克雷西 发自 凹非寺
量子位 | 公众号 QbitAI
算力需求比AdamW直降48%,OpenAI技术人员提出的训练优化算法Muon,被月之暗面团队又推进了一步!
团队发现了Muon方法的Scaling Law,做出改进并证明了Muon对更大的模型同样适用。
在参数量最高1.5B的不同Llama架构模型上,改进后的Muon算力需求仅为AdamW的52%。

同时团队还基于DeepSeek架构训练出了一个16B的MoE模型,与改进后的优化算法一同开源。

Muon技术博客发布当时主要适用于较小的模型和数据集,作者留下了三个悬而未决的问题:
Muon能否用于更大规模的训练?
Muon能否在更大规模的GPU集群上使用?
Muon是否同样适用于微调和强化学习?
现在月暗团队用实验给出了回答——全部都是Yes。

消息一出,当时Muon的作者也都很激动,主要作者Keller Jordan表示这是Muon规模化的首个成功报告,为团队送上了祝贺。

另一名贡献者,当时负责Muon规模化实验的Hyperbolic Labs联创兼CTO Yuchen Jin也表示,月暗团队的这项成果,是Muon的一次胜利。

将AdamW特点引入Muon
在介绍月暗团队的工作之前,先来了解一下Muon是个什么样的技术。
这是一种神经网络隐藏层的2D参数优化器,主要作者是OpenAI深度学习团队的Keller Jordan。
这项成果发表于去年的12月8日,而Keller也是去年12月加入的OpenAI。
Muon的核心思想是通过正交化梯度更新矩阵,避免参数更新陷入局部极小,使模型能够学习到更加多样化的特征表示。
在94%的精度下,Muon把CIFAR-10在A100上的训练时间从3.3秒缩短至2.6秒。

不过当时Muon团队只证明了其在小型模型和数据集上的可行性,对于较大的模型能否适用则是个未知数。
现在经过月暗团队的改进之后,Muon被证明对于更大的模型和数据集同样适用。
针对模型本身,团队吸收了AdamW中的一些特点,移植到了Muon当中,具体包括两个方面。
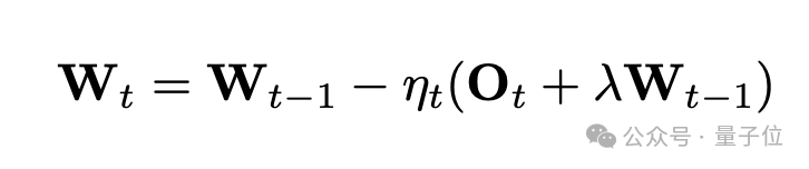
一是引入了权重衰减机制,在权重更新公式中添加了一个带有衰减系数的项。

这样做的原因是作者发现直接将Muon应用到大规模训练时,模型权重和层输出的幅度会持续增长,最终超出bf16的高精度表示范围,损害模型性能。
在训练一个8亿参数模型至100B tokens(约5倍计算预算最优)的过程中,团队对比了AdamW、无权重衰减的Muon和带权重衰减的Muon。
结果显示,带权重衰减的Muon在过拟合阶段取得了最佳效果,验证了权重衰减的必要性。

第二项改进,是调整了Muon的参数更新尺度,使不同形状矩阵参数的更新幅度保持一致,并与AdamW的更新幅度匹配。
Muon的一个特点是,对于形状为[A,B]的矩阵参数,其理论更新幅度为sqrt(1/max(A,B))。
这导致不同形状矩阵参数的更新幅度差异很大,比如对于MLP这种宽矩阵,更新会过小,而将每个head看作独立矩阵时,更新又会过大。
此外,这个幅度也与AdamW不一致,给超参数的设置带来困难。
为了让不同矩阵参数的更新幅度匹配,并与AdamW保持一致,作者尝试了几种改进方案,最终选择直接基于形状调整每个参数的学习率。
其中0.2是通过实验确定的一个常数,用于将Muon的更新尺度与AdamW对齐。

除了对Muon本身的改进,要想将Muon用于更大规模的训练,还需要将其扩展到分布式训练环境中。
由于Muon需要完整的梯度矩阵来计算正交化的更新量,而现有的分布式训练框架(如ZeRO-1、Megatron-LM等)都假设优化器状态可以独立地按元素切分到不同设备上,所以它们无法直接支持Muon。
为了解决这个问题,论文作者提出了分布式Muon的并行化策略。
它在ZeRO-1的基础上引入了两个额外的操作:
一是在每个数据并行组内做梯度聚合通信,将分散的梯度切片合并成完整的矩阵;
二是基于聚合后的梯度矩阵并行计算正交化的更新量,然后只保留与本地参数对应的那一部分。
这种实现方式在最小化内存占用和通信开销的同时,最大限度地保留了原始Muon算法的数学性质。

证明Muon扩展可行性
基于上述Muon改进,作者取得了以下成果,作者在Llama架构的一系列稠密模型上,进行了Muon和AdamW的模型缩放对比实验。
结果表明,在计算预算最优的情况下,Muon的样本效率是AdamW的1.92倍,即训练FLOPS只需AdamW的52%,就能达到相当的性能。
这一发现证实了Muon在大规模训练中的效率优势。

在此基础之上,作者以DeepSeek-V3-Small架构作为基础,用改进的Muon训练了Moonlight模型。
Moonlight是一个MoE模型,具有15.29B的总参数和2.24B激活参数,训练token量为5.7T。
与相同规模和数据量的模型相比,Moonlight在英语理解与推理(MMLU、TriviaQA、BBH)、代码生成(HumanEval、MBPP)、数学推理(GSM8K、MATH、CMATH)、中文理解(C-Eval、CMMLU)等各类任务上都取得了明显更好的性能。
即使与使用更大数据集训练的稠密模型相比,Moonlight也展现了极强的竞争力。

与多个知名语言模型的对比表明,Moonlight在性能-训练预算平面上推进了帕累托前沿(Pareto Frontier)。
(注:帕累托前沿是一个经济学和管理学中的概念,描述的是在多目标决策问题中所有可能的最优解的集合,这些解在多个目标之间取得了最佳平衡。在帕累托前沿上的每一个点,都意味着一个目标的改善必然以牺牲另一个目标为代价,因此它代表了在多个目标之间实现的最佳权衡。)

为了进一步分析Muon更新矩阵参数的内在机制,作者对比了Muon和AdamW训练得到的模型在不同训练阶段的参数矩阵奇异值谱。
结果发现,Muon优化的矩阵在各层各类参数上,总是比AdamW有更高的奇异值熵。这从经验上验证了Muon通过正交化来学习更多样化表示的直觉。

最后,在Moonlight模型的基础上,作者还探索了Muon在指导微调阶段的效果,结果表明,在预训练和微调阶段均使用Muon的效果是最佳的。

技术报告:
https://github.com/MoonshotAI/Moonlight/blob/master/Moonlight.pdf
Code:
https://github.com/MoonshotAI/Moonlight
Moonlight模型:
https://huggingface.co/moonshotai/Moonlight-16B-A3B
11

被折叠的 条评论
为什么被折叠?



