自用网络连接图片

矩阵方程组求解

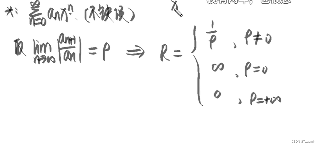
幂级数求收敛区间

二阶齐次解法

二阶非齐次


行列式的性质

本文概述了在自用网络背景下,如何通过矩阵方程组求解、幂级数求其收敛区间,以及二阶线性微分方程(齐次与非齐次解)的相关方法,同时介绍了行列式的性质在这些数学工具中的应用。
自用网络连接图片

矩阵方程组求解

幂级数求收敛区间

二阶齐次解法

二阶非齐次


行列式的性质

1786
3631

被折叠的 条评论
为什么被折叠?