1. 平面桁架

1.1 定义材料
首先点击表格空白处,新命名一个材料

在左侧工具栏选择线性各向同性

拖进属性栏

在属性栏中填写黄色填充的数据表格,其他数据依此算出

1.2 定义几何结构
使用 DesignModeler 新建几何结构

刚进入的界面如图

点击左侧 Sketching,可以看到一些草图工具

其中直线工具一开始时可以在面上随便花,因此给人的感觉是无法约束它两个端点的位置

正式画草图要正视于

选择右上角的点工具

在左下角的细节栏中修改点的定义方式为手动

输入点的坐标

定义好一个点后,更新之后才能定义下一个点

定义好了四个点如图所示

使用 Concept - Lines From Points 连点成线

所有连线如图所示

使用 Concept - Cross Section - Rectangular 定义矩形截面,定义其他截面同理

截面如图所示

在结构树中选择刚刚练好的线体,设置这个线体的截面为刚刚创建好的截面



再点击 View - Cross Section Solids 可以看到线体具有截面的样子


之后看到了原来 dimensions 就是智能尺寸
那么之前就算随便画直线也无所谓了hhh

1.3 分配材料
进入静力学分析模块的 Mesh 环节
结构树如图

给线体分配定义好的材料


1.4 定义单元
插入命令

命令内容为
UNITS,SI
et,matid,link180
SECTYPE,1,link,RECT,,0
SECDATA,0.0001
SECTYPE SECDATA 等命令的使用方法可以查官网
https://ansyshelp.ansys.com/account/secured?returnurl=/Views/Secured/corp/v221/en/ans_cmd/Hlp_C_SECTYPE.html?q=SECTYPE
https://ansyshelp.ansys.com/account/secured?returnurl=/Views/Secured/corp/v221/en/ans_cmd/Hlp_C_SECDATA.html?q=secdata
比如 SECDATA,0.0001 的意义就是 0.0001单位平方 的截面面积

不过这个官网的手册有时候真的啥都查不到……
1.5 划分网格
然后插入一个 Sizing,划分一个边上的网格边界段数

使用框选

框选整个结构

应用

得到的结果应为

这个时候是根据默认的配置分的,我们只希望他是一段段杆,所以把 Sizing 的 Type 改成 Number of Division,数量设为 1,这样一个线段就是一个网格边界



Update Mesh 得到

1.6 定义约束
插入一个位移约束
一个端点的位移约束为三个方向的位移为 0
另一个端点的位移约束为 x 方向自由,另外两个方向的位移为 0






1.7 定义载荷
插入一个力,选择顶点作为受力点,选择竖杆为力的方向




1.8 输出图像
在 Solution 底下添加变形图

得到的变形图为

再在 Solution 底下添加一个命令,命令内容为
/show,png
set,last
etable,ZL1,smisc,1
Plls,ZL1,ZL1
得到轴力图

1.9 不定义单元会出现的错误
因为在 Workbench 使用 APDL 中的命令感觉很碍眼
这样子我就体验不到 Workbench 的可视化优势,又要落入资料极度匮乏的 APDL 的陷阱中
所以我尝试去掉 APDL 定义单元的命令,其他不变,然后求解
得到报错为

再去掉那个求轴力图的命令,报错为

2. 平面梁

2.1 定义材料

2.2 定义几何结构
照例使用 DesignModeler,线体直接就是一条直线
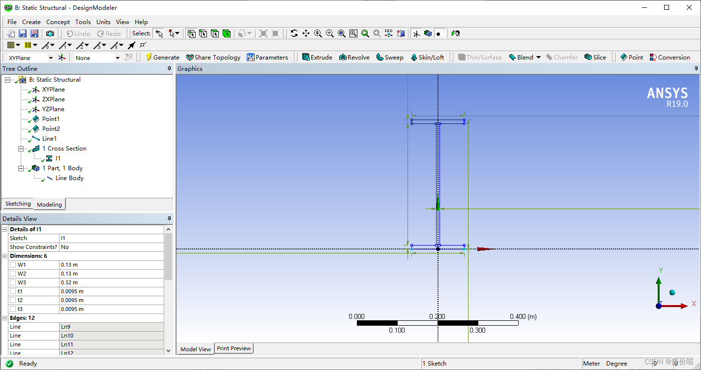
关键是截面,截面选择工字,在详细栏中可以定义它的截面参数
我参照 32a 的标准这么写


照例分配截面

2.3 分配材料

2.4 旋转线体
update mesh 之后会发现这个工字的截面的旋转不对
为了修改截面的旋转角,只能修改线体的旋转角

因此回到 DesignModeler,使用线选模式

一开始没有被选择的线

被选择到的线

被选择的线的详细栏

在其中修改旋转角为 90 度

修改确认之后,可以看到线的法向变了

返回 Meshing,可以看到截面转过来了

2.5 划分中点
为了在中点加力,需要把一条直线划分成两端得到中点
2.6 添加约束和载荷
在中点处添加力

约束和载荷总览

2.7 补充转动约束
若直接求解,会得到跟平面桁架不定义单元类型时一样的报错

我感觉一定有一个方法是不用使用命令的,傻子才研究他没文档的命令
之后我看懂了这个报错了,就说我多了一个转动自由度,所以求解不了
我感觉应该是中点的转动,所以我在中点加了一个 Fixed Rotation,固定住中点的转动

至此求解成功了
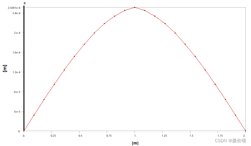
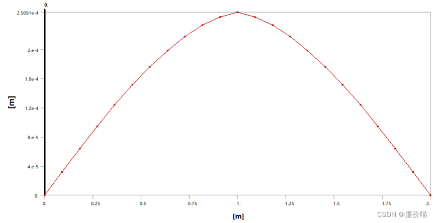
2.8 输出图像
变形图

弯矩图

2.9 平面坐标系中沿中性面的图像
一开始我想用 Chart 的
但是后面不知道怎么他只能以时间为图表 x 轴,不能以空间 x 轴为图表 x 轴
也可以用 user defined result 为图表 x 轴,但是我不会用

所以只好用路径
首先在 Model 底下添加一个 Construction Geometry

然后在 Construction Geometry 下面添加一个 Path

重命名为 Path1

Path 的类型使用两点定义是最自然的


但是后面在弯矩图中选这个类型的 Path,就选不到几何结构,我不知道为什么,看上去是我那里用错了
不管了,总之还有一个 Edge 类型是可以的

定义完 Edge 类型之后,在右侧视图中选择 Line Body 为 Path 的几何结构


然后新建一个弯矩图,把 Scoping Method 改为 Path(新建的图才能修改 Scoping Method,怪)

选择刚刚新建的,重命名为 Path1 的 Path

Update,完成

变形图

图表

弯矩图

图表

实验报告思考题 4:根据 ANSYS 的弯矩图结果,计算梁中点挠度的理论值并与 ANSYS 计算所得中点挠度进行对比,二者相等吗?若不相等,原因是什么?
软件计算的挠度:

截面信息:

弯矩图是一条直线,所以可以使用图乘法
在中点施加竖直向下的 20000N 载荷时,三角形的高为 10000N·m
在中点施加竖直向下的 1N 单位载荷时,三角形的高为 1/2N·m
Delta_1p = 2*1/(EI)*1/2*10000*1*2/3*1/2
= 2*1/(2.2e11*8.1141e-5)*1/2*10000*1*2/3*1/2
= 0.000187
= 1.87e-4m
不相等,因为有限元有误差
(好吧,是我懒得想误差在哪)
本文介绍了如何利用Ansys Workbench进行平面桁架和梁的静力学分析,包括定义材料、几何结构、分配材料、定义单元、划分网格、设定约束和载荷,以及解决分析过程中遇到的问题。通过实例详细解析每个步骤,展示从建模到求解的完整流程。
2141

被折叠的 条评论
为什么被折叠?



