克雷西 发自 凹非寺
量子位 | 公众号 QbitAI
继给GPT-4“代言”之后,Copilot也被陶哲轩疯狂安利。
他直言,在编程时,Copilot能直接预测出他下一步要做什么。
有了Copilot之后,研究做起来也更方便了,陶哲轩也用它辅助自己完成了最新的研究成果。

陶哲轩说,这次的论文中,有关这一部分的内容其实只有一页。
但具体完成这一页纸的证明,他足足写了200多行代码,用的还是新学的编程语言Lean4。

而在陶哲轩公开代码的GitHub页面上显示,Copilot将写代码的速度提升了一半以上。

陶哲轩介绍,之所以选择Lean4是看中了它的“重写策略”,也就是对一长段表达式进行针对性的局部替换。
举个例子,假如定义了一个复杂的函数f(x),当我们想输入f(114514)的表达式时,直接用代码把x“重写”成114514就可以了。
陶哲轩说,这个特性相比于需要反复输入公式的LaTeX简直不要太方便。
那么陶哲轩这次的“一页纸证明”又给我们带来了什么新成果呢?
一页纸证明新不等式
这篇论文谈论了有关麦克劳林不等式的问题。
麦克劳林不等式是数学中一个经典的不等式,它基于“非负实数的算数平均值大于等于几何平均值”这一定律导出,可以表述为:
设y1…yn为非负实数,对k=1…n,定义均值Sk为(分母为分子的项数):

它作为具有根的 n 次多项式的归一化系数而出现。

(记住这个式子,我们称它为式1)
则麦克劳林不等式可以表示为:

其中,当且仅当所有yi相等时等号成立。
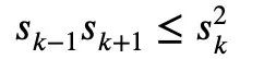
在微积分中,还有一个经典的牛顿不等式:

对任意1≤k<n,如果实变量y1…yn均为非负,牛顿不等式就可以简单地描述麦克劳林不等式了:

但如果不加上这个限制条件,即允许负数项的存在,用牛顿不等式就无法表示麦克劳林不等式了。
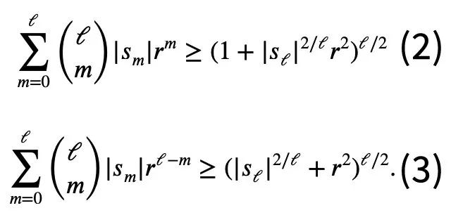
于是针对牛顿不等式中可能存在负数项的情况,陶哲轩提出了一组新的不等式变体:
对任意r>0且1≤ℓ≤n,必有式2或式3成立。

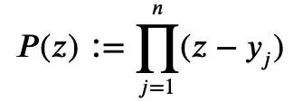
这便是陶哲轩这一页纸所要证明的内容,具体证明过程是这样的:
不妨构建一个关于复杂变量z的多项式P(z):

由前面的式1和三角不等式可得:

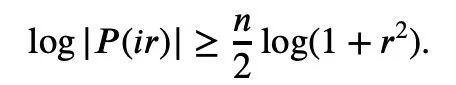
所以只需要建立下界:

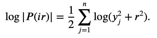
对P(z)取绝对值再取对数可得:

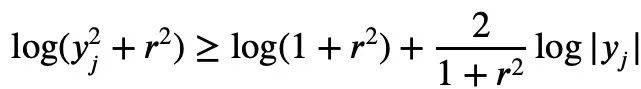
由于对任意实数t,t ↦ log(et+a)呈凸性且a>0,可以得到不等式:

当a=r2,t=2log yj时,可以得出:

以上就是陶哲轩给出的证明过程,但是,当归一化的|Sn|=1时,下式成立:

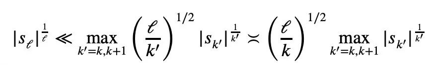
下一步:建立细化版本
除了这次提到的“一页纸证明”,陶哲轩的这篇论文中还提出了另一项新的定理,即对任意 1 ≤ k ≤ ℓ≤ n.:

在博客文章中,陶哲轩透露,他的下一步计划就是提出这一不等式的细化版本。
陶哲轩说,证明的过程“就像练习一样”会很简单,用微积分就能搞定。
不过,他也提到会有一个小困难,因为这部分论证过程使用到了渐进符号。

新的结论具体怎样,让我们拭目以待。
One More Thing
陶哲轩可谓是AI工具的忠实粉丝,Copilot、GPT-4,还有一些其他辅助工具都受到过他的推荐。
这次,他还对大模型的发展提出了新的期待,希望有一天模型可以直接生成不等式变体。

论文地址:
https://arxiv.org/abs/2310.05328
参考链接:
https://mathstodon.xyz/@tao/111271244206606941
— 完 —
「量子位2023人工智能年度评选」开始啦!
今年,量子位2023人工智能年度评选从企业、人物、产品/解决方案三大维度设立了5类奖项!欢迎扫码报名
MEET 2024大会已启动!点此了解详情。

点这里👇关注我,记得标星哦~
14

被折叠的 条评论
为什么被折叠?



