机器学习常见算法
聚类、分类、回归的区别
- 聚类:无监督学习,学习结果将产生几个集合,集合中的元素彼此相似
- 分类:有监督学习,学习结果将产生几个函数,通过函数划分为几个集合,数据对象是离散值
- 回归:有监督学习,学习结果将产生几个函数,通过函数产生连续的结果,数据对象是连续值
聚类
聚类算法是无监督学习的一种算法,也就是说,并没有一批已经打好标签的数据供机器训练模型。因此该算法用于在数据中寻找数据间隐藏的联系和区别。通过聚类后形成几个集合,集合内部的元素间具有较高的相似度,相似度的衡量可以通过欧几里得距离、概率距离、加权重距离计算。
常见的聚类算法有:K-means 算法
分类
分类算法要求先向模型输入数据的训练样本,从训练样本中提取描述该类数据的一个函数或模型。通过该模型对其他数据进行预测和归类,分类算法是一种对离散型随机变量建模或预测的监督学习算法,同时产生离散的结果。比如在医疗诊断中判断是否患有癌症,在放贷过程中进行客户评级等。
常见的分类算法:
1.决策树:ID3、C4.5(C5.0)、CART
2.神经网络:BP网络
3.朴素贝叶斯(Naive Bayes)算法
4.支持向量机、逻辑回归、K近邻算法(KNN)
回归
回归算法与分类算法一样都是有监督的学习算法,因此也需要先向模型输入数据的训练样本。但是与分类算法的区别是,回归算法是一种对数值型连续随机变量进行预测和建模的监督学习算法,产生的结果也一般是数值型的。
常见的回归算法:线性回归
机器学习常见算法
在机器学习领域,有几种主要的学习方式:监督学习,非监督学习,半监督学习和强化学习。
1、监督式学习
在监督式学习下,输入数据被称为“训练数据”,每组训练数据有一个明确的标识或结果。在建立预测模型的时候,监督式学习建立一个学习过程,将预测结果与“训练数据”的实际结果进行比较,不断的调整预测模型,直到模型的预测结果达到一个预期的准确率。监督式学习的常见应用场景如分类问题和回归问题。常见监督式学习算法有决策树学习,朴素贝叶斯分类,最小二乘回归,逻辑回归(Logistic Regression),支撑矢量机,集成方法以及反向传递神经网络(Back Propagation Neural Network)等等。
2、非监督式学习
在非监督式学习中,数据并不被特别标识,学习模型是为了推断出数据的一些内在结构。非监督学习的常见应用场景包括关联规则的学习以及聚类等。常见非监督学习算法包括奇异值分解、主成分分析,独立成分分析,Apriori算法以及k-Means算法等等。
3、半监督式学习
在此学习方式下,输入数据部分被标识,部分没有被标识,这种学习模型可以用来进行预测,但是模型首先需要学习数据的内在结构以便合理的组织数据来进行预测。半监督式学习的应用场景包括分类和回归,半监督学习的算法包括一些对常用监督式学习算法的延伸,这些算法首先试图对未标识数据进行建模,在此基础上再对标识的数据进行预测。如图论推理算法(Graph Inference)或者拉普拉斯支持向量机(Laplacian SVM)等。
4、强化学习
在这种学习模式下,输入数据作为对模型的反馈,不像监督模型那样,输入数据仅仅是作为一个检查模型对错的方式,在强化学习下,输入数据直接反馈到模型,模型必须对此立刻作出调整。强化学习的常见应用场景包括动态系统以及机器人控制等。强化学习的常见算法包括Q-Learning以及时间差学习(Temporal difference learning)。
线性回归
回归:假设现在有一些数据点,用一条直线对这些点进行拟合,这个拟合过程就叫做回归。回归问题:主要用于预测数值型数据,典型的回归例子:数据拟合曲线。
线性回归是利用连续性变量来估计实际数值(例如房价,呼叫次数和总销售额等)。通过线性回归算法找出自变量和因变量间的最佳线性关系,图形上可以确定一条最佳直线。这条最佳直线就是回归线。这个回归关系可以用Y=aX+b 表示。
求解线性回归
构建代价函数,代价函数(cost function)表示的是预测值f(x)与实际值y之间的误差的平方。它对应了常用的欧几里得距离简称“欧氏距离”。基于均方误差最小化来求解模型的方法我们叫做“最小二乘法”。在线性回归中,最小二乘法实质上就是找到一条直线,使所有样本数据到该直线的欧式距离之和最小,即误差最小。 希望这个代价函数能有最小值,那么就分别对其求w和b的偏导,使其等于0,求解方程。
推广到更一般的情况:
我们假设数据集中共有m个样本,每个样本有n个特征,用X矩阵表示样本和特征,是一个m×n的矩阵,用Y矩阵表示标签,是一个m×1的矩阵。同样的代价函数代表了误差,我们希望它尽可能地小,所以要对它求偏导并令偏导数为0,求解方程。
梯度下降算法(Gradient Descent Optimization)是神经网络模型训练最常用的优化算法。对于深度学习模型,基本都是采用梯度下降算法来进行优化训练的。梯度下降算法背后的原理:目标函数关于参数的梯度将是目标函数上升最快的方向。对于最小化优化问题,只需要将参数沿着梯度相反的方向前进一个步长,就可以实现目标函数的下降。
对于神经网络模型,借助于BP算法可以高效地计算梯度,从而实施梯度下降算法。但梯度下降算法存在一个问题:不能保证全局收敛。梯度下降算法针对凸优化问题原则上是可以收敛到全局最优的,因为此时只有唯一的局部最优点。而实际上深度学习模型是一个复杂的非线性结构,一般属于非凸问题,这意味着存在很多局部最优点(鞍点),采用梯度下降算法可能会陷入局部最优。
梯度下降算法中一个重要的参数是学习速率,适当的学习速率很重要:学习速率过小时收敛速度慢,而过大时导致训练震荡,而且可能会发散。理想的梯度下降算法要满足两点:收敛速度要快;能全局收敛。
逻辑回归与线性回归的联系与区别
联系
- 两个都是线性模型,线性回归是普通线性模型,逻辑回归是广义线性模型
- 表达形式上,逻辑回归是线性回归套上了一个Sigmoid函数,sigmoid(x)=1/(1+exp(-x)),其实就是对x进行归一化操作,使得sigmoid(x)位于0~1
区别
- 线性回归假设响应变量服从正态分布,逻辑回归假设响应变量服从伯努利分布
- 线性回归优化的目标函数是均方差(最小二乘),而逻辑回归优化的是似然函数(交叉熵)
- 线性归回要求自变量与因变量呈线性关系,而逻辑回归没有要求
- 线性回归分析的是因变量自身与自变量的关系,而逻辑回归研究的是因变量取值的概率与自变量的概率
- 逻辑回归处理的是分类问题,线性回归处理的是回归问题,这也导致了两个模型的取值范围不同:0-1和实数域
- 参数估计上,都是用极大似然估计的方法估计参数(高斯分布导致了线性模型损失函数为均方差,伯努利分布导致逻辑回归损失函数为交叉熵)
逻辑回归
逻辑回归其实是一个分类算法而不是回归算法。通常是利用已知的自变量来预测一个离散型因变量的值(像二进制值0/1,是/否,真/假)。简单来说,它就是通过拟合一个逻辑函数(logit fuction)来预测一个事件发生的概率。所以它预测的是一个概率值,值域为0到1之间。
优点:计算代价不高,易于理解和实现
缺点:容易欠拟合,分类精度可能不高
适用数据类型:数值型和标称型数据
逻辑回归是和Sigmod函数一起的,为了实现逻辑回归分类器,可以在每一个特征上都乘以一个回归系数,然后将所有的结果值相加,将总和代入Sigmod函数,进而得到一个范围在0~1之间的数值。任何大于0.5的数据被归为1类,小于0.5被归为0类。对于最佳回归系数采用梯度上升法确定。
梯度上升法:要找到某函数的最大值,最好的方法就是沿着该函数的梯度方向探寻。梯度上升法用来求函数的最大值,梯度下降法用来求函数的最小值。梯度上升法伪代码:
//每个回归系数初始化为1
//重复R次:
//计算整个数据集的梯度
//使用alpha*gradient更新回归系数的向量
//返回回归系数
逻辑回归做特征选择
特征选择包括:特征升维和特征降维
特征升维
如一个样本有少量特征,可以升维,更好的拟合曲线
特征X,升维X/X2/
特征X1、X2,升维X1/X2/X1X2/X12/X2**2/
特征降维
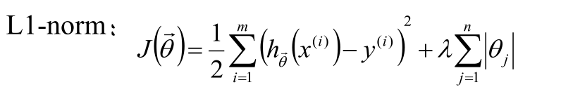
利用L1正则化做特征选择

朴素贝叶斯算法
朴素贝叶斯算法是一种分类算法。它不是单一算法,而是一系列算法,它们都有一个共同的原则,即被分类的每个特征都与任何其他特征的值无关。
朴素贝叶斯分类器认为这些“特征”中的每一个都独立地贡献概率,而不管特征之间的任何相关性。然而,特征并不总是独立的,这通常被视为朴素贝叶斯算法的缺点。简而言之,朴素贝叶斯算法允许我们使用概率给出一组特征来预测一个类。
与其他常见的分类方法相比,朴素贝叶斯算法需要的训练很少。在进行预测之前必须完成的唯一工作是找到特征的个体概率分布的参数,这通常可以快速且确定地完成。这意味着即使对于高维数据点或大量数据点,朴素贝叶斯分类器也可以表现良好。
优点:在数据较少的情况下仍然有效,可以处理多类别问题
缺点:对于输入数据的准备方式较为敏感
使用数据类型:标称型数据
随机森林算法
在源数据中随机选取数据,组成几个子集。S 矩阵是源数据,有 1-N 条数据,A B C 是feature,最后一列C是类别。由S随机生成M个子矩阵,这M个子集得到M个决策树。将新数据投入到这M个树中,得到M个分类结果,计数看预测成哪一类的数目最多,就将此类别作为最后的预测结果。
控制数据树生成的方式有多种,大多数时候更倾向选择分裂属性和剪枝,但这并不能解决所有问题,偶尔会遇到噪声或分裂属性过多的问题。基于这种情况,总结每次的结果可以得到袋外数据的估计误差,将它和测试样本的估计误差相结合可以评估组合树学习器的拟合及预测精度。此方法的优点有很多,可以产生高精度的分类器,并能够处理大量的变数,也可以平衡分类资料集之间的误差。
人工神经网络算法
人工神经网络与神经元组成的异常复杂的网络此大体相似,是个体单元互相连接而成,每个单元有数值量的输入和输出,形式可以为实数或线性组合函数。
它先要以一种学习准则去学习,然后才能进行工作。当网络判断错误时,通过学习使其减少犯同样错误的可能性。此方法有很强的泛化能力和非线性映射能力,可以对信息量少的系统进行模型处理。从功能模拟角度看具有并行性,且传递信息速度极快。
数据挖掘十大经典算法
数据挖掘十大经典算法(1) C4.5
C4.5
C4.5算法是机器学习算法中的一种分类决策树算法,其核心算法是ID3 算法. C4.5算法继承了ID3算法的长处。并在下面几方面对ID3算法进行了改进:
- 用信息增益率来选择属性,克服了用信息增益选择属性时偏向选择取值多的属性的不足
- 在树构造过程中进行剪枝
- 可以完毕对连续属性的离散化处理
- 可以对不完整数据进行处理
C4.5算法的优点:产生的分类规则易于理解,准确率较高。
缺点:在构造树的过程中,须要对数据集进行多次的顺序扫描和排序,因而导致算法的低效。此外,C4.5仅仅适合于可以驻留于内存的数据集。当训练集大得无法在内存容纳时程序无法执行。
决策树
分类决策树算法是从大量事例中进行提取分类规则的自上而下的决策树。决策树的各部分是:
根:学习的事例集
枝:分类的判定条件
叶:分好的各个类
1、机器学习中。决策树是一个预测模型。代表的是对象属性与对象值之间的一种映射关系。树中每一个节点表示某个对象,而每一个分叉路径则代表的某个可能的属性值,而每一个叶结点则相应从根节点到该叶节点所经历的路径所表示的对象的值。决策树仅有单一输出。若欲有复数输出,能够建立独立的决策树以处理不同输出。
2、决策树学习中,每一个决策树都表述了一种树型结构,他由他的分支来对该类型的对象依靠属性进行分类。每一个决策树能够依靠对源数据库的切割进行数据测试。这个过程能够递归式的对树进行修剪。当不能再进行切割或一个单独的类能够被应用于某一分支时。递归过程就完毕了。另外。随机森林分类器将很多决策树结合起来以提升分类的正确率。
决策树优点:计算复杂度不高,输出结果易于理解,对中间值的缺失不敏感,可以处理不相关特征数据。缺点:可能会产生过度匹配问题。使用数据类型:数值型和标称型。
决策树是怎样工作的?
1、决策树一般都是自上而下的来生成的。
2、对目标类尝试进行最佳的切割。
3、从根到叶子节点都有一条路径,这条路径就是一条―规则
4、决策树能够是二叉的,也能够是多叉的。
对每一个节点的衡量:
-
通过该节点的记录数 -
假设是叶子节点的话,分类的路径 -
对叶子节点正确分类的比例。
ID3算法
1)随机选择C的一个子集W(窗体)
2)调用CLS生成W的分类树DT(强调的启示式标准在后)
3)顺序扫描C搜集DT的意外(即由DT无法确定的样例)
4)组合W与已发现的意外,形成新的W
5)反复2)到4),直到无例外为止
启示式标准:
仅仅跟本身与其子树有关,采取信息理论用熵来量度.
熵是选择事件时选择自由度的量度,其计算方法为
P=freq(Cj,S)/|S|;
INFO(S)=-SUM(P*LOG(P));SUM()函数是求j 从1到n和.
Gain(X)=Info(X)-Infox(X);
Infox(X)=SUM((|Ti|/|T|)*Info(X);
为保证生成的决策树最小,ID3 算法在生成子树时,选取使生成的子树的熵(即Gain(S))最小的特征来生成子树.
ID3算法对数据的要求
1)全部属性必须为离散量.
2)全部的训练例的全部属性必须有一个明白的值.
3)同样的因素必须得到同样的结论且训练例必须唯一.
C4.5对ID3算法的改进:
-
熵的改进,加上了子树的信息.
Split_Infox(X)= - SUM( (|T|/|Ti| ) *LOG(|Ti|/|T|) );
Gain ratio(X)= Gain(X)/Split Infox(X); -
在输入数据上的改进.
1) 因素属性的值能够是连续量,C4.5 对其排序并分成不同的集合后依照ID3 算法当作离散量进行处理,但结论属性的值必须是离散值.
2) 训练例的因素属性值能够是不确定的,以 ? 表示,但结论必须是确定的
3)对已生成的决策树进行裁剪,减小生成树的规模.
数据挖掘十大经典算法(2) k-means
K-Means原理
原理:
K-Means是聚类算法中的最常用的一种。先随机选取K个对象作为初始的聚类中心。然后计算每个对象与各个种子聚类中心之间的距离,把每个对象分配给距离它最近的聚类中心。聚类中心以及分配给它们的对象就代表一个聚类。一旦全部对象都被分配了,每个聚类的聚类中心会根据聚类中现有的对象被重新计算。这个过程将不断重复直到满足某个终止条件。终止条件可以是以下任何一个:
1)没有(或最小数目)对象被重新分配给不同的聚类
2)没有(或最小数目)聚类中心再发生变化
3)误差平方和局部最小
使用数据类型:数值型数据
算法的性能分析
优点:
(1)k-平均算法是解决聚类问题的一种经典算法,算法简单、高速。
(2)对处理大数据集,该算法是相对可伸缩的和高效率的。由于它的复杂度大约是O(nkt),当中n是全部对象的数目,k是簇的数目,t是迭代的次数。通常k<<n。这个算法常常以局部最优结束。
(3)算法尝试找出使平方误差函数值最小的k个划分。当簇是密集的、球状或团状的,而簇与簇之间差别明显时,它的聚类效果非常好。
缺点:
(1)k-平均方法仅仅有在簇的平均值被定义的情况下才干使用。不适用于某些应用。如涉及有分类属性的数据不适用。
(2)要求用户必须事先给出要生成的簇的数目k。
(3)对初值敏感。对于不同的初始值。可能会导致不同的聚类结果。
(4)不适合于发现非凸面形状的簇,或者大小区别非常大的簇。
(5)对于"噪声"和孤立点数据敏感,少量的该类数据可以对平均值产生极大影响。
算法的改进
针对算法存在的问题,对K-means算法提出一些改进:
一是数据预处理
二是初始聚类中心选择
三是迭代过程中聚类种子的选择
首先对样本数据进行正规化处理,这样就能防止某些大值属性的数据左右样本间的距离。给定一组含有n个数据的数据集,每个数据含有m个属性。分别计算每个属性的均值、标准差对每条数据进行标准化。
其次,初始聚类中心的选择对最后的聚类效果有非常大的影响,原K-means算法是随机选取k个数据作为聚类中心,而聚类的结果要是同类间尽可能相似,不同类间尽可能相异,所以初始聚类中心的选取要尽可能做到这一点。采用基于距离和的孤立点定义来进行孤立点的预先筛选,并利用两两数据之间的最大距离在剩余数据集合中寻找初始聚类中心。但对于实际数据。孤立点个数往往不可预知。在选择初始聚类中心时,先将孤立点纳入统计范围。在样本中计算对象两两之间的距离,选出距离最大的两个点作为两个不同类的聚类中心,接着从其余的样本对象中找出已经选出来的全部聚类中心的距离和最大的点为还有一个聚类中心,直到选出k个聚类中心。这样做就减少了样本输入顺序对初始聚类中心选择的影响。
聚类中心选好以后,就要进行不断的迭代计算,在K-means算法中。是将聚类均值点(类中全部数据的几何中心点)作为新的聚类种子进行新一轮的聚类计算,在这样的情况下。新的聚类种子可能偏离真正的数据密集区,从而导致偏差,特别是在有孤立点存在的情况下,有非常大的局限性。在选择初始中心点时,由于将孤立点计算在内,所以在迭代过程中要避免孤立点的影响。这里依据聚类种子的计算时,采用簇中那些与第k-1轮聚类种子相似度较大的数据,计算他们的均值点作为第k轮聚类的种子,相当于将孤立点排除在外。孤立点不參与聚类中心的计算。这样聚类中心就不会由于孤立点的原因而明显偏离数据集中的地方。在计算聚类中心的时候。要运用一定的算法将孤立点排除在计算均值点那些数据之外,这里主要採用类中与聚类种子相似度大于某一阈值的数据组成每一个类的一个子集。计算子集中的均值点作为下一轮聚类的聚类种子。
为了能让很多其它的数据參与到聚类中心的计算中去,阈值范围要包括大多数的数据。在第k-1轮聚类获得的类。计算该类中全部数据与该类聚类中心的平均距离S,选择类中与聚类种子相似度大于2S的数据组成每一个类的一个子集,以此子集的均值点作为第k轮聚类的聚类种子。在数据集中不管是否有明显的孤立点存在。两倍的平均距离都能包括大多数的数据。
对孤立点的改进—基于距离法
经典k均值算法中没有考虑孤立点。所谓孤立点都是基于距离的, 是数据U集中到U中近期邻居的距离最大的对象, 换言之, 数据集中与其近期邻居的平均距离最大的对象。针对经典k均值算法易受孤立点的影响这一问题, 基于距离法移除孤立点, 详细步骤例如以下:
首先扫描一次数据集, 计算每个数据对象与其临近对象的距离, 累加求其距离和, 并计算出距离和均值。假设某个数据对象的距离和大于距离和均值, 则视该点为孤立点。把这个对象从数据集中移除到孤立点集合中, 反复直到全部孤立点都找到。最后得到新的数据集就是聚类的初始集合。
对随机选取初始聚类中心的改进
k-means算法随机选取k个点作为初始聚类中心进行操作。因为是随机选取, 则变化较大, 初始点选取不同, 获得聚类的结果也不同。而且聚类分析得到的聚类的准确率也不一样。
对k-means算法的初始聚类中心选择方法—随机法进行改进, 其根据是聚类过程中同样聚类中的对象是相似的, 相异聚类中的对象是不相似的。因此提出了一种基于数据对象两两间的距离来动态寻找并确定初始聚类中心的思路, 详细步骤例如以下:
首先整理移除孤立点后的数据集U,记录数据个数y,令m=1。比較数据集中全部数据对象两两之间的距离。找出距离近期的2个数据对象形成集合Am;比較Am中每个数据对象与数据对象集合U中每个对象的距离,在U中找出与Am 中近期的数据对象,优先吸收到Am 中,直到Am 中的数据对象个数到达一定数值,然后令m=m+1。
再从U中找到对象两两间距离近期的2个数据对象构成Am,反复上面的过程,直到形成k个对象集合。这些集合内部的数据是相似的,而集合间是相异的。
能够看出,这样的聚类方法同一时候满足下面2个条件:①每一个组至少包括一个数据对象; ②每一个数据对象必须属于且仅属于一个组。即数据对象Xi ∈Ai ,且U={{A1 ∪A2 ∪…∪Ak} ∪A0} ,且Ai ∩Aj =Φ。最后对k个对象集合分别进行算术平均,形成k个初始聚类中心。
数据挖掘十大经典算法(3) Svm
支持向量机,英文为Support Vector Machine。它是一种监督式学习的方法,它广泛的应用于统计分类以及回归分析中。支持向量机属于一般化线性分类器.这族分类器的特点是他们可以同一时候最小化经验误差与最大化几何边缘区.因此支持向量机也被称为最大边缘区分类器。支持向量机将向量映射到一个更高维的空间里,在这个空间里建立有一个最大间隔超平面。在分开数据的超平面的两边建有两个互相平行的超平面。分隔超平面使两个平行超平面的距离最大化。假定平行超平面间的距离或差距越大,分类器的总误差越小。
SVM 的主要思想能够概括为两点:
(1) 它是针对线性可分情况进行分析,对于线性不可分的情况,通过使用非线性映射算法将低维输入空间线性不可分的样本转化为高维特征空间使其线性可分,从而使得高维特征空间採用线性算法对样本的非线性特征进行线性分析成为可能
(2) 它基于结构风险最小化理论之上在特征空间中建构最优切割超平面,使得学习器得到全局最优化,而且在整个样本空间的期望风险以某个概率满足一定上界
优点:泛化错误率低,计算开销不大,结果易解释
缺点:对参数调节和核函数的选择敏感,原始分类器不加修改仅适用于处理二类问题
使用数据类型:数值型和标称型数据
数据挖掘十大经典算法(4)Apriori
Apriori算法是种最有影响的挖掘布尔关联规则频繁项集的算法。它的核心是基于两阶段频集思想的递推算法。该关联规则在分类上属于单维、单层、布尔关联规则。在这里,全部支持度大于最小支持度的项集称为频繁项集(简称频集),也常称为最大项目集。在Apriori算法中,寻找最大项目集(频繁项集)的基本思想是:算法须要对数据集进行多步处理。第一步,简单统计全部含一个元素项目集出现的频数,并找出那些不小于最小支持度的项目集,即一维最大项目集。从第二步開始循环处理直到再没有最大项目集生成。循环过程是:第k步中,依据第k-1步生成的(k-1)维最大项目集产生k维侯选项目集。然后对数据库进行搜索,得到侯选项目集的项集支持度。与最小支持度进行比較,从而找到k维最大项目集。
Apriori算法的优点:简单、易理解、数据要求低。
缺点:
(1)在每一步产生侯选项目集时循环产生的组合过多,没有排除不应该參与组合的元素
(2)每次计算项集的支持度时,都对数据库D中的所有记录进行了一遍扫描比較。假设是一个大型的数据库的话,这样的扫描比較会大大添加计算机系统的I/O开销。而这样的代价是随着数据库的记录的添加呈现出几何级数的添加
数据挖掘十大经典算法(5) EM
在统计计算中,最大期望(EM,Expectation–Maximization)算法是在概率(probabilistic)模型中寻找参数最大似然估计的算法,其中概率模型依赖于无法观测的隐藏变量(Latent Variabl)。最大期望经常用在机器学习和计算机视觉的数据集聚(Data Clustering)领域。
最大期望算法经过两个步骤交替进行计算,第一步是计算期望(E),利用对隐藏变量的现有预计值,计算其最大似然预计值;第二步是最大化(M)。最大化在 E 步上求得的最大似然值来计算參数的值。M 步上找到的參数预计值被用于下一个 E 步计算中,这个过程不断交替进行。M是一个在已知部分相关变量的情况下,预计未知变量的迭代技术。EM的算法流程例如以下:
初始化分布參数
反复直到收敛:
E步骤:预计未知參数的期望值,给出当前的參数预计。
M步骤:又一次预计分布參数,以使得数据的似然性最大,给出未知变量的期望预计。
应用于缺失值
数据挖掘十大经典算法(6) PageRank
PageRank。网页排名,又称网页级别、Google左側排名或佩奇排名,是一种由搜索引擎依据网页之间相互的超链接计算的技术,而作为网页排名的要素之中的一个,以Google公司创办人拉里·佩奇(Larry Page)之姓来命名。Google用它来体现网页的相关性和重要性,在搜索引擎优化操作中是常常被用来评估网页优化的成效因素之中的一个。Google的创始人拉里·佩奇和谢尔盖·布林于1998年在斯坦福大学发明了这项技术。
PageRank通过网络浩瀚的超链接关系来确定一个页面的等级。
Google把从A页面到B页面的链接解释为A页面给B页面投票。Google依据投票来源(甚至来源的来源,即链接到A页面的页面)和投票目标的等级来决定新的等级。
简单的说,一个高等级的页面能够使其它低等级页面的等级提升。
PageRank让链接来"投票"
一个页面的“得票数”由全部链向它的页面的重要性来决定,到一个页面的超链接相当于对该页投一票。一个页面的PageRank是由全部链向它的页面(“链入页面”)的重要性经过递归算法得到的。一个有较多链入的页面会有较高的等级,相反假设一个页面没有不论什么链入页面。那么它没有等级。
2005年初。Google为网页链接推出一项新属性nofollow,使得站点管理员和网志作者能够做出一些Google不计票的链接,也就是说这些链接不算作"投票"。nofollow的设置能够抵制垃圾评论。
Google工具条上的PageRank指标从0到10。它似乎是一个对数标度算法,细节未知。PageRank是Google的商标。其技术亦已经申请专利。
PageRank算法中的点击算法是由Jon Kleinberg提出的。
PageRank算法
1.PageRank
基本思想:假设网页T存在一个指向网页A的连接,则表明T的全部者觉得A比較重要。从而把T的一部分重要性得分赋予A。这个重要性得分值为:PR(T)/C(T)
当中PR(T)为T的PageRank值。C(T)为T的出链数。则A的PageRank值为一系列类似于T的页面重要性得分值的累加。
长处:是一个与查询无关的静态算法,全部网页的PageRank值通过离线计算获得;有效降低在线查询时的计算量,极大降低了查询响应时间。
不足:人们的查询具有主题特征,PageRank忽略了主题相关性,导致结果的相关性和主题性减少;另外。PageRank有非常严重的对新网页的鄙视。
2.Topic-Sensitive PageRank(主题敏感的PageRank)
基本思想:针对PageRank对主题的忽略而提出。核心思想:通过离线计算出一个 PageRank向量集合。该集合中的每个向量与某一主题相关,即计算某个页面关于不同主题的得分。
主要分为两个阶段:主题相关的PageRank向量集合的计算和在线查询时主题的确定。
长处:依据用户的查询请求和相关上下文推断用户查询相关的主题(用户的兴趣)返回查询结果准确性高。
不足:没有利用主题的相关性来提高链接得分的准确性。
3.Hilltop
基本思想:与PageRank的不同之处:仅考虑专家页面的链接。主要包含两个步骤:专家页面搜索和目标页面排序。
长处:相关性强,结果准确。
不足:专家页面的搜索和确定对算法起关键作用,专家页面的质量决定了算法的准确性,而
专家页面的质量和公平性难以保证。忽略了大量非专家页面的影响,不能反应整个Internet的民意;当没有足够的专家页面存在时,返回空,所以Hilltop适合对于查询排序进行求精。
那么影响google PageRank的因素有哪些呢?
1 与pr高的站点做链接:
2 内容质量高的站点链接
3增加搜索引擎分类文件夹
4 增加免费开源文件夹
5 你的链接出如今流量大、知名度高、频繁更新的重要站点上
6 google对DPF格式的文件比較看重。
7 安装Google工具条
8 域名和tilte标题出现关键词与meta标签等
9 反向连接数量和反向连接的等级
10 Google抓取您站点的页面数量
11导出链接数量
数据挖掘十大经典算法(7) AdaBoost
Boosting是种通用的增强基础算法性能的回归分析算法,把若干个分类效果并不好的分类器综合起来考虑,会得到一个效果比较好的分类器。不需构造一个高精度的回归分析,只需一个粗糙的基础算法即可,再反复调整基础算法就可以得到较好的组合回归模型。它可以将弱学习算法提高为强学习算法,可以应用到其它基础回归算法,如线性回归、神经网络等,来提高精度。
Adaboost是 Boosting的方法之一。Adaboost是一种迭代算法,其核心思想是针对同一个训练集训练不同的分类器(弱分类器),然后把这些弱分类器集合起来,构成一个更强的最终分类器 (强分类器)。其算法本身是通过改变数据分布来实现的,它根据每次训练集之中每个样本的分类是否正确,以及上次的总体分类的准确率,来确定每个样本的权 值。将修改过权值的新数据集送给下层分类器进行训练,最后将每次训练得到的分类器最后融合起来,作为最后的决策分类器。
优点:泛化错误率低,易编码,可以应用在大部分分类器上,无参数调整
缺点:对离群点敏感
使用数据类型:数值型和标称型数据
在详细实现上,最初令每一个样本的权重都相等,对于第k次迭代操作。我们就依据这些权重来选取样本点,进而训练分类器Ck。然后就依据这个分类器,来提高被它分错的的样本的权重,并减少被正确分类的样本权重。然后,权重更新过的样本集被用于训练下一个分类器Ck[2]。整个训练过程如此迭代地进行下去。
数据挖掘十大经典算法(8) kNN
KNN介绍
KNN方法的思路是:假设一个样本在特征空间中的k个最相似(即特征空间中最邻近)的样本中的大多数属于某一个类别,则该样本也属于这个类别。KNN算法中,所选择的邻居都是已经正确分类的对象。该方法在定类决策上仅仅根据最邻近的一个或者几个样本的类别来决定待分样本所属的类别。对于类域的交叉或重叠较多的待分样本集来说,KNN方法较其它方法更为适合。
KNN算法不仅能够用于分类,还能够用于回归。通过找出一个样本的k个近期邻居,将这些邻居的属性的平均值赋给该样本,就能够得到该样本的属性。更实用的方法是将不同距离的邻居对该样本产生的影响给予不同的权值(weight),如权值与距离成正比。
该算法在分类时有个基本的不足是,当样本不平衡时,如一个类的样本容量非常大,而其它类样本容量非常小时,有可能导致当输入一个新样本时,该样本的K个邻居中大容量类的样本占多数。该方法的还有一个不足之处是计算量较大,由于对每个待分类的文本都要计算它到全体已知样本的距离,才可以求得它的K个近期邻点。
算法分类步骤例如以下:
1 首先我们事先定下k值(就是指k近邻方法的k的大小。代表对于一个待分类的数据点,我们要寻找几个它的邻居)。这边为了说明问题,我们取两个k值。
2 依据事先确定的距离度量公式(如:欧氏距离)。得出待分类数据点和全部已知类别的样本点中。距离近期的k个样本。
3 统计这k个样本点中。各个类别的数量。依据k个样本中,数量最多的样本是什么类别,我们就把这个数据点定为什么类别。
训练样本是多维特征空间向量。当中每一个训练样本带有一个类别标签。算法的训练阶段仅仅包括存储的特征向量和训练样本的标签。在分类阶段。k是一个用户定义的常数。一个没有类别标签的向量 (查询或測试点)将被归类为最接近该点的K个样本点中最频繁使用的一类。普通情况下,将欧氏距离作为距离度量。可是这是仅仅适用于连续变量。在文本分类这样的非连续变量情况下,还有一个度量——重叠度量(或海明距离)能够用来作为度量。通常情况下。假设运用一些特殊的算法来计算度量的话。K近邻分类精度可显著提高。如运用大边缘近期邻法或者近邻成分分析法。
“多数表决”分类的一个缺点是出现频率较多的样本将会主导測试点的预測结果。那是由于他们比較大可能出如今測试点的K邻域而測试点的属性又是通过K领域内的样本计算出来的。解决这个缺点的方法之中的一个是在进行分类时将样本到測试点的距离考虑进去。
K值的选择
怎样选择一个最佳的K值取决于数据。普通情况下。在分类时较大的K值可以减小噪声的影响。但会使类别之间的界限变得模糊。一个较好的K值能通过各种启示式技术来获取,比方,交叉验证。
噪声和非相关性特征向量的存在会使K近邻算法的准确性减小。一个普遍的做法是利用进化算法优化功能扩展。另一种较普遍的方法是利用训练样本的互信息进行选择特征。
K近邻算法也适用于连续变量预计。比方适用反距离加权平均多个K近邻点确定測试点的值。该算法的功能有:
1、从目标区域抽样计算欧式或马氏距离;
2、在交叉验证后的RMSE基础上选择启示式最优的K邻域;
3、计算多元k-近期邻居的距离倒数加权平均。
数据挖掘十大经典算法(9) Naive Baye
简单介绍
贝叶斯分类的基础是概率推理。就是在各种条件的存在不确定。仅知其出现概率的情况下,怎样完毕推理和决策任务。概率推理是与确定性推理相相应的。
而朴素贝叶斯分类器是基于独立如果的,即如果样本每一个特征与其它特征都不相关。举个样例,如果一种水果其具有红。圆,直径大概4英寸等特征。该水果能够被判定为是苹果。
虽然这些特征相互依赖或者有些特征由其它特征决定。然而朴素贝叶斯分类器觉得这些属性在判定该水果是否为苹果的概率分布上独立的。朴素贝叶斯分类器依靠精确的自然概率模型,在有监督学习的样本集中能获取得很好的分类效果。在很多实际应用中。朴素贝叶斯模型參数预计使用最大似然预计方法。换而言之朴素贝叶斯模型能工作并没实用到贝叶斯概率或者不论什么贝叶斯模型。
虽然是带着这些朴素思想和过于简单化的如果,但朴素贝叶斯分类器在非常多复杂的现实情形中仍可以取得相当好的效果。2004年。一篇分析贝叶斯分类器问题的文章揭示了朴素贝叶斯分类器取得看上去不可思议的分类效果的若干理论上的原因。
虽然如此,2006年有一篇文章具体比較了各种分类方法,发现更新的方法(如boosted trees和随机森林)的性能超过了贝叶斯分类器。
朴素贝叶斯分类器的一个优势在于仅仅须要依据少量的训练数据预计出必要的參数(变量的均值和方差)。因为变量独立如果,仅仅须要预计各个变量的方法。而不须要确定整个协方差矩阵。
两种分类模型:
分类是将一个未知样本分到几个预先已知类的过程。
数据分类问题的解决是一个两步过程:
第一步,建立一个模型,描写叙述预先的数据集或概念集。通过分析由属性描写叙述的样本(或实例,对象等)来构造模型。
假定每个样本都有一个预先定义的类,由一个被称为类标签的属性
确定。为建立模型而被分析的数据元组形成训练数据集。该步也称作有指导的学习。 在众多的分类模型中,应用最为广泛的两种分类模型是:
决策树模型(Decision Tree Model)和朴素贝叶斯模型(Naive Bayesian Model,NBC)。
决策树模型通过构造树来解决分类问题。
1、首先利用训练数据集来构造一棵决策树,一旦树建立起来,它就可为未知样本产生一个分类。在分类问题中使用决策树模型有非常多的长处。决策树便于使用。并且高效。依据决策树能够
非常easy地构造出规则,而规则通常易于解释和理解;决策树可非常好地扩展到大型数据库中,同一时候它的大小独立于数据库的大小;决策树模型的另外一大长处就是能够对有很多属性的数据集构造决策树。
决策树模型也有一些缺点,比方处理缺失数据时的困难,过度拟合问题的出现。以及忽略数据集中属性之间的相关性等。
2、和决策树模型相比,朴素贝叶斯模型发源于古典数学理论,有着坚实的数学基础,以及稳定的分类效率。同一时候。NBC模型所需预计的參数非常少。对缺失数据不太敏感,算法也比較简单。
理论上,NBC模型与其它分类方法相比具有最小的误差率。
可是实际上并不是总是如此。这是由于NBC模型如果属性之间相互独立,这个如果在实际应用中往往是不成立的。这给NBC
模型的正确分类带来了一定影响。在属性个数比較多或者属性之间相关性较大时,NBC模型的分类效率比不上决策树模型。而在属性相关性较小时,NBC模型的性能最为良好。
贝叶斯分类器特点
1、 须要知道先验概率
先验概率是计算后验概率的基础。在传统的概率理论中。先验概率能够由大量的反复实验所获得的各类样本出现的频率来近似获得。其基础是“大数定律”。这一思想称为“频率主义”。而在称为“贝叶斯主义”的数理统计学派中,他们觉得时间是单向的,很多事件的发生不具有可反复性,因此先验概率仅仅能依据对置信度的主观判定来给出,也能够说由“信仰”来确定。
2、依照获得的信息对先验概率进行修正
在没有获得不论什么信息的时候,假设要进行分类判别,仅仅能根据各类存在的先验概率。将样本划分到先验概率大的一类中。而在获得了很多其它关于样本特征的信息后。能够按照贝叶斯公式对先验概率进行修正,得到后验概率。提高分类决策的准确性和置信度。
3、分类决策存在错误率
因为贝叶斯分类是在样本取得某特征值时对它属于各类的概率进行猜測,并无法获得样本真实的类别归属情况,所以分类决策一定存在错误率,即使错误率非常低。分类错误的情况也可能发生。
数据挖掘十大经典算法(10) CART
分类回归树(CART,Classification And Regression Tree)也属于一种决策树。分类回归树是一棵二叉树,且每一个非叶子节点都有两个孩子。决策树生长的核心是确定决策树的分枝准则。在分类树下面有两个关键的思想,第一个是关于递归地划分自变量空间的想法(二元切分法);第二个想法是用验证数据进行剪枝(预剪枝、后剪枝)。
优点:可以对复杂和非线性的数据建模
缺点:结果不易理解
适用数据类型:数值型和标称型数据
怎样从众多的属性变量中选择一个当前的最佳分支变量,即选择能使异质性下降最快的变量。
异质性的度量:GINI、TWOING、least squared deviation。
前两种主要针对分类型变量,LSD针对连续性变量。
代理划分、加权划分、先验概率
怎样从分支变量的众多取值中找到一个当前的最佳切割点(切割阈值)。
(1) 切割阈值:
A、数值型变量——对记录的值从小到大排序,计算每一个值作为临界点产生的子节点的异质性统计量。可以使异质性减小程度最大的临界值便是最佳的划分点。
B、分类型变量——列出划分为两个子集的全部可能组合。计算每种组合下生成子节点的异质性。相同。找到使异质性减小程度最大的组合作为最佳划分点。
在决策树的每个节点上我们能够按任一个属性的任一个值进行划分。按哪种划分最好呢?有3个标准能够用来衡量划分的好坏:GINI指数、双化指数、有序双化指数。
终止条件:
一个节点产生左右孩子后,递归地对左右孩子进行划分就可以产生分类回归树。这里的终止条件是什么?什么时候节点就能够停止分裂了?满足下面一个即停止生长。
(1) 节点达到全然纯性;
(2) 数树的深度达到用户指定的深度。
(3) 节点中样本的个数少于用户指定的个数;
(4) 异质性指标下降的最大幅度小于用户指定的幅度。
剪枝
当分类回归树划分得太细时,会对噪声数据产生过拟合作用。因此我们要通过剪枝来解决。剪枝又分为前剪枝和后剪枝:前剪枝是指在构造树的过程中就知道哪些节点能够剪掉。于是干脆不正确这些节点进行分裂。在N皇后问题和背包问题中用的都是前剪枝。上面的χ2方法也能够觉得是一种前剪枝;后剪枝是指构造出完整的决策树之后再来考查哪些子树能够剪掉。
在分类回归树中能够使用的后剪枝方法有多种,比方:代价复杂性剪枝、最小误差剪枝、悲观误差剪枝等等。
预測
回归树——预測值为叶节点目标变量的加权均值
分类树——某叶节点预測的分类值应是造成错判损失最小的分类值。
本文深入解析了机器学习领域的核心算法,包括聚类、分类、回归的区别,以及常见算法如K-means、决策树、逻辑回归、支持向量机、神经网络等的工作原理和应用场景。同时,介绍了数据挖掘十大经典算法,探讨了算法的优缺点和适用数据类型。
3831

被折叠的 条评论
为什么被折叠?



