一、引言
DCT变换的全称是离散余弦变换(Discrete Cosine Transform),主要用于将数据或图像的压缩,能够将空域的信号转换到频域上,具有良好的去相关性的性能。DCT变换本身是无损的,但是在图像编码等领域给接下来的量化、哈弗曼编码等创造了很好的条件,同时,由于DCT变换时对称的,所以,我们可以在量化编码后利用DCT反变换,在接收端恢复原始的图像信息。DCT变换在当前的图像分析已经压缩领域有着极为广大的用途,我们常见的JPEG静态图像编码以及MJPEG、MPEG动态编码等标准中都使用了DCT变换。
二、一维DCT变换
一维DCT变换时二维DCT变换的基础,所以我们先来讨论下一维DCT变换。一维DCT变换共有8种形式,其中最常用的是第二种形式,由于其运算简单、适用范围广。我们在这里只讨论这种形式,其表达式如下:

其中,f(i)为原始的信号,F(u)是DCT变换后的系数,N为原始信号的点数,c(u)可以认为是一个补偿系数,可以使DCT变换矩阵为正交矩阵。
三、二维DCT变换
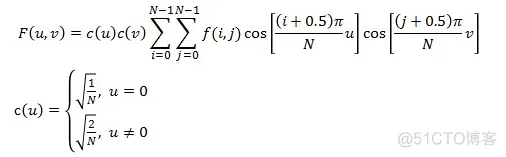
二维DCT变换其实是在一维DCT变换的基础上在做了一次DCT变换,其公式如下:

由公式我们可以看出,上面只讨论了二维图像数据为方阵的情况,在实际应用中,如果不是方阵的数据一般都是补齐之后再做变换的,重构之后可以去掉补齐的部分,得到原始的图像信息,这个尝试一下,应该比较容易理解。
另外,由于DCT变换高度的对称性,在使用Matlab进行相关的运算时,我们可以使用更简单的矩阵处理方式:





3180

被折叠的 条评论
为什么被折叠?



