二叉搜索树
二叉搜索树
1. 二叉搜索树的概念
二叉搜索树又称二叉排序树,他可以是一颗空树,或者是具有以下性质的二叉树:
- 若它的左子树不为空,则左子树上所有节点的值都小于根节点的值;
- 若它的右子树不为空,则右子树上所有节点的值都大于根节点的值;
- 它的左右子树也分别为二叉搜索树。
- 二叉搜索树中可以支持插入相等的值,也可以不支持插入相等的值,具体看用场景定义,后续学习 map/set/multimap/multiset 系列容器底层是二叉搜索树,其中 map/set 不支持插入相等值, multimap/multiset 支持插入相等值。
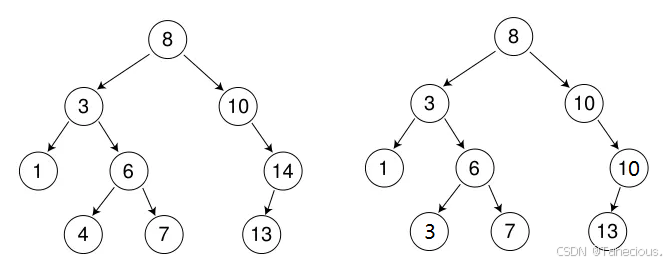
下面是两个左边是二叉搜索树,右边的不是二叉搜索树。

2. 二叉搜索树的性能分析
最优情况下,二叉搜索树为完全二叉树(或者接近完全二叉树),其高度为: l o g 2 N log₂N log2N
最差情况下,二叉搜索树退化为单支树(或者类似链表),其高度为: N N N
所以综合而言二叉搜索树增加修改时的时间复杂度为: O ( N ) O(N) O(N)
下面是最优情况和最差情况的两种二叉搜索树:

那么这样的效率显然是无法满足需求的,后面需要继续了解二叉搜索树的变形,平衡二叉搜索树AVL树和红黑树,才会适用在内存中存储和搜索数据。
另外需要说明的是,二分查找可以实现 O ( l o g 2 N ) O(log₂N) O(log2N)级别的查找效率,但是三分查找有两个缺陷:
- 需要存储在支持不带标识符访问的结构中,并且是顺序。
- 插入和删除数据效率很低,因为存储在不带标识符的结构中,插入和删除数据一般需要拷贝数据。
这也就表现出了平衡二叉搜索树的价值。
3. 二叉搜索树的操作与实现
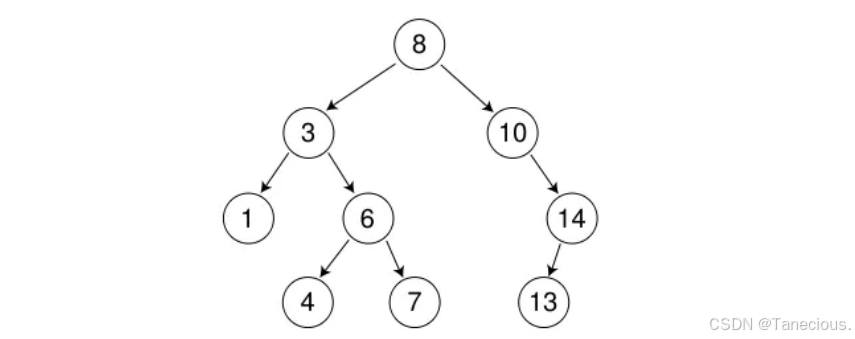
下面讲的二叉搜索树的操作均以数组 a 中的数据为例:
int a[] = {8, 3, 1, 10, 6, 4, 7, 14, 13};

首先利用模版定义出一个二叉搜索树的结点:
template<class K>
struct BSTNode
{
K _key;
BSTNode<K>* _left;
BSTNode<K>* _right;
BSTNode(const K& key)
:_key(key)
, _left(nullptr)
, _right(nullptr)
{}
};
3.1 二叉搜索树的插入
插入的具体过程如下:
- 树为空,则直接新增结点,赋值给 root 指针。
- 树不为空,按二叉搜索树性质,插入值比当前结点大往右走,插入值比当前结点小往左走,找到空位置,插入新结点。
- 如果支持插入相等的值,插入值跟当前结点相等的值可以往右走,也可以往左走,找到空位置,插入新结点即可,因为后面涉及可以插入相同值的AVL数可能会利用旋转将插入的左子树旋转到有右子树的位置上。(要注意的是要保持逻辑一致性,插入相等的值不要一会往右走,一会左走)
注意:在遍历查找插入位置的过程中,需要记录父节点的地址,因为需要将新增节点链接到二叉搜索树中。


bool Insert(const K& key)
{
//树为空
if (_root == nullptr)
{
_root = new Node(key);
return true;
}
//树不为空
Node* parent = nullptr;
Node* cur = _root;
//遍历二叉树比较大小
while (cur)
{
if (cur->_key < key)
{
parent = cur;
cur = cur->_right;
}
else if (cur->_key > key)
{
parent = cur;
cur = cur->_left;
}
else
{
return false;
}
}
//开始插入
cur = new Node(key);
if (parent->_key < key)
{
parent->_right = cur;
}
else
{
parent->_left = cur;
}
return true;
}
3.2 二叉搜索树的查找
查找的具体过程如下:
-
从根开始比较,查找x,比根的值大则往右边查找,比根值小则往左边查找。
-
最多查找高度次,走到空,还没找到,这个值不存在。
-
如果不支持插入相等的值,找到x即返回。
-
如果支持插入相等的值,意味着有多个x存在,一般要求查找中序中的第一个x。
如图3,要找到1的右孩子的那个3返回。

bool Find(const K& key)
{
Node* cur = _root;
while (cur)
{
if (cur->_key < key)
{
cur = cur->_right;
}
else if (cur->_key > key)
{
cur = cur->_left;
}
else
{
return true;
}
}
return false;
}
3.3 二叉搜索树的删除
删除的具体过程如下:
首先查找元素是否在二叉搜索树中,如果不存在,则返回 false 。
如果查找元素存在则分别处理以下四种情况: (假设要删除的节点为 N )
-
要删除的节点
N右孩子为空**解决方案:**把
N节点的父亲对应子节点指针指向空,直接删除N节点。(情况1可以当成2或者3处理,效果是一样的)。 -
要删除的节点
N左孩子为空,右孩子结点不为空**解决方案:**把
N节点的父亲对应子节点指针指向N的右子节点,直接删除N节点。
-
要删除的节点
N右孩子为空,左孩子结点不为空**解决方案:**把
N节点的父亲对应子节点指针指向N的左子节点,直接删除N节点
-
要删除的节点
N左右孩子均不为空解决方案:无法直接删除
N节点,因为N的两个子节点无法放置,只有用替换法删除。找N左子树的最大节点R(最左结点)或者N右子树的最小节点R(最右节点)替代N,因为这两个结点中任意一个,放到N的位置,都满足二叉搜索树的规则。替代N的意思就是N和R的两个节点的交换,转而变成删除R结点,R结点符合情况2或情况3,可以直接删除。
bool Erase(const K& key)
{
Node* parent = nullptr;
Node* cur = _root;
//先查找到对应目标值所在的结点
while (cur)
{
if (cur->_key < key)
{
parent = cur;
cur = cur->_right;
}
else if (cur->_key > key)
{
parent = cur;
cur = cur->_left;
}
//找到目标值所在节点,执行删除操作
else
{
// --- 情况一:待删除节点(cur)的左子树为空 ---
//注意:这种情况也涵盖左右子树都为空的情况
if (cur->_left == nullptr)
{
// 如果 parent 为空,说明要删除的是根节点
if (parent == nullptr)
{
// 直接将根指针指向 cur 的右子节点(即使是 nullptr也没关系)
_root = cur->_right;
}
else// 如果要删除的不是根节点
{
// 判断 cur 是其父节点(parent)的左孩子还是右孩子
if (parent->_left == cur)
parent->_left = cur->_right;
else
parent->_right = cur->_right;
}
delete cur;
return true;
}
// --- 情况二:待删除节点(cur)的右子树为空 ---
else if (cur->_right == nullptr)
{
// 如果 parent 为空,说明要删除的是根节点
if (parent == nullptr)
{
_root = cur->_left;
}
else// 如果要删除的不是根节点
{
// 判断 cur 是其父节点(parent)的左孩子还是右孩子
if (parent->_left == cur)
parent->_left = cur->_left;
else
parent->_right = cur->_left;
}
delete cur;
return true;
}
// --- 情况三:待删除节点(cur)左右子树均不为空 ---
else
{
// 2个孩⼦的情况
// 删除情况4,替换法删除
// 假设这⾥我们取右⼦树的最⼩结点作为替代结点去删除
// 这⾥尤其要注意右⼦树的根就是最⼩情况的情况的处理
// ⼀定要把cur给rightMinP,否会报错。
// rightMinP 用来记录最小节点的父节点
Node* rightMinP = cur;
// rightMin 用来寻找并指向右子树中的最小节点,初始指向右子树的根
Node* rightMin = cur->_right;
// 循环向左下角移动,直到找到最小节点(即最左侧的节点)
while (rightMin->_left)
{
rightMinP = rightMin;
rightMin = rightMin->_left;
}
// 将找到的最小节点(rightMin)的键值,覆盖掉当前要删除节点(cur)的键值
cur->_key = rightMin->_key;
// 判断 rightMin 是其父节点(rightMinP)的左孩子还是右孩子
if (rightMinP->_left == rightMin)
rightMinP->_left = rightMin->_right;
else
rightMinP->_right = rightMin->_right;
delete rightMin;
return true;
}
}
}
return false;
}
3.4 模拟实现完整代码
namespace key
{
template<class K>
struct BSTNode
{
K _key;
BSTNode<K>* _left;
BSTNode<K>* _right;
BSTNode(const K& key)
:_key(key)
, _left(nullptr)
, _right(nullptr)
{}
};
//class SearchBinaryTree
template<class K>
class BSTree
{
typedef BSTNode<K> Node;
public:
bool Insert(const K& key)
{
if (_root == nullptr)
{
_root = new Node(key);
return true;
}
Node* parent = nullptr;
Node* cur = _root;
while (cur)
{
if (cur->_key < key)
{
parent = cur;
cur = cur->_right;
}
else if (cur->_key > key)
{
parent = cur;
cur = cur->_left;
}
else
{
return false;
}
}
cur = new Node(key);
if (parent->_key < key)
{
parent->_right = cur;
}
else
{
parent->_left = cur;
}
return true;
}
bool Find(const K& key)
{
Node* cur = _root;
while (cur)
{
if (cur->_key < key)
{
cur = cur->_right;
}
else if (cur->_key > key)
{
cur = cur->_left;
}
else
{
return true;
}
}
return false;
}
bool Erase(const K& key)
{
Node* parent = nullptr;
Node* cur = _root;
while (cur)
{
if (cur->_key < key)
{
parent = cur;
cur = cur->_right;
}
else if (cur->_key > key)
{
parent = cur;
cur = cur->_left;
}
else
{
//删除
if (cur->_left == nullptr)
{
if (cur == _root)
{
_root = cur->_right;
}
else
{
// 父亲指向我的右
if (cur == parent->_right)
{
parent->_right = cur->_right;
}
else
{
parent->_left = cur->_right;
}
}
delete cur;
}
else if (cur->_right == nullptr)
{
if (cur == _root)
{
_root = cur->_left;
}
else
{
// 父亲指向我的左
if (cur == parent->_right)
{
parent->_right = cur->_left;
}
else
{
parent->_left = cur->_left;
}
}
delete cur;
}
else
{
// 找右子树最小节点(最左)替代我的位置
Node* minRightParent = cur;
Node* minRight = cur->_right;
while (minRight->_left)
{
minRightParent = minRight;
minRight = minRight->_left;
}
cur->_key = minRight->_key;
if (minRightParent->_left == minRight)
{
minRightParent->_left = minRight->_right;
}
else
{
minRightParent->_right = minRight->_right;
}
delete minRight;
}
return true;
}
}
return false;
}
void InOrder()
{
_InOrder(_root);
cout << endl;
}
private:
void _InOrder(Node* root)
{
if (root == nullptr)
{
return;
}
_InOrder(root->_left);
cout << root->_key << " ";
_InOrder(root->_right);
}
Node* _root = nullptr;
};
}
4. 二叉搜索树的应用
二叉搜索树主要应用于两种模型 key 模型和 key/value 模型,上面实现的就是 key 模型。
4.1 key的搜索场景
key 模型即只有 key 作为关键码,结构中只需要存储 Key 即可,关键码即为需要搜索到的值,K 模型中,K 的值不可更改;下面以单词拼写来作为 K 模型的一个具体应用场景:
给一个单词word,判断该单词是否拼写正确,可以将 K 的类型定义为 string,然后将英语词库中的所有单词作为 key,构建一颗二叉搜索树,然后在二叉搜索树中对用户写出的每一个单词进行查找,如果找不到,则说明该单词拼写错误。
4.2 key/value的搜索场景
key/value模型即在 key 模型的基础上,给每一个关键码 key 都对应上一个值 value,即<Key, Value>键值对,在 key/value 模型中,key 的值不可更改,该 key 对应的 value 可以更改;key/value 模型在日常生活中非常常见:
比如英汉词典就是英文与中文的对应关系,通过英文可以快速找到与其对应的中文,英文单词与其对应的中文 <word, chinese> 就构成一种键值对;
再比如统计每种类型水果的个数,统计成功后,给定水果类型就可快速找到该类型水果的个数,水果类型与其个数就是 <fruit, count> 就构成一种键值对。
上面已经对 key 模型进行了模拟实现,下面对 key 模型的代码进行修改即可修改为 key/value 模型。并实现上面的统计每种类型水果数量的功能:
key /value 模型代码:
namespace key_value
{
template<class K, class V>
struct BSTNode
{
K _key;
V _value;
BSTNode<K, V>* _left;
BSTNode<K, V>* _right;
BSTNode(const K& key, const V& value)
:_key(key)
, _value(value)
, _left(nullptr)
, _right(nullptr)
{}
};
template<class K, class V>
class BSTree
{
typedef BSTNode<K, V> Node;
public:
bool Insert(const K& key, const V& value)
{
if (_root == nullptr)
{
_root = new Node(key, value);
return true;
}
Node* parent = nullptr;
Node* cur = _root;
while (cur)
{
if (cur->_key < key)
{
parent = cur;
cur = cur->_right;
}
else if (cur->_key > key)
{
parent = cur;
cur = cur->_left;
}
else
{
return false;
}
}
cur = new Node(key, value);
if (parent->_key < key)
{
parent->_right = cur;
}
else
{
parent->_left = cur;
}
return true;
}
Node* Find(const K& key)
{
Node* cur = _root;
while (cur)
{
if (cur->_key < key)
{
cur = cur->_right;
}
else if (cur->_key > key)
{
cur = cur->_left;
}
else
{
return cur;
}
}
return nullptr;
}
bool Erase(const K& key)
{
Node* parent = nullptr;
Node* cur = _root;
while (cur)
{
if (cur->_key < key)
{
parent = cur;
cur = cur->_right;
}
else if (cur->_key > key)
{
parent = cur;
cur = cur->_left;
}
else
{
//删除
if (cur->_left == nullptr)
{
if (cur == _root)
{
_root = cur->_right;
}
else
{
// 父亲指向我的右
if (cur == parent->_right)
{
parent->_right = cur->_right;
}
else
{
parent->_left = cur->_right;
}
}
delete cur;
}
else if (cur->_right == nullptr)
{
if (cur == _root)
{
_root = cur->_left;
}
else
{
// 父亲指向我的左
if (cur == parent->_right)
{
parent->_right = cur->_left;
}
else
{
parent->_left = cur->_left;
}
}
delete cur;
}
else
{
// 找右子树最小节点(最左)替代我的位置
Node* minRightParent = cur;
Node* minRight = cur->_right;
while (minRight->_left)
{
minRightParent = minRight;
minRight = minRight->_left;
}
cur->_key = minRight->_key;
if (minRightParent->_left == minRight)
{
minRightParent->_left = minRight->_right;
}
else
{
minRightParent->_right = minRight->_right;
}
delete minRight;
}
return true;
}
}
return false;
}
void InOrder()
{
_InOrder(_root);
cout << endl;
}
private:
void _InOrder(Node* root)
{
if (root == nullptr)
{
return;
}
_InOrder(root->_left);
cout << root->_key << " " << root->_value << endl;
_InOrder(root->_right);
}
Node* _root = nullptr;
};
}
使用场景:统计每种类型水果数量
int main()
{
string arr[] = { "苹果","香蕉","香蕉","西瓜", "苹果", "西瓜", "苹果", "苹果", "西瓜","苹果", "香蕉", "苹果", "香蕉","香蕉","香蕉" };
key_value::BSTree<string, int> countTree;
for (auto& e : arr)
{
//key_value::BSTNode<string, int>* ret = countTree.Find(e);
auto ret = countTree.Find(e);
if (ret == nullptr)
{
countTree.Insert(e, 1);
}
else
{
ret->_value++;
}
}
countTree.InOrder();
return 0;
}
//运行结果:苹果:6 西瓜:3 香蕉:6
619

被折叠的 条评论
为什么被折叠?



