左
depth++;
traversal(root.left, depth); // 可把这三行简化成 traversal(root.left, depth + 1)
depth--;
}
if (root.right != null) { // 右
depth++;
traversal(root.right, depth); // 可把这三行简化成 traversal(root.left, depth + 1)
depth--;
}
}
}
总结:
depth++;
traversal(root.left, depth);
depth--;
等价于
traversal(root.left, depth + 1)
其他方法:层序遍历
一个巧妙的思路:
先加入右孩子,再加入左孩子。这样最后一个节点即为题目要求值。
代码略
112. 路径总和
Trick:
将 target 传进去减减判断等不等于 0,而不是将 0 传进去判断等不等于 target
class Solution {
public boolean hasPathSum(TreeNode root, int targetSum) {
if (root == null) {
return false;
}
return traversal(root, targetSum - root.val);
}
public boolean traversal(TreeNode root, int count) {
if (root.left == null && root.right == null && count == 0) {
return true;
}
if (root.left != null) {
count -= root.left.val;
if (traversal(root.left, count)) {
return true;
}
count += root.left.val;
}
if (root.right != null) {
count -= root.right.val;
if (traversal(root.right, count)) {
return true;
}
count += root.right.val;
}
return false;
}
}
官解更简洁:
观察要求我们完成的函数,我们可以归纳出它的功能:询问是否存在从当前节点
root到叶子节点的路径,满足其路径和为sum。
假定从根节点到当前节点的值之和为
val,我们可以将这个大问题转化为一个小问题:是否存在从当前节点的子节点到叶子的路径,满足其路径和为sum - val。
不难发现这满足递归的性质,若当前节点就是叶子节点,那么我们直接判断
sum是否等于val即可(因为路径和已经确定,就是当前节点的值,我们只需要判断该路径和是否满足条件)。若当前节点不是叶子节点,我们只需要递归地询问它的子节点是否能满足条件即可。
class Solution {
public boolean hasPathSum(TreeNode root, int sum) {
if (root == null) {
return false;
}
if (root.left == null && root.right == null) {
return sum == root.val;
}
return hasPathSum(root.left, sum - root.val) || hasPathSum(root.right, sum - root.val);
}
}
总结:
递归函数什么时候需要返回值?什么时候不需要返回值?这里总结如下三点:
- 如果需要搜索整棵二叉树且不用处理递归返回值,递归函数就不要返回值。(这种情况就是本文下半部分介绍的 113.路径总和 ii)
- 如果需要搜索整棵二叉树且需要处理递归返回值,递归函数就需要返回值。 (这种情况我们在 236. 二叉树的最近公共祖先 中介绍)
- 如果要搜索其中一条符合条件的路径,那么递归一定需要返回值,因为遇到符合条件的路径了就要及时返回。(本题的情况)
113. 路径总和 II
class Solution {
public List<List<Integer>> pathSum(TreeNode root, int targetSum) {
List<List<Integer>> result = new ArrayList<>();
List<Integer> path = new ArrayList<>();
if (root == null) {
return result;
}
traversal(root, targetSum - root.val, path, result);
return result;
}
public void traversal(TreeNode root, int count, List<Integer> path, List<List<Integer>> result) {
path.add(root.val);
if (root.left == null && root.right == null && count == 0) {
result.add(new ArrayList<>(path));
}
if (root.left != null) {
traversal(root.left, count - root.left.val, path, result);
path.remove(path.size() - 1);
}
if (root.right != null) {
traversal(root.right, count - root.right.val, path, result);
path.remove(path.size() - 1);
}
}
}
!! 注:
public void traversal(TreeNode root, int count, List<Integer> path, List<List<Integer>> result) {
path.add(root.val);
if (root.left == null && root.right == null && count == 0) {
result.add(new ArrayList<>(path));
}
if (root.left != null) {
traversal(root.left, count - root.left.val, path, result);
path.remove(path.size() - 1);
}
if (root.right != null) {
traversal(root.right, count - root.right.val, path, result);
path.remove(path.size() - 1);
}
}
也可以写成:
public void traversal(TreeNode root, int count, List<Integer> path, List<List<Integer>> result) {
path.add(root.val);
if (root.left == null && root.right == null && count == 0) {
result.add(new ArrayList<>(path));
}
if (root.left != null) {
traversal(root.left, count - root.left.val, path, result);
}
if (root.right != null) {
traversal(root.right, count - root.right.val, path, result);
}
path.remove(path.size() - 1);
}
我的理解是:
前者是从 个体 的角度考虑的,我认为我的递归函数每次遍历完会添加一个节点,所以我遍历完要把它 remove 掉。
后者是从 全局 的角度考虑的,写成后者这种形式,总共只有一个 add 和 remove,所以一轮遍历完后不会改变 path,那么两个 traversal 之间也不用加 remove 了。
体现出一种 相信的力量
见讨论
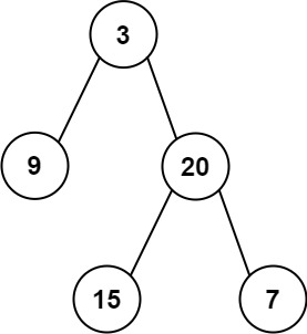
106. 从中序与后序遍历序列构造二叉树
inorder = [9,3,15,20,7]
postorder = [9,15,7,20,3]

步骤:
- 后序数组为空,返回 null
- 后序数组最后一个元素为根节点元素
- 寻找中序数组位置作为切割点
- 切中序数组
- 切后序数组
- 递归处理切下来的中序数组和后序数组
重点:
- 切数组
切中序用 index
切后序用 中序数组里的左数组长度
中序数组截掉作为根的数
后序数组截掉最后一个数
- 递归处理
root.left = traversal(左中序, 左后序);
root.right = traversal(右中序, 右后序);
class Solution {
public TreeNode buildTree(int[] inorder, int[] postorder) {
if (postorder.length == 0) {
return null;
}
// 只有 1 个元素,直接返回
TreeNode root = new TreeNode(postorder[postorder.length - 1]);
if (postorder.length == 1) {
return root;
}
// 找中序数组根节点位置
int index = 0;
for (; index < postorder.length; index++) {
if (inorder[index] == root.val) {
break;
}
}
// 切中序
int[] leftInOrder = subArray(inorder, 0, index); // 左中序
int[] rightInOrder = subArray(inorder, index + 1, inorder.length); // 右中序
// 切后序
int[] leftPostOrder = subArray(postorder, 0, leftInOrder.length); // 左后序,切与“左中序”相等的长度
int[] rightPostOrder = subArray(postorder, leftInOrder.length, postorder.length - 1); // 右后序
// 递归处理
root.left = buildTree(leftInOrder, leftPostOrder);
root.right = buildTree(rightInOrder, rightPostOrder);
return root;
}
// 返回子数组,左闭右开
public int[] subArray(int[] arr, int start, int end) {
if (start < 0 || end > arr.length || start >= end) {
return new int[0]; // 下标不满足条件,返回空数组
}
int newLen = end - start;
int[] newArr = new int[newLen];
for (int i = 0; i < newLen; i++) {
newArr[i] = arr[i + start];
}
return newArr;
}
}
待优化,见下一题:
- 用
Arrays.copyOfRange代替自己写的 - 把时间复杂度从
O(n * n)优化到O(n)
- 用 哈希表 保存中序数组位置索引,避免频繁遍历查询根节点位置
- 用指针代替数组,避免频繁创建数组开销
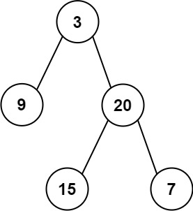
105. 从前序与中序遍历序列构造二叉树
preorder = [3,9,20,15,7]
inorder = [9,3,15,20,7]

完全优化的版本:
class Solution {
HashMap<Integer, Integer> map = new HashMap<>();
public TreeNode buildTree(int[] preorder, int[] inorder) {
for (int i = 0; i < inorder.length; i++) {
map.put(inorder[i], i);
}
return traversal(inorder, preorder, 0, preorder.length, 0, inorder.length);
}
// 递归函数,左闭右开
public TreeNode traversal(int[] inorder, int[] preorder, int leftInOrder, int rightInOrder, int leftPreOrder, int rightPreOrder) {
// leftPreOrder = rightPreOrder 时,已经是空数组
if (leftPreOrder >= rightPreOrder) {
return null;
}
// 把根节点构建出来
TreeNode root = new TreeNode(preorder[leftPreOrder]);
// 找中序数组根节点位置
int index = map.get(preorder[leftPreOrder]);
// 得到左子树中的节点数目
int sizeLeftSubTree = index - leftInOrder;
// 中序数组四个指针
int llInOrder = leftInOrder;
int lrInOrder = index;
int rlInOrder = index + 1;
int rrInOrder = rightInOrder;
// 前序数组四个指针
int llPreOrder = leftPreOrder + 1; // 截掉第一个
int lrPreOrder = leftPreOrder + 1 + sizeLeftSubTree; // 因为肯定和中序数组左子树长度一样
int rlPreOrder = leftPreOrder + 1 + sizeLeftSubTree;
int rrPreOrder = rightPreOrder;
// 递归,左闭右开。左中对左前,右中对右前。
root.left = traversal(inorder, preorder, llInOrder, lrInOrder, llPreOrder, lrPreOrder);
root.right = traversal(inorder, preorder, rlInOrder, rrInOrder, rlPreOrder, rrPreOrder);
return root;
}
}
补充:
前序和后序不能唯一确定一颗二叉树,如:
1
/
2
/
3
前序 1、2、3
中序 3、2、1
后序 3、2、1
和
1
\
2
\
3
前序 1、2、3
中序 1、2、3
后序 3、2、1
前序遍历都是 1、2、3
后序遍历后生 3、2、1
最后的最后:
1024 程序员节快乐!
1538

被折叠的 条评论
为什么被折叠?



