一、引言:什么是Meta荟萃分析?
Meta分析是一种系统性的统计方法,用于整合多个独立研究的结果,从而得出更可靠、更全面的结论。在医学、心理学、教育学等领域,Meta分析被广泛用于证据合成,帮助研究者从看似矛盾的研究中发现一致性的规律。
连续性数据Meta分析是其中常见的一种类型,适用于结局变量为连续型数据的研究,例如体重变化、血压值、心理量表得分等。这类分析通常以标准化均值差(Standardized Mean Difference, SMD) 作为效应量,通过对多个研究的均值与标准差进行加权合并,得出总体效应估计。
随着统计软件的发展,像SPSSAU这类在线分析平台大大降低了Meta分析的操作门槛。SPSSAU的【Meta荟萃分析】模块支持多种数据类型,包括连续性、二分类、单个率、平均值、相关系数、OR/HR值等,本文将以连续性数据为例,系统介绍其分析流程与核心指标的理论意义。
二、Meta分析的基本流程
在进行任何Meta分析之前,研究者需要明确研究问题、制定检索策略、筛选文献、提取数据,并最终进行统计合成。下图展示了一个典型的连续性数据Meta分析流程:

该流程强调了从问题提出到结果报告的完整链条。其中,数据提取与模型选择是基础,而异质性检验与偏倚评估是保证结果稳健性的关键步骤。使用像SPSSAU这样的工具,可以自动化完成大部分计算,使研究者更专注于结果解读。
三、效应量与模型选择:理论基础
3.1 效应量的意义
在连续性Meta分析中,最常用的效应量是标准化均值差(SMD)。它表示两组之间均值的差异,除以合并标准差,从而消除不同研究测量单位的差异。其计算公式为:

其中,Xˉ1 和 Xˉ2 分别为实验组与对照组的均值, SDpooled 为合并标准差。
在实际分析中,常使用Hedges’ g 作为SMD的估计值。Hedges’ g 对小样本偏倚进行了校正,比Cohen’s d更为准确。因此,在SPSSAU中默认使用Hedges效应量,是多数研究者推荐的选择。
3.2 固定效应 vs. 随机效应模型
Meta分析模型分为固定效应模型和随机效应模型。其选择依赖于研究间是否存在异质性:
- 固定效应模型:假设所有研究共享一个真实的效应量,变异仅来自抽样误差;
- 随机效应模型:允许研究间的真实效应量不同,变异来自抽样误差与研究间差异。
选择哪种模型?需依据异质性检验结果。如果异质性较高,随机效应模型更为稳健。
四、异质性检验:如何判断研究是否“同质”?
异质性检验是Meta分析中的核心环节,其目的是评估各研究结果之间的变异程度。下表列举了常用的异质性指标:

这些指标共同构成了异质性的判断体系。例如,I²值越高,说明研究间的差异不仅仅来自随机误差,可能源于研究设计、人群特征等因素。此时应选择随机效应模型,并对异质性来源进行探讨。
下图展示了异质性检验在Meta分析中的位置与逻辑:

在SPSSAU中,异质性检验结果会自动输出Q值、I²、tau²等指标,并给出模型建议,极大方便了非统计背景的研究者。

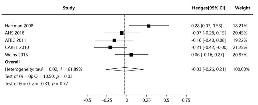
五、森林图:结果可视化
森林图是Meta分析中最直观的结果展示方式。其基本结构包括:
- 左侧:研究名称、样本量等基本信息;
- 中间:效应量及其置信区间的图示,方块大小表示权重;
- 右侧:效应量数值与权重百分比;
- 底部:合并效应量,通常以菱形表示。
森林图不仅能展示各研究结果,还能直观反映异质性与合并效应。如果各研究的置信区间重叠较多,说明异质性较低;反之则高。

六、发表偏倚检验:避免“阳性结果”偏倚
发表偏倚是指统计学上显著的研究更容易被发表,导致Meta分析结果被高估。常用的检测方法包括:
- 漏斗图:视觉判断点是否对称;如果漏斗图基本对称则意味着无发表偏倚问题。

- Egger检验:回归方法检验不对称性;
- Begg检验:非参数秩相关检验。
若Egger或Begg检验的p值<0.05,提示可能存在发表偏倚。此时需谨慎解释结果,或使用剪补法进行校正。
SPSSAU同时提供Egger与Begg检验,并输出相应p值,帮助用户综合判断。

七、Trim剪补法:校正偏倚的统计方法
剪补法是一种基于漏斗图不对称性的校正方法。其基本思想是:
- 剪去不对称部分的研究;
- 沿中心线填补对称部分;
- 基于填补后的数据重新计算效应量。
如果校正前后结果差异不大,说明发表偏倚对结果影响较小;反之,则需谨慎对待原始合并效应。

表格中列出的第1行为真实数据结果,第2行为填补后的校正数据结果;如果两行结果完全一致,则意味着并没有进行填补处理。
八、敏感性分析:结果的稳健性如何?
敏感性分析用于评估Meta分析结果是否受某一研究过度影响。常用方法是逐一剔除法,即每次剔除一个研究后重新计算合并效应量。
如果剔除任一研究后,合并效应量未发生显著变化,说明结果稳健;反之,则提示结果可能受个别研究过度影响。
SPSSAU会自动输出剔除各研究后的效应量、置信区间与I²值,方便用户进行稳健性判断。

九、累积Meta分析:随时间累积的证据
累积Meta分析是一种按时间顺序逐步累加研究的方法,可以展示证据积累的过程。其结果通常以表格或图表形式呈现,显示每增加一个研究后合并效应量的变化。
如果随着研究增加,效应量趋于稳定,说明结论较为可靠;若波动较大,则提示需要更多研究。

十、SPSSAU在Meta分析中的优势
SPSSAU作为一个在线统计分析平台,其Meta分析模块具有以下特点:
- 支持多种数据类型:包括连续性、二分类、率、相关系数等;
- 自动化流程:从数据输入到结果输出,全程可视化操作;
- 全面检验输出:包括异质性、发表偏倚、敏感性分析等;
- 图形导出功能:支持森林图、漏斗图等高质量图片导出。
这些功能使得即使没有编程基础的研究者也能完成专业的Meta分析。SPSSAU操作示例如下:

十一、结论
连续性数据Meta分析是一种强大的证据合成工具,其核心在于效应量的合并、异质性的评估与偏倚的控制。通过本文对效应量、异质性检验、森林图、发表偏倚、剪补法、敏感性分析等环节的理论解释,我们希望读者能更系统地理解Meta分析的内在逻辑。
在实际操作中,SPSSAU这类工具极大地简化了分析流程,使研究者能更专注于科学问题的阐释。未来,随着方法学与软件技术的进一步发展,Meta分析将在证据医学与社会科学中发挥更加重要的作用。

被折叠的 条评论
为什么被折叠?



