✨✨ 欢迎大家来访Srlua的博文(づ ̄3 ̄)づ╭❤~✨✨🌟🌟 欢迎各位亲爱的读者,感谢你们抽出宝贵的时间来阅读我的文章。
我是Srlua小谢,在这里我会分享我的知识和经验。🎥
希望在这里,我们能一起探索IT世界的奥妙,提升我们的技能。🔮
记得先点赞👍后阅读哦~ 👏👏
📘📚 所属专栏:传知代码论文复现
欢迎访问我的主页:Srlua小谢 获取更多信息和资源。✨✨🌙🌙
目录
本文所有资源均可在该地址处获取。
1.论文概述
论文链接提出了一种基于图神经网络的知识追踪方法,称为基于图的知识追踪(GKT)。将知识结构构建为图,其中节点对应于概念,边对应于它们之间的关系,将知识追踪任务构建为图神经网络中的时间序列节点级分类问题。在两个开放数据集上的实证验证表明,方法可以更好地预测学生的表现,并且该模型比先前的方法具有更可解释的预测。
贡献如下:
(1)展示了知识追踪可以重新构想为图神经网络的应用。
(2)为了实现需要输入模型的图结构,在许多情况下并不明确的情况下,我们提出了各种方法,并使用实证验证进行了比较。
(3)证明了所提出的方法比先前的方法更准确和可解释的预测。
2.论文方法
下面是本文提出GKT的体系结构。

2.1 聚合
模型聚合了回答的概念及其相邻概念的隐藏状态和嵌入。这种聚合使用隐藏状态、表示正确和错误答案的输入向量 xt,以及概念及其回答的嵌入矩阵Ex 和Ec 进行,
![]()
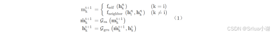
2.2 更新
接下来,模型根据聚集的特征和知识图结构更新隐藏状态。这一步骤确保模型融合了当前概念及其在知识图中的相邻节点的信息。

2.3 预测
最后,模型输出学生在下一时间步正确回答每个概念的预测概率
![]()
3. 实验
3.1 数据集
使用了学生数学练习日志的两个开放数据集:ASSISTments 2009-2010“skill-builder”由在线教育服务 ASSISTments1(以下称为“ASSISTments”)提供和 Bridge to Algebra 2006-2007 [19] 用于KDDCup 教育数据挖掘挑战赛(以下简称“KDDCup”)。在这两个数据集中,每个练习都分配了人类预定义的知识概念标签。
使用特定条件预处理每个数据集。对于ASSISTments,将同时回答的日志合二为一



最低0.47元/天 解锁文章
5733

被折叠的 条评论
为什么被折叠?



