1 简介
为了解决因花授粉算法搜索方程存在的不足所导致的易早熟、后期收敛速度慢和寻优精度低的问题,提出了一种新授粉方式的花授粉算法(Flower Pollination Algorithm with New pollination Methods,NMFPA)。该算法把惯性权重和两组随机个体差异矢量融入到全局搜索,组成新的全局授粉,以保持种群的差异性,提高算法的全局探索能力;利用信息共享机制与两种新的变异策略构建新局部授粉策略,增强算法的局部开发能力;为了减少个体进化的盲目性,提高算法的收敛速度和精度,采用基于高斯变异的最优个体来引导其他种群个体的进化方向,并且引入非均匀变异机制增加种群的多样性,避免算法易陷入局部极值点,提升算法的全局优化性能。在22个测试函数上进行数值仿真实验,实验结果和统计分析验证了新算法较标准FPA算法,在收敛精度和速度上有明显提升,且能够较好地解决早熟问题。此外,与已有改进的FPA算法从多角度进行对比分析,实验结果表明改进算法是一种富有竞争力的新算法。同时,运用NMFPA算法求解置换流水车间调度问题,实验结果验证了新算法用于解决实际工程问题是可行的,且具有一定的优势。








2 部分代码
%%%%%%%%%%%%%%%%%%%%%%%%%%%%%%%%%%%%%%%%%%%%%%%%%%%%%%%%%%
%%%Flower Pollination Algorithm for Multimodal Optimization (MFPA)
%Jorge G醠vez, Erik Cuevas and Omar Avalos
%%This is the line to execute the code:
%%[mem,bestSol,bestFit,optima,FunctionCalls]=FPA([50 0.25 500 2]);
%FitFunc implements the function to be optimized
%%%%%%%%%%%%%%%%%%%%%%%%%%%%%%%%%%%%%%%%%%%%%%%%%%%%%%%%%%
function [mem,bestSol,bestFit,optima,FunctionCalls]=FPA(para)
% Default parameters
if nargin<1,
para=[50 0.25 500];
end
n=para(1); % Population size
p=para(2); % Probabibility switch
N_iter=para (3); % Number of iterations
phase = 1; %First state
phaseIte= [0.5,0.9,1.01]; %State vector
%Deb Function
d = 1;
Lb = 0;
Ub = 1;
optima = [.1;.3;.5;.7;.9];
% Initialize the population
for i=1:n,
Sol(i,:)=Lb+(Ub-Lb).*rand(1,d);
Fitness(i)=fitFunc(Sol(i,:)); %%Evaluate fitness function
end
% Initialice the memory
[mem,bestSol,bestFit,worstF] = memUpdate(Sol,Fitness, [], zeros(1,d), 100000000, 0, phase,d,Ub,Lb);
S = Sol;
FunctionCalls = 0;
% Main Loop
for ite = 1 : N_iter,
%For each pollen gamete, modify each position acoording
%to local or global pollination
for i = 1 : n,
% Switch probability
if rand>p,
L=Levy(d);
dS=L.*(Sol(i,:)-bestSol);
S(i,:)=Sol(i,:)+dS;
S(i,:)=simplebounds(S(i,:),Lb,Ub);
else
epsilon=rand;
% Find random flowers in the neighbourhood
JK=randperm(n);
% As they are random, the first two entries also random
% If the flower are the same or similar species, then
% they can be pollenated, otherwise, no action.
% Formula: x_i^{t+1}+epsilon*(x_j^t-x_k^t)
S(i,:)=S(i,:)+epsilon*(Sol(JK(1),:)-Sol(JK(2),:));
% Check if the simple limits/bounds are OK
S(i,:)=simplebounds(S(i,:),Lb,Ub);
end
Fitness(i)=fitFunc(S(i,:));
end
%Update the memory
[mem,bestSol,bestFit,worstF] = memUpdate(S,Fitness,mem,bestSol,bestFit,worstF,phase,d,Ub,Lb);
Sol = get_best_nest(S, mem, p);
FunctionCalls = FunctionCalls + n;
if ite/N_iter > phaseIte(phase)
%Next evolutionary process stage
phase = phase + 1;
[m,~]=size(mem);
%Depurate the memory for each stage
mem = cleanMemory(mem);
FunctionCalls = FunctionCalls + m;
end
end
%Plot the solutions (mem) founded by the multimodal framework
x = 0:.01:1;
y = ((sin(5.*pi.*x)).^ 6);
plot(x,y)
hold on
plot(mem(:,1),-mem(:,2),'r*');
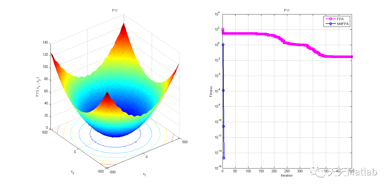
3 仿真结果


4 参考文献
[1]段艳明,肖辉辉,林芳.新授粉方式的花授粉算法[J].计算机工程与应用,2018,54(23):94-108.
博主简介:擅长智能优化算法、神经网络预测、信号处理、元胞自动机、图像处理、路径规划、无人机等多种领域的Matlab仿真,相关matlab代码问题可私信交流。
部分理论引用网络文献,若有侵权联系博主删除。
105

被折叠的 条评论
为什么被折叠?



