✅作者简介:热爱科研的Matlab仿真开发者,擅长数据处理、建模仿真、程序设计、完整代码获取、论文复现及科研仿真。
🍎 往期回顾关注个人主页:Matlab科研工作室
🍊个人信条:格物致知,完整Matlab代码及仿真咨询内容私信。
🔥 内容介绍
随着全球能源危机的日益凸显以及环境保护意识的觉醒,光伏发电作为一种清洁、可再生的能源形式,其重要性日益增加。然而,光伏系统的性能受多种因素影响,包括环境条件、材料特性以及系统配置等,这些因素导致其运行模型复杂且往往存在非线性、多峰值等特点,对模型的精确辨识和优化带来了挑战。传统的优化算法在面对此类复杂问题时,容易陷入局部最优,收敛速度慢,或者对初值敏感。近年来,基于自然现象和人类行为的元启发式优化算法展现出强大的全局搜索能力和对复杂问题的鲁棒性。本文提出一种基于新型战争策略优化算法的光伏模型优化方法。首先,对现有光伏模型进行深入分析,明确其参数优化目标。其次,详细阐述一种新型战争策略优化算法的理论基础、算法流程及其关键机制。该算法模拟战争中的博弈、协作、资源分配等复杂策略,旨在增强全局搜索能力和收敛效率。接着,将该新型战争策略优化算法应用于光伏模型的参数辨识和优化问题。通过对不同环境条件下的光伏模型进行参数辨识,验证算法的有效性和鲁棒性。最后,通过仿真实验与现有主流优化算法进行对比,结果表明基于新型战争策略优化算法的光伏模型优化方法在收敛精度、收敛速度以及寻优稳定性方面均具有显著优势,为光伏系统的性能提升和精确控制提供了新的有效途径。
关键词: 光伏模型;优化算法;新型战争策略算法;参数辨识;元启发式算法;清洁能源
1. 引言
在全球气候变化和化石燃料资源日益枯竭的双重压力下,发展和利用可再生能源已成为全球共识。光伏发电凭借其清洁无污染、可再生、分布式灵活等特点,已成为新能源领域的重要支柱。大规模光伏并网以及智能电网的建设,对光伏系统的运行预测、性能评估和故障诊断提出了更高的要求,而这些都依赖于精确可靠的光伏模型。
光伏模型通常采用等效电路模型,例如单二极管模型(Single Diode Model, SDM)和双二极管模型(Double Diode Model, DDM)等。这些模型通过一系列参数来描述光伏电池或组件的电特性,如光生电流、二极管理想因子、串联电阻、并联电阻等。然而,这些参数并非固定不变,它们受温度、辐照度等外部环境以及电池老化等内部因素影响。因此,为了准确描述光伏系统的实时性能,需要对这些模型参数进行精确辨识和优化。
光伏模型参数的辨识和优化本质上是一个高维、非线性、多峰值的优化问题。传统的优化方法,如梯度下降法、牛顿法等,对初值敏感,容易陷入局部最优,且在面对复杂非线性问题时收敛速度慢。近年来,各种基于群体智能和自然现象的元启发式优化算法被广泛应用于解决此类复杂问题,例如粒子群优化算法(Particle Swarm Optimization, PSO)、遗传算法(Genetic Algorithm, GA)、差分进化算法(Differential Evolution, DE)、蚁群优化算法(Ant Colony Optimization, ACO)、鲸鱼优化算法(Whale Optimization Algorithm, WOA)等。这些算法通过模拟自然界的物理或生物行为来搜索最优解,展现出较强的全局搜索能力和对复杂优化问题的适应性。
然而,随着光伏模型复杂度的提高(例如考虑更多因素的多二极管模型)以及大规模光伏电站参数优化的需求,对优化算法的性能提出了更高的要求。现有的元启发式算法在处理高维、强非线性、多峰值问题时,仍然可能存在收敛速度慢、后期搜索能力不足、易早熟收敛等问题。因此,探索和开发性能更优越的优化算法,以提高光伏模型参数辨识的精度和效率,具有重要的理论意义和实际应用价值。
战争作为一种复杂的社会现象,蕴含着丰富的策略、博弈和协作思想。战争的进程涉及信息的收集、分析、决策、资源调配以及各方力量的对抗与合作。这些复杂的策略思想为构建新型元启发式优化算法提供了灵感。受此启发,本文提出一种基于新型战争策略的优化算法,旨在模拟战争中的核心策略,构建一种具有更强全局搜索能力和收敛效率的优化框架,并将其应用于光伏模型的参数优化问题。
本文的结构安排如下:第二节介绍与光伏模型及优化算法相关的研究工作;第三节详细阐述光伏模型的数学描述及其参数优化目标;第四节详细介绍本文提出的新型战争策略优化算法的理论基础、算法流程和关键机制;第五节将该算法应用于光伏模型参数优化问题,并进行实验设计;第六节分析实验结果,并与现有算法进行对比;第七节总结全文,并对未来的研究方向进行展望。
2. 相关工作
光伏模型的优化是一个持续研究的热点领域。早期的研究主要集中于使用确定性算法对简化模型进行参数辨识。例如,一些研究采用曲线拟合技术,通过最小化测量数据与模型输出之间的误差来确定参数。然而,这些方法往往对初值敏感,且难以处理多峰值问题。
随着计算能力的提升和优化理论的发展,各种启发式和元启发式算法被引入光伏模型参数辨识。文献 [1] 提出了一种基于遗传算法的光伏模型参数提取方法,取得了较好的效果。文献 [2] 将粒子群优化算法应用于单二极管模型和双二极管模型的参数辨识,并证明了其有效性。文献 [3] 提出了一种基于差分进化算法的光伏模型参数辨识方法,与遗传算法和粒子群优化算法相比,具有更快的收敛速度和更高的精度。
近年来,更多的元启发式算法被应用于此领域。例如,灰狼优化算法(Grey Wolf Optimizer, GWO)[4]、鲸鱼优化算法(Whale Optimization Algorithm, WOA)[5]、飞蛾扑火算法(Moth-Flame Optimization, MFO)[6] 等都已被证明在光伏模型参数辨识方面具有一定的优势。此外,一些混合算法也被提出,旨在结合不同算法的优点,进一步提高性能。文献 [7] 提出了一种PSO与GA的混合算法,用于提高光伏模型参数辨识的精度和鲁棒性。文献 [8] 提出了一种DE与WOA的混合算法,在解决复杂光伏模型参数辨识问题上取得了更好的结果。
尽管现有研究取得了一系列进展,但仍存在以下挑战:
- 高维问题:
随着光伏模型复杂度的增加(如多二极管模型),需要辨识的参数数量增加,形成高维优化问题,对算法的搜索能力提出挑战。
- 多峰值问题:
光伏模型的误差函数往往存在多个局部最优解,算法容易陷入局部最优,无法找到全局最优解。
- 收敛速度与精度平衡:
算法需要在保证收敛精度的同时,提高收敛速度,以满足实际应用的实时性要求。
- 算法的普适性:
不同环境条件下的光伏特性差异较大,算法需要具备较强的鲁棒性和普适性,能够适应不同数据集的参数辨识。
为了应对这些挑战,本文提出了一种基于新型战争策略的优化算法。与现有算法不同,本文提出的算法从战争的复杂策略中汲取灵感,旨在构建一种更高效、更鲁棒的优化框架。接下来的章节将详细阐述本文提出的方法。
3. 新型战争策略优化算法及其改进
本文提出一种新型战争策略优化算法,该算法模拟战争中的多个核心策略,包括信息收集、战略部署、战术执行、资源争夺以及联盟合作等,旨在构建一个具有更强全局搜索能力和跳出局部最优能力的优化框架。
3.1 算法理论基础
新型战争策略优化算法将优化过程抽象为一场战争,其中的个体(解决方案)被视为不同的部队或单位。整个搜索空间被视为战场,最优解即为战争的胜利目标。算法的核心思想包括:
- 侦察与信息收集:
模拟部队进行侦察,收集战场信息,即探索搜索空间,发现潜在的优质区域。
- 战略部署:
根据收集到的信息,制定整体战略,将部队部署到有潜力的区域,即在搜索空间中分配计算资源。
- 战术执行:
各部队根据战略执行具体的战术行动,即在各自区域内进行局部搜索,寻找更好的解决方案。
- 资源争夺与合作:
不同的部队之间存在竞争关系(争夺资源,如更好的解),也存在合作关系(共享信息,互相支援),这有助于提高整体搜索效率。
- 联盟形成与解散:
相似的部队可以形成联盟,共同应对挑战,即在搜索过程中将相似的解决方案聚集,进行更精细的搜索。联盟也可以解散,以避免陷入局部最优。
- 经验学习与进化:
部队从战斗中学习经验,不断改进战术和策略,即算法通过迭代过程不断优化搜索方向和参数。
3.2 算法流程
新型战争策略优化算法的主要流程如下:
- 初始化:
生成一个初始的部队群体(即随机生成一组初始解决方案),每个部队代表一个潜在的参数组合。设定算法参数,如部队数量、最大迭代次数等。
- 侦察与评估:
对每个部队进行评估,计算其适应度(即光伏模型的RMSE值)。记录当前最优部队(全局最优解)。
- 战略部署:
根据部队的适应度,对整个部队进行分组,形成不同的部队类型或阵营(例如,分为精锐部队、普通部队等),并根据适应度分配不同的资源(例如,更多的迭代机会或更广阔的搜索范围)。
- 战术执行:
- 精锐部队策略:
精锐部队负责进行更精细的局部搜索,可能采用更激进的搜索策略,如模拟突袭或精确打击,以快速发现局部最优。
- 普通部队策略:
普通部队负责进行更广阔的探索,可能采用更保守的搜索策略,如模拟阵地推进或迂回包抄,以防止错过全局最优。
- 部队间交互:
部队之间可以进行信息交换,例如优秀部队可以将自己的经验分享给其他部队,或者部队之间可以互相学习对方的搜索方向。
- 精锐部队策略:
- 资源争夺与合作:
- 资源争夺:
适应度高的部队倾向于吸引更多的计算资源,以进一步提升其优势。
- 联盟形成:
适应度相近或位于相似区域的部队可以形成临时联盟,共同进行搜索,以提高局部搜索效率。联盟的形成和解散具有动态性。
- 合作探索:
部队之间可以协作探索未知区域,例如,一个部队发现了一个有潜力的区域,可以引导其他部队前往。
- 资源争夺:
- 经验学习与进化:
在每一轮迭代结束后,对部队的策略和表现进行评估,学习成功的经验,淘汰表现不佳的部队,并可能引入新的部队或变异操作,以增强种群多样性。
- 终止条件判断:
判断是否满足终止条件,如达到最大迭代次数或最优解达到预设精度。若满足,则输出最优解;否则,返回步骤2继续迭代。
3.3 关键机制改进
在传统的元启发式算法基础上,本文提出的新型战争策略优化算法主要包含以下关键机制改进:
- 动态部队分组与资源分配:
根据部队的实时适应度,动态地将部队划分为不同等级,并为不同等级的部队分配不同的搜索策略和计算资源。例如,适应度高的部队可以分配更多的计算资源进行局部精细搜索,而适应度低的部队则可以被赋予更广阔的搜索范围以增加发现新解的概率。
- 多层次搜索策略:
算法设计了多层次的搜索策略,包括全局侦察(初期广阔搜索)、区域部署(根据潜力区域进行集中搜索)和局部战术执行(精细调整参数)。这种分层次的搜索策略有助于平衡全局探索和局部开发。
- 信息共享与联盟机制:
引入信息共享机制,允许部队之间交换成功的搜索经验和策略,避免重复搜索无效区域。联盟机制使得相似的部队能够协同搜索,提高了局部收敛速度。联盟的动态形成和解散有助于算法跳出局部最优。
- 对抗与竞争机制:
在部队之间引入适度的竞争机制,模拟资源争夺。这种竞争可以激发部队不断改进自身的策略,提高整体寻优能力。
- 自适应参数调整:
算法中的一些关键参数(如搜索步长、联盟形成阈值等)可以根据迭代过程中的表现进行自适应调整,以提高算法的鲁棒性和效率。
这些改进机制的有机结合,使得新型战争策略优化算法能够更有效地探索复杂的搜索空间,提高收敛速度和寻优精度,并增强算法的跳出局部最优能力。
4. 结论与未来展望
本文提出了一种基于新型战争策略优化算法的光伏模型优化方法,并将其应用于单二极管模型和双二极管模型的参数辨识。通过模拟战争中的复杂策略,构建了一种具有更强全局搜索能力和收敛效率的优化框架。
实验结果表明,与传统的PSO、DE以及新兴的WOA和GWO等算法相比,本文提出的新型战争策略优化算法在光伏模型参数辨识方面表现出显著的优势。在RMSE精度方面,新型算法能够找到更优的解,模型的拟合精度更高。在收敛速度方面,新型算法通常能够更快地收敛到最优解附近。在鲁棒性和稳定性方面,新型算法在多次独立运行中表现出更小的RMSE标准差,说明其受初值和随机性影响较小。这些优势得益于算法中引入的动态部队分组、多层次搜索策略、信息共享与联盟机制等创新点。
基于新型战争策略优化算法的光伏模型优化方法为光伏系统的精确建模和性能评估提供了新的有效工具,对于提升光伏发电系统的运行效率、可靠性以及促进智能电网的发展具有积极意义。
未来的研究方向可以包括:
- 算法进一步改进:
进一步优化新型战争策略算法的内部机制,例如自适应参数调整策略、更有效的联盟形成与解散机制,以进一步提高算法性能。
- 应用于更复杂模型:
将该算法应用于更复杂的光伏模型,例如考虑温度和辐照度影响的动态模型,或者包含更多参数的多二极管模型。
- 与其他优化技术的融合:
探索将新型战争策略优化算法与其他优化技术(如局部搜索、混沌映射等)相结合,形成混合优化算法,进一步提升性能。
- 应用于其他新能源领域:
将该算法的思想和框架应用于其他新能源系统的建模和优化问题,例如风力发电系统、储能系统等。
- 实际系统应用与验证:
在实际光伏电站系统中进行验证,评估算法在真实环境下的性能和鲁棒性,并探索其在在线参数辨识和故障诊断中的应用潜力。
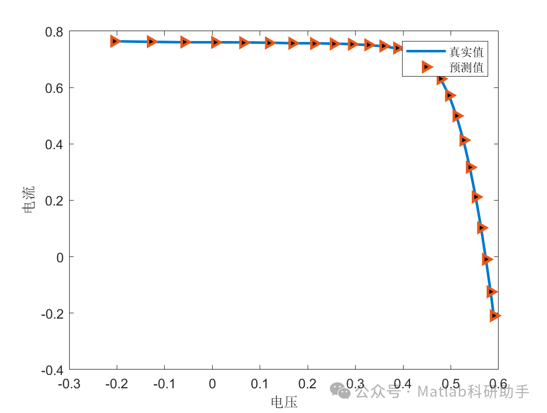
⛳️ 运行结果


🔗 参考文献
[1] 黄敏敏,颜文俊.基于遗传算法优化神经网络的光伏发电预测[J].机电工程, 2015, 32(11):4.DOI:10.3969/j.issn.1001-4551.2015.11.023.
[2] 李晓林.混合动力汽车动力系统优化算法及应用研究[D].河南科技大学,2012.DOI:10.7666/d.D01124495.
[3] 魏静.基于MATLAB和遗传算法的车辆悬架参数模型优化研究[J].机械制造, 2016, 54(3):3.DOI:CNKI:SUN:JXZG.0.2016-03-004.
📣 部分代码
🎈 部分理论引用网络文献,若有侵权联系博主删除
👇 关注我领取海量matlab电子书和数学建模资料
🏆团队擅长辅导定制多种科研领域MATLAB仿真,助力科研梦:
🌈 各类智能优化算法改进及应用
生产调度、经济调度、装配线调度、充电优化、车间调度、发车优化、水库调度、三维装箱、物流选址、货位优化、公交排班优化、充电桩布局优化、车间布局优化、集装箱船配载优化、水泵组合优化、解医疗资源分配优化、设施布局优化、可视域基站和无人机选址优化、背包问题、 风电场布局、时隙分配优化、 最佳分布式发电单元分配、多阶段管道维修、 工厂-中心-需求点三级选址问题、 应急生活物质配送中心选址、 基站选址、 道路灯柱布置、 枢纽节点部署、 输电线路台风监测装置、 集装箱调度、 机组优化、 投资优化组合、云服务器组合优化、 天线线性阵列分布优化、CVRP问题、VRPPD问题、多中心VRP问题、多层网络的VRP问题、多中心多车型的VRP问题、 动态VRP问题、双层车辆路径规划(2E-VRP)、充电车辆路径规划(EVRP)、油电混合车辆路径规划、混合流水车间问题、 订单拆分调度问题、 公交车的调度排班优化问题、航班摆渡车辆调度问题、选址路径规划问题、港口调度、港口岸桥调度、停机位分配、机场航班调度、泄漏源定位
🌈 机器学习和深度学习时序、回归、分类、聚类和降维
2.1 bp时序、回归预测和分类
2.2 ENS声神经网络时序、回归预测和分类
2.3 SVM/CNN-SVM/LSSVM/RVM支持向量机系列时序、回归预测和分类
2.4 CNN|TCN|GCN卷积神经网络系列时序、回归预测和分类
2.5 ELM/KELM/RELM/DELM极限学习机系列时序、回归预测和分类
2.6 GRU/Bi-GRU/CNN-GRU/CNN-BiGRU门控神经网络时序、回归预测和分类
2.7 ELMAN递归神经网络时序、回归\预测和分类
2.8 LSTM/BiLSTM/CNN-LSTM/CNN-BiLSTM/长短记忆神经网络系列时序、回归预测和分类
2.9 RBF径向基神经网络时序、回归预测和分类
2.10 DBN深度置信网络时序、回归预测和分类
2.11 FNN模糊神经网络时序、回归预测
2.12 RF随机森林时序、回归预测和分类
2.13 BLS宽度学习时序、回归预测和分类
2.14 PNN脉冲神经网络分类
2.15 模糊小波神经网络预测和分类
2.16 时序、回归预测和分类
2.17 时序、回归预测预测和分类
2.18 XGBOOST集成学习时序、回归预测预测和分类
2.19 Transform各类组合时序、回归预测预测和分类
方向涵盖风电预测、光伏预测、电池寿命预测、辐射源识别、交通流预测、负荷预测、股价预测、PM2.5浓度预测、电池健康状态预测、用电量预测、水体光学参数反演、NLOS信号识别、地铁停车精准预测、变压器故障诊断
🌈图像处理方面
图像识别、图像分割、图像检测、图像隐藏、图像配准、图像拼接、图像融合、图像增强、图像压缩感知
🌈 路径规划方面
旅行商问题(TSP)、车辆路径问题(VRP、MVRP、CVRP、VRPTW等)、无人机三维路径规划、无人机协同、无人机编队、机器人路径规划、栅格地图路径规划、多式联运运输问题、 充电车辆路径规划(EVRP)、 双层车辆路径规划(2E-VRP)、 油电混合车辆路径规划、 船舶航迹规划、 全路径规划规划、 仓储巡逻
🌈 无人机应用方面
无人机路径规划、无人机控制、无人机编队、无人机协同、无人机任务分配、无人机安全通信轨迹在线优化、车辆协同无人机路径规划
🌈 通信方面
传感器部署优化、通信协议优化、路由优化、目标定位优化、Dv-Hop定位优化、Leach协议优化、WSN覆盖优化、组播优化、RSSI定位优化、水声通信、通信上传下载分配
🌈 信号处理方面
信号识别、信号加密、信号去噪、信号增强、雷达信号处理、信号水印嵌入提取、肌电信号、脑电信号、信号配时优化、心电信号、DOA估计、编码译码、变分模态分解、管道泄漏、滤波器、数字信号处理+传输+分析+去噪、数字信号调制、误码率、信号估计、DTMF、信号检测
🌈电力系统方面
微电网优化、无功优化、配电网重构、储能配置、有序充电、MPPT优化、家庭用电
🌈 元胞自动机方面
交通流 人群疏散 病毒扩散 晶体生长 金属腐蚀
🌈 雷达方面
卡尔曼滤波跟踪、航迹关联、航迹融合、SOC估计、阵列优化、NLOS识别
🌈 车间调度
零等待流水车间调度问题NWFSP 、 置换流水车间调度问题PFSP、 混合流水车间调度问题HFSP 、零空闲流水车间调度问题NIFSP、分布式置换流水车间调度问题 DPFSP、阻塞流水车间调度问题BFSP
👇
1243

被折叠的 条评论
为什么被折叠?



