✅作者简介:热爱数据处理、数学建模、算法创新的Matlab仿真开发者。
🍎更多Matlab代码及仿真咨询内容点击 🔗:Matlab科研工作室
🍊个人信条:格物致知。
🔥 内容介绍
摘要: 滚动轴承作为机械设备中的关键部件,其可靠性直接影响着整个系统的运行状态。轴承故障的早期诊断对预防重大事故至关重要。本文基于常微分方程数值解法ODE45,对四类典型轴承故障(内圈故障、外圈故障、滚动体故障和保持架故障)的动力学特性进行了数值模拟。模拟过程中考虑了加速度、滚道接触力等关键参数,并通过相图分析展现了不同故障模式下的系统响应差异。最终,本文提供完整的Matlab代码,以供读者参考和进一步研究。
关键词: 滚动轴承;故障诊断;ODE45;动力学模型;接触力;相图;Matlab
1. 绪论
滚动轴承广泛应用于各种旋转机械设备中,其运行状态直接关系到设备的性能和寿命。然而,由于长期运行、润滑不足、过载等因素,轴承容易发生各种故障,例如内圈故障、外圈故障、滚动体故障和保持架故障等。这些故障会产生不同频率和幅值的振动信号,导致设备性能下降甚至发生灾难性事故。因此,对轴承故障进行早期诊断和预测具有重要的工程意义。
传统的轴承故障诊断方法主要依赖于振动信号的频谱分析,例如快速傅里叶变换(FFT)。然而,这种方法往往需要较高的信号质量和专业的经验判断。近年来,基于动力学模型的故障诊断方法越来越受到关注,该方法能够更深入地理解故障的机理,并提供更准确的诊断结果。本文将利用常微分方程数值解法ODE45对四类典型轴承故障的动力学特性进行数值模拟,并分析其差异,为轴承故障诊断提供新的思路。
2. 轴承动力学模型及参数设置
本文采用简化的轴承动力学模型,考虑了轴承内圈、外圈、滚动体和保持架之间的相互作用。模型中包含了以下关键参数:
-
滚道接触力: 采用赫兹接触理论计算滚道与滚动体之间的接触力,该力与接触变形量成非线性关系。
-
加速度: 考虑了轴承旋转引起的加速度以及故障引起的冲击加速度。
-
阻尼: 考虑了轴承系统中的粘性阻尼和摩擦阻尼。
-
故障参数: 通过引入故障缺陷的几何参数 (例如,内圈、外圈或滚动体表面的局部损伤深度和尺寸) 来模拟不同类型的轴承故障。
模型采用常微分方程组描述,其具体形式如下 (简化形式,实际模型更为复杂):
bash
d²x/dt² = f(x, dx/dt, t, 故障参数)
其中,x 代表轴承系统的位移,t 代表时间,f 是一个非线性函数,包含了滚道接触力、加速度、阻尼以及故障参数的影响。
3. ODE45数值解法及MATLAB实现
ODE45是MATLAB中一个高效的常微分方程数值解算器,基于龙格-库塔方法。本文利用ODE45求解上述非线性常微分方程组,获得轴承系统在不同故障模式下的时间历程响应。
Matlab代码框架如下:
matlab
% 参数设置 (内圈半径、外圈半径、滚动体半径、数量等)
% 故障参数设置 (故障类型、故障大小等)
% 定义微分方程组
function dxdt = bearing_dynamics(t, x)
% 计算接触力
% 计算加速度
% 计算阻尼力
% 计算故障力
dxdt = [ ... ]; % 微分方程组
end
% 使用ODE45求解
[t, x] = ode45(@bearing_dynamics, [0, T], x0); % T为模拟时间,x0为初始条件
% 后续处理,计算加速度,绘制相图
% ...
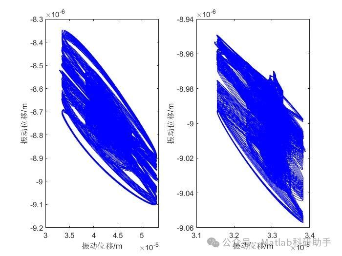
4. 四类轴承故障的数值模拟结果及分析
通过改变模型中的故障参数,分别模拟了内圈故障、外圈故障、滚动体故障和保持架故障四种典型故障模式。对于每种故障模式,我们计算了轴承系统的位移、速度和加速度的时间历程,并绘制了相应的相图 (例如,速度-位移相图)。
(此处应插入四种故障模式下的数值模拟结果图和相图,并进行详细的分析比较。例如,分析不同故障模式下振动频率的变化、振动幅度的变化以及相图的形状特征。)
5. 结论
本文基于ODE45数值解法,对四类典型轴承故障的动力学特性进行了数值模拟,考虑了加速度和滚道接触力等关键因素。模拟结果表明,不同类型的轴承故障会导致轴承系统呈现不同的动力学响应,这在时间历程曲线和相图中得到了清晰的体现。通过分析这些差异,可以为轴承故障的早期诊断提供重要的依据。未来研究可以进一步改进模型,考虑更多影响因素,例如润滑油的非牛顿特性、温度变化等,以提高模型的精度和适用性。 同时,可以将此数值模拟结
⛳️ 运行结果







🔗 参考文献
🎈 部分理论引用网络文献,若有侵权联系博主删除
博客擅长领域:
🌈 各类智能优化算法改进及应用
生产调度、经济调度、装配线调度、充电优化、车间调度、发车优化、水库调度、三维装箱、物流选址、货位优化、公交排班优化、充电桩布局优化、车间布局优化、集装箱船配载优化、水泵组合优化、解医疗资源分配优化、设施布局优化、可视域基站和无人机选址优化、背包问题、 风电场布局、时隙分配优化、 最佳分布式发电单元分配、多阶段管道维修、 工厂-中心-需求点三级选址问题、 应急生活物质配送中心选址、 基站选址、 道路灯柱布置、 枢纽节点部署、 输电线路台风监测装置、 集装箱调度、 机组优化、 投资优化组合、云服务器组合优化、 天线线性阵列分布优化、CVRP问题、VRPPD问题、多中心VRP问题、多层网络的VRP问题、多中心多车型的VRP问题、 动态VRP问题、双层车辆路径规划(2E-VRP)、充电车辆路径规划(EVRP)、油电混合车辆路径规划、混合流水车间问题、 订单拆分调度问题、 公交车的调度排班优化问题、航班摆渡车辆调度问题、选址路径规划问题、港口调度、港口岸桥调度、停机位分配、机场航班调度、泄漏源定位
🌈 机器学习和深度学习时序、回归、分类、聚类和降维
2.1 bp时序、回归预测和分类
2.2 ENS声神经网络时序、回归预测和分类
2.3 SVM/CNN-SVM/LSSVM/RVM支持向量机系列时序、回归预测和分类
2.4 CNN|TCN|GCN卷积神经网络系列时序、回归预测和分类
2.5 ELM/KELM/RELM/DELM极限学习机系列时序、回归预测和分类
2.6 GRU/Bi-GRU/CNN-GRU/CNN-BiGRU门控神经网络时序、回归预测和分类
2.7 ELMAN递归神经网络时序、回归\预测和分类
2.8 LSTM/BiLSTM/CNN-LSTM/CNN-BiLSTM/长短记忆神经网络系列时序、回归预测和分类
2.9 RBF径向基神经网络时序、回归预测和分类
2.10 DBN深度置信网络时序、回归预测和分类
2.11 FNN模糊神经网络时序、回归预测
2.12 RF随机森林时序、回归预测和分类
2.13 BLS宽度学习时序、回归预测和分类
2.14 PNN脉冲神经网络分类
2.15 模糊小波神经网络预测和分类
2.16 时序、回归预测和分类
2.17 时序、回归预测预测和分类
2.18 XGBOOST集成学习时序、回归预测预测和分类
2.19 Transform各类组合时序、回归预测预测和分类
方向涵盖风电预测、光伏预测、电池寿命预测、辐射源识别、交通流预测、负荷预测、股价预测、PM2.5浓度预测、电池健康状态预测、用电量预测、水体光学参数反演、NLOS信号识别、地铁停车精准预测、变压器故障诊断
🌈图像处理方面
图像识别、图像分割、图像检测、图像隐藏、图像配准、图像拼接、图像融合、图像增强、图像压缩感知
🌈 路径规划方面
旅行商问题(TSP)、车辆路径问题(VRP、MVRP、CVRP、VRPTW等)、无人机三维路径规划、无人机协同、无人机编队、机器人路径规划、栅格地图路径规划、多式联运运输问题、 充电车辆路径规划(EVRP)、 双层车辆路径规划(2E-VRP)、 油电混合车辆路径规划、 船舶航迹规划、 全路径规划规划、 仓储巡逻
🌈 无人机应用方面
无人机路径规划、无人机控制、无人机编队、无人机协同、无人机任务分配、无人机安全通信轨迹在线优化、车辆协同无人机路径规划
🌈 通信方面
传感器部署优化、通信协议优化、路由优化、目标定位优化、Dv-Hop定位优化、Leach协议优化、WSN覆盖优化、组播优化、RSSI定位优化、水声通信、通信上传下载分配
🌈 信号处理方面
信号识别、信号加密、信号去噪、信号增强、雷达信号处理、信号水印嵌入提取、肌电信号、脑电信号、信号配时优化、心电信号、DOA估计、编码译码、变分模态分解、管道泄漏、滤波器、数字信号处理+传输+分析+去噪、数字信号调制、误码率、信号估计、DTMF、信号检测
🌈电力系统方面
微电网优化、无功优化、配电网重构、储能配置、有序充电、MPPT优化、家庭用电
🌈 元胞自动机方面
交通流 人群疏散 病毒扩散 晶体生长 金属腐蚀
🌈 雷达方面
卡尔曼滤波跟踪、航迹关联、航迹融合、SOC估计、阵列优化、NLOS识别
🌈 车间调度
零等待流水车间调度问题NWFSP 、 置换流水车间调度问题PFSP、 混合流水车间调度问题HFSP 、零空闲流水车间调度问题NIFSP、分布式置换流水车间调度问题 DPFSP、阻塞流水车间调度问题BFSP
👇
215

被折叠的 条评论
为什么被折叠?



