MOGWO(Multi-Objective Grey Wolf Optimizer)是一种基于灰狼优化算法(Grey Wolf Optimizer, GWO)的多目标优化算法。以下是关于 MOGWO 的详细介绍:
具体算法信息请跳转:多目标灰狼优化算法-MOGWO-(多目标天线设计优化/无线电频谱分配/智能交通信号控制优化)
基本原理
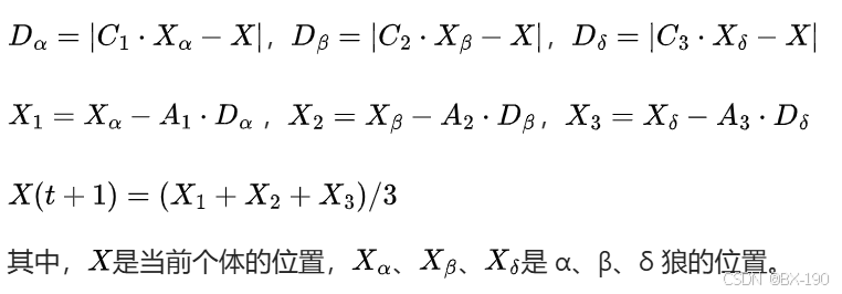
- 灰狼优化算法:GWO 是一种模拟灰狼群体狩猎行为的启发式算法。在 GWO 中,灰狼群体被分为四个等级:α、β、δ 和 ω 狼。α 狼是最优解,β 狼是次优解,δ 狼是第三优解,ω 狼是其余的狼。狼群在搜索空间中通过更新位置来寻找猎物(最优解),位置更新公式如下:

- 多目标扩展:MOGWO 将 GWO 扩展到多目标优化问题,主要通过以下几个方面:
- Pareto 最优性:在多目标优化中,不存在单一的最优解,而是一个 Pareto 最优解集。因此,MOGWO 需要考虑如何在更新狼群位置时维护和更新 Pareto 最优解集。
- 领导者选择:在 MOGWO 中,α、β、δ 狼不是单一的最优个体,而是从 Pareto 最优解集中选择多个非支配解作为领导者。这些领导者引导狼群向不同的非支配区域搜索。
-
关键步骤
- 种群初始化:
- 随机生成一定数量的灰狼个体,每个个体代表一个潜在的解,其位置表示决策变量的值。
- 初始化时,将每个个体的位置设置在搜索空间内,搜索空间由决策变量的上下限决定。
- 评估个体:
- 使用目标函数对每个个体进行评估,计算其适应度值。对于多目标问题,会得到多个适应度值(每个目标一个)。
- 确定初始的 Pareto 最优解集,将非支配个体添加到 Pareto 最优解集中。
- 更新系数:
- 根据迭代次数更新系数和,引导狼群从探索阶段(较大时)向开发阶段(较小时)转变。
- 领导者选择:
- 从 Pareto 最优解集中选择多个个体作为 α、β、δ 狼。
- 选择方式可以是随机选择,也可以根据某种策略,如优先选择多样性高的个体。
- 位置更新:
- 对于每个 ω 狼(其余个体),根据 α、β、δ 狼的位置更新自己的位置。通常会根据不同的位置更新公式更新,以平衡全局搜索和局部搜索能力。
- 位置更新公式一般基于 GWO 的公式,但会考虑多目标的情况,例如:

特点
- 简单高效:继承了 GWO 的简单结构,易于实现和理解,计算复杂度相对较低。
- 全局搜索能力:在算法开始时,具有较强的全局搜索能力,能够在搜索空间中广泛探索,寻找潜在的最优区域。
- 多样性维护:通过合适的 Pareto 最优解集维护策略,可以在一定程度上保持种群的多样性,找到分布较好的 Pareto 最优解。
应用场景
- 工程优化:在多目标的工程设计问题中,如结构设计中同时考虑重量和强度,或电子电路设计中同时考虑功耗和性能等。
- 资源分配:在网络资源分配中,需要同时考虑多个指标,如最大

最低0.47元/天 解锁文章
389

被折叠的 条评论
为什么被折叠?



