一元线性回归线表达式 h0(x) = a + bx 其中 a为截距,b为斜率

代价函数(lost function)

该公式的主要目的是求出J的最小值,其中的西达0和西达1分别对应一元线性回归表达式中的a和b。


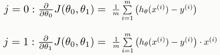
对cost function进行求导,得到上面的两个函数,用来分别求出西达0和西达1的最小值。其中,需要调整的是参数“学习率”。
本文详细解析了一元线性回归的基本概念,包括回归线表达式h0(x)=a+bx,其中a为截距,b为斜率。深入探讨了代价函数(lostfunction)的目的在于求出J的最小值,通过调整参数“学习率”来求导并找到西达0和西达1的最小值。
一元线性回归线表达式 h0(x) = a + bx 其中 a为截距,b为斜率

代价函数(lost function)

该公式的主要目的是求出J的最小值,其中的西达0和西达1分别对应一元线性回归表达式中的a和b。


对cost function进行求导,得到上面的两个函数,用来分别求出西达0和西达1的最小值。其中,需要调整的是参数“学习率”。
686
1251
1076

被折叠的 条评论
为什么被折叠?