✅作者简介:热爱科研的Matlab仿真开发者,擅长数据处理、建模仿真、程序设计、完整代码获取、论文复现及科研仿真。
🍎 往期回顾关注个人主页:Matlab科研工作室
🍊个人信条:格物致知,完整Matlab代码及仿真咨询内容私信。
🔥 内容介绍
配电网作为电力系统的重要组成部分,其安全、稳定、经济运行至关重要。然而,配电网面临着日益增长的负荷需求、分布式电源的广泛接入以及频繁发生的故障事件等挑战。传统的确定性配电网重构方法难以有效应对这些随机因素带来的不确定性。本文研究基于SOE(State Estimation with Outlier Elimination,带异常值剔除的状态估计)的随机配电网重构方法,旨在通过实时监测和数据驱动,提高配电网运行的可靠性和经济性。文章首先阐述了随机配电网重构的必要性和意义,分析了SOE在随机配电网重构中的应用优势,然后详细讨论了基于SOE的随机配电网重构模型的建立、求解策略以及算例分析,最后总结了研究成果并展望了未来的发展方向。
关键词: 配电网重构;随机优化;状态估计;异常值剔除;分布式电源;
1. 引言
随着经济的快速发展和能源结构的转型,配电网面临着前所未有的挑战。一方面,用户侧的负荷需求日益增长,且呈现出高度随机性和波动性;另一方面,分布式电源(Distributed Generation, DG),如光伏、风电等,的大规模接入,改变了传统配电网的潮流方向和功率平衡模式,增加了运行的复杂性和不确定性。此外,诸如线路跳闸、设备故障等随机事件的发生,也严重影响配电网的安全性和可靠性。传统的确定性配电网重构方法,主要基于预测的负荷和DG出力,难以应对这些随机因素带来的不确定性,可能导致重构方案的性能下降,甚至危及电网的安全稳定运行。
配电网重构是指在满足一定的约束条件下,通过改变开关状态,调整网络拓扑结构,从而优化配电网的运行性能,例如降低网损、提高电压质量、改善供电可靠性等。随机配电网重构则是在考虑负荷需求、DG出力、故障事件等随机因素的前提下,进行配电网的优化重构。这需要在重构模型中引入概率分布或场景模拟等方法,以描述随机变量的不确定性,并设计有效的求解算法,以获得在不同场景下均具有良好性能的重构方案。
状态估计(State Estimation, SE)作为电力系统运行的核心技术,能够根据实时量测数据,估计电网的运行状态,例如节点电压、线路电流等。然而,由于量测误差、通信干扰、设备故障等因素的影响,状态估计的结果可能包含异常值,严重影响估计的准确性和可靠性。带异常值剔除的状态估计(SOE)则是在传统状态估计的基础上,通过识别和剔除异常量测,提高状态估计的精度和鲁棒性。
因此,将SOE应用于随机配电网重构中,可以有效地解决量测数据异常带来的不确定性,提高重构方案的可靠性和有效性。本文将重点研究基于SOE的随机配电网重构方法,探讨其模型建立、求解策略以及应用效果,为提高配电网的运行效率和可靠性提供理论和技术支持。
2. 基于SOE的随机配电网重构必要性与优势
传统的确定性配电网重构方法忽略了配电网运行中存在的各种不确定性因素,导致其在实际应用中存在以下不足:
- 对负荷预测精度要求高:
确定性重构依赖于准确的负荷预测,然而,配电网负荷具有高度随机性和波动性,精确预测非常困难。预测误差可能导致重构方案无法达到预期的优化效果。
- 对DG出力预测精度要求高:
随着DG的大规模接入,其出力波动对配电网的影响日益显著。确定性重构忽略了DG出力的不确定性,可能导致电压越限、潮流反向等问题。
- 无法应对突发故障:
确定性重构通常基于正常运行状态进行优化,难以应对突发的故障事件。当发生故障时,需要重新计算重构方案,响应速度较慢。
- 难以处理量测数据异常:
确定性重构通常假设量测数据是准确可靠的,忽略了量测误差和异常值的存在。量测数据异常可能导致重构方案的失效。
相比之下,基于SOE的随机配电网重构方法具有以下优势:
- 考虑随机因素:
通过引入概率分布、场景模拟等方法,考虑负荷需求、DG出力、故障事件等随机因素的不确定性,能够获得在不同场景下均具有良好性能的重构方案。
- 提高重构方案的鲁棒性:
通过对随机场景进行优化,能够降低重构方案对负荷预测和DG出力预测的依赖,提高其鲁棒性,使其在实际运行中能够更好地适应不确定性。
- 提高重构方案的响应速度:
基于SOE的随机重构方法可以在离线阶段预先生成多个重构方案,并根据不同的运行场景选择最优方案,从而提高响应速度。
- 提高量测数据利用率:
SOE能够识别和剔除异常量测,提高状态估计的精度和可靠性,进而提高重构方案的有效性。
3. 基于SOE的随机配电网重构模型
基于SOE的随机配电网重构模型通常包括以下几个组成部分:
3.1 目标函数
目标函数是衡量重构方案优劣的标准。常见的配电网重构目标函数包括:
- 网损最小化:
降低配电网运行过程中的功率损耗,提高电能利用效率。
- 电压偏差最小化:
提高配电网的电压质量,保证用户侧的电压稳定。
- 负荷均衡:
优化各条线路的负荷分布,避免线路过载。
- 供电可靠性最大化:
提高配电网的供电可靠性,降低用户停电时间。
3.2 约束条件
配电网重构需要满足一系列的约束条件,包括:
- 潮流约束:
保证配电网的功率潮流满足物理定律,例如节点功率平衡方程、线路潮流约束等。
- 电压约束:
保证配电网各节点的电压在允许范围内。
- 线路容量约束:
保证配电网各线路的电流不超过其额定容量。
- 开关状态约束:
规定开关的动作状态,例如限制开关的动作次数、禁止形成孤岛等。
- 辐射状网络约束:
保证配电网的拓扑结构始终保持辐射状。
3.3 随机变量的建模
随机配电网重构需要对负荷需求、DG出力、故障事件等随机变量进行建模。常见的建模方法包括:
- 概率分布:
使用概率分布函数,如正态分布、Beta分布等,描述随机变量的分布规律。
- 场景模拟:
通过蒙特卡洛模拟等方法,生成多个场景,代表随机变量的不同取值。
- 区间数:
使用区间数表示随机变量的取值范围。
3.4 SOE模型的建立
SOE模型是在传统状态估计模型的基础上,引入了异常值剔除机制。常见的SOE模型包括:
- 加权最小二乘法(Weighted Least Squares, WLS):
通过调整量测的权重,降低异常量测的影响。
- 最小绝对值法(Least Absolute Value, LAV):
使用绝对值作为误差度量,对异常值具有较好的鲁棒性。
- M估计法(M-estimation):
使用特殊的加权函数,对异常值进行抑制。
- 假设检验法:
通过假设检验的方法,识别和剔除异常量测。
SOE模型通常需要解决以下问题:
- 异常值的识别:
如何有效地识别出异常量测?
- 异常值的剔除:
如何剔除异常量测,而不影响状态估计的精度?
- 计算效率:
如何提高SOE模型的计算效率,使其能够满足实时运行的需求?
3.5 基于SOE的随机配电网重构模型的整合
将SOE模型与随机配电网重构模型进行整合,需要考虑以下几个方面:
- SOE模型的应用场景:
SOE模型可以应用于离线阶段,对历史量测数据进行处理,提高历史数据的质量;也可以应用于在线阶段,对实时量测数据进行处理,提高状态估计的精度。
- SOE模型与重构模型的交互:
SOE模型可以为重构模型提供更准确的状态估计结果,重构模型可以为SOE模型提供更好的网络拓扑结构。
- 计算效率:
整合后的模型需要保持较高的计算效率,才能满足实际应用的需求。
4. 基于SOE的随机配电网重构求解策略
基于SOE的随机配电网重构模型是一个复杂的优化问题,需要设计有效的求解策略才能获得高质量的解。常见的求解策略包括:
- 数学规划方法:
使用线性规划、非线性规划、混合整数规划等方法对模型进行求解。常见的求解器包括CPLEX、Gurobi等。
- 智能优化算法:
使用遗传算法、粒子群优化算法、模拟退火算法等智能优化算法对模型进行求解。
- 分解协调方法:
将模型分解为多个子问题,分别求解,并通过协调机制实现整体优化。
在选择求解策略时,需要综合考虑模型的复杂程度、求解精度和计算效率等因素。对于大规模的随机配电网重构问题,通常需要采用分解协调方法或智能优化算法,以提高求解效率。
5. 算例分析
为了验证基于SOE的随机配电网重构方法的有效性,可以采用标准的配电网测试系统,例如IEEE 33节点系统、IEEE 69节点系统等,进行算例分析。
算例分析的内容通常包括:
- 参数设置:
设置配电网的参数,例如节点电压、线路阻抗、负荷需求、DG出力等。
- 场景生成:
通过概率分布或场景模拟等方法,生成多个随机场景。
- 模型求解:
使用不同的求解策略对模型进行求解。
- 结果分析:
对比不同重构方案的性能,分析SOE对重构方案的影响。
通过算例分析,可以验证基于SOE的随机配电网重构方法在降低网损、提高电压质量、改善供电可靠性等方面的优势。
6. 结论与展望
本文研究了基于SOE的随机配电网重构方法,阐述了其必要性和优势,详细讨论了模型的建立、求解策略以及算例分析。研究结果表明,基于SOE的随机配电网重构方法能够有效地应对配电网运行中存在的各种不确定性因素,提高重构方案的鲁棒性和有效性。
未来的研究方向包括:
- 更精确的随机变量建模:
研究更精确的随机变量建模方法,例如copula函数、随机过程等,提高模型的精度。
- 更高效的求解算法:
研究更高效的求解算法,例如并行计算、分布式优化等,提高求解效率。
- 考虑多种目标函数的综合优化:
研究考虑多种目标函数的综合优化方法,例如目标规划、模糊优化等,提高重构方案的综合性能。
- 基于大数据和人工智能的重构方法:
研究基于大数据和人工智能的重构方法,例如机器学习、深度学习等,提高重构的智能化水平。
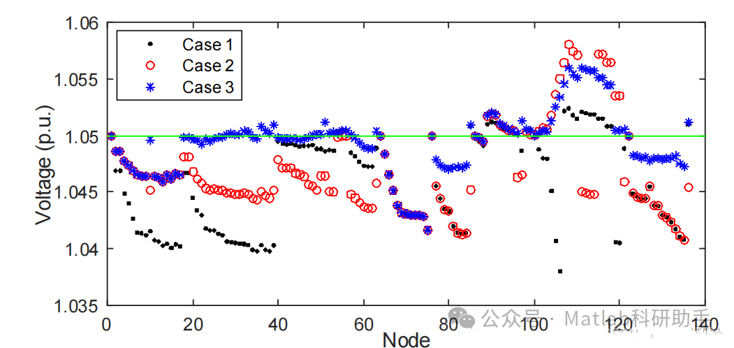
⛳️ 运行结果


🔗 参考文献
[1] 陈刚,张勇,王瑞,等.基于BP算法的逆变点焊电源模糊神经网络控制研究[C]//陕西省焊接学术会议.0[2025-03-18].DOI:ConferenceArticle/5aa2a074c095d72220a5f235.
[2] 王海峰.纯电动汽车锂动力电池能量状态估算算法研究[D].吉林大学,2012.
📣 部分代码
🎈 部分理论引用网络文献,若有侵权联系博主删除
👇 关注我领取海量matlab电子书和数学建模资料
🏆团队擅长辅导定制多种科研领域MATLAB仿真,助力科研梦:
🌈 各类智能优化算法改进及应用
生产调度、经济调度、装配线调度、充电优化、车间调度、发车优化、水库调度、三维装箱、物流选址、货位优化、公交排班优化、充电桩布局优化、车间布局优化、集装箱船配载优化、水泵组合优化、解医疗资源分配优化、设施布局优化、可视域基站和无人机选址优化、背包问题、 风电场布局、时隙分配优化、 最佳分布式发电单元分配、多阶段管道维修、 工厂-中心-需求点三级选址问题、 应急生活物质配送中心选址、 基站选址、 道路灯柱布置、 枢纽节点部署、 输电线路台风监测装置、 集装箱调度、 机组优化、 投资优化组合、云服务器组合优化、 天线线性阵列分布优化、CVRP问题、VRPPD问题、多中心VRP问题、多层网络的VRP问题、多中心多车型的VRP问题、 动态VRP问题、双层车辆路径规划(2E-VRP)、充电车辆路径规划(EVRP)、油电混合车辆路径规划、混合流水车间问题、 订单拆分调度问题、 公交车的调度排班优化问题、航班摆渡车辆调度问题、选址路径规划问题、港口调度、港口岸桥调度、停机位分配、机场航班调度、泄漏源定位
🌈 机器学习和深度学习时序、回归、分类、聚类和降维
2.1 bp时序、回归预测和分类
2.2 ENS声神经网络时序、回归预测和分类
2.3 SVM/CNN-SVM/LSSVM/RVM支持向量机系列时序、回归预测和分类
2.4 CNN|TCN|GCN卷积神经网络系列时序、回归预测和分类
2.5 ELM/KELM/RELM/DELM极限学习机系列时序、回归预测和分类
2.6 GRU/Bi-GRU/CNN-GRU/CNN-BiGRU门控神经网络时序、回归预测和分类
2.7 ELMAN递归神经网络时序、回归\预测和分类
2.8 LSTM/BiLSTM/CNN-LSTM/CNN-BiLSTM/长短记忆神经网络系列时序、回归预测和分类
2.9 RBF径向基神经网络时序、回归预测和分类
2.10 DBN深度置信网络时序、回归预测和分类
2.11 FNN模糊神经网络时序、回归预测
2.12 RF随机森林时序、回归预测和分类
2.13 BLS宽度学习时序、回归预测和分类
2.14 PNN脉冲神经网络分类
2.15 模糊小波神经网络预测和分类
2.16 时序、回归预测和分类
2.17 时序、回归预测预测和分类
2.18 XGBOOST集成学习时序、回归预测预测和分类
2.19 Transform各类组合时序、回归预测预测和分类
方向涵盖风电预测、光伏预测、电池寿命预测、辐射源识别、交通流预测、负荷预测、股价预测、PM2.5浓度预测、电池健康状态预测、用电量预测、水体光学参数反演、NLOS信号识别、地铁停车精准预测、变压器故障诊断
🌈图像处理方面
图像识别、图像分割、图像检测、图像隐藏、图像配准、图像拼接、图像融合、图像增强、图像压缩感知
🌈 路径规划方面
旅行商问题(TSP)、车辆路径问题(VRP、MVRP、CVRP、VRPTW等)、无人机三维路径规划、无人机协同、无人机编队、机器人路径规划、栅格地图路径规划、多式联运运输问题、 充电车辆路径规划(EVRP)、 双层车辆路径规划(2E-VRP)、 油电混合车辆路径规划、 船舶航迹规划、 全路径规划规划、 仓储巡逻
🌈 无人机应用方面
无人机路径规划、无人机控制、无人机编队、无人机协同、无人机任务分配、无人机安全通信轨迹在线优化、车辆协同无人机路径规划
🌈 通信方面
传感器部署优化、通信协议优化、路由优化、目标定位优化、Dv-Hop定位优化、Leach协议优化、WSN覆盖优化、组播优化、RSSI定位优化、水声通信、通信上传下载分配
🌈 信号处理方面
信号识别、信号加密、信号去噪、信号增强、雷达信号处理、信号水印嵌入提取、肌电信号、脑电信号、信号配时优化、心电信号、DOA估计、编码译码、变分模态分解、管道泄漏、滤波器、数字信号处理+传输+分析+去噪、数字信号调制、误码率、信号估计、DTMF、信号检测
🌈电力系统方面
微电网优化、无功优化、配电网重构、储能配置、有序充电、MPPT优化、家庭用电
🌈 元胞自动机方面
交通流 人群疏散 病毒扩散 晶体生长 金属腐蚀
🌈 雷达方面
卡尔曼滤波跟踪、航迹关联、航迹融合、SOC估计、阵列优化、NLOS识别
🌈 车间调度
零等待流水车间调度问题NWFSP 、 置换流水车间调度问题PFSP、 混合流水车间调度问题HFSP 、零空闲流水车间调度问题NIFSP、分布式置换流水车间调度问题 DPFSP、阻塞流水车间调度问题BFSP
👇
基于SOE的随机配电网重构研究
447

被折叠的 条评论
为什么被折叠?



