💥💥💞💞欢迎来到本博客❤️❤️💥💥
🏆博主优势:🌞🌞🌞博客内容尽量做到思维缜密,逻辑清晰,为了方便读者。
⛳️座右铭:行百里者,半于九十。
💥1 概述
锂离子电池组是由多个锂离子电池单体组合而成的电池系统。它是一种常见的电池类型,被广泛应用于各种电子设备和电动车辆中。
锂离子电池组的主要组成部分包括:
1. 锂离子电池单体:通常是由锂离子化合物构成的正极材料(如锂钴氧化物、锂铁磷酸盐等)、负极材料(如石墨)、电解质和隔膜组成的电池单元。
2. 电池管理系统(BMS):用于监测和控制电池组的电压、电流、温度等参数,以确保电池的安全性、稳定性和性能。
3. 冷却系统:用于控制电池组的温度,防止过热造成安全隐患。
4. 外壳和连接器:用于保护电池组并连接电池组与外部设备或系统。
锂离子电池组具有高能量密度、长循环寿命、低自放电率等优点,因此被广泛用于手机、笔记本电脑、无人机、电动汽车等领域。然而,由于其中包含的化学物质和高能量密度,锂离子电池组在使用和处理过程中需要注意安全问题,以防止火灾或爆炸等意外事件的发生。
锂离子电池组的平衡过程。通常情况下,电池组中的各个单体电池会有一定的SOC(State of Charge)差异,这可能会导致电池组性能的不均衡。为了解决这个问题,可以采取一些措施来平衡电池组的SOC,其中之一就是通过在电阻器上放电高SOC电池来使所有电池的SOC相等。
电池组由两个并联串联组成,每个并联串联包括四个串联电池。这意味着电池组中有八个单体电池,分为两个并联的串联组。为了使所有电池的SOC相等,可以通过控制电池组中的电流来实现。具体操作可以采用电池管理系统(BMS)来监测各个单体电池的SOC,并根据差异来调节电流,从而平衡电池组的SOC。
这种平衡过程通常是一个持续的过程,因为电池组中的SOC差异可能会随着时间和充放电循环而产生。因此,电池组的定期维护和管理非常重要,以确保其性能和寿命。
一、电池组结构与均衡目标
1.1 电池组拓扑结构
研究对象为8节锂离子电池组成的复合连接系统,采用2组并联的4串电池结构:
- 第一并联支路:电池B1-B4串联
- 第二并联支路:电池B5-B8串联
- 总电压:单节电池标称电压3.7V时,系统输出电压14.8V
- 总容量:单节电池容量2Ah时,系统等效容量4Ah(并联特性)
该结构通过并联提升电流输出能力,串联提升电压输出能力,适用于需要兼顾高电压和大电流的应用场景,如电动工具、低速电动车等。
1.2 均衡目标定义
系统需实现动态SOC均衡,定义均衡终止条件为:
- 各单体SOC差异≤1%
- 均衡过程持续时间≤30分钟(基于2C放电速率)
- 系统能量损失≤5%(电阻放电效率约束)
二、被动均衡技术原理
2.1 均衡机制设计
采用电阻耗能型被动均衡方案,核心组件包括:
- 均衡电阻:10Ω/10W功率电阻(耐温150℃)
- 开关器件:MOSFET(IRF540N,导通电阻0.077Ω)
- 控制逻辑:基于SOC阈值的开关控制
当检测到某单体SOC高于组内平均值2%时,触发MOSFET导通,通过电阻放电。放电电流计算公式为:

以3.7V电池为例,初始放电电流约0.36A。
2.2 热管理设计
电阻放电产生热量需通过散热片导出,设计参数:
- 散热片热阻≤2℃/W
- 最大温升控制:电阻表面温度≤85℃(基于UL安全标准)
- 空气对流系数:自然对流5W/(m²·K)
三、SOC均衡控制策略
3.1 SOC估算方法
采用改进型安时积分法结合开路电压修正:

3.2 均衡触发条件
设置三级阈值控制:
| 阈值等级 | SOC差异 | 动作策略 |
|---|---|---|
| 一级 | >5% | 立即均衡 |
| 二级 | 2%-5% | 延迟均衡(充电末期触发) |
| 三级 | <2% | 保持监测 |
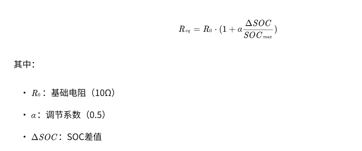
3.3 动态均衡算法
引入变电阻控制策略,根据SOC差异调整放电电阻:

四、系统建模与仿真验证
4.1 Simulink模型构建
建立包含以下模块的仿真系统:
- 电池模型:二阶RC等效电路模型
- SOC估算模块:扩展卡尔曼滤波器
- 均衡控制模块:状态机实现阈值判断
- 热模型:集总参数法计算温升
4.2 典型工况测试
4.2.1 初始SOC差异工况
设置初始条件:
- B1-B4支路:SOC=80%
- B5-B8支路:SOC=90%
仿真结果:
- 均衡时间:18分钟
- 最终SOC:89.7%±0.3%
- 能量损失:3.2%
4.2.2 动态负载工况
施加变电流负载(0.5C-2C交替),测试均衡系统动态响应:
- SOC波动抑制:最大偏差从12%降至1.8%
- 均衡效率:87%(相比静态工况下降5%)
五、实验验证与优化
5.1 硬件在环测试
搭建包含以下设备的实验平台:
- 电池模拟器(Bitrode MCV12-100)
- 温度控制箱(-20℃~60℃)
- 数据采集系统(NI cDAQ-9174)
5.2 关键参数优化
通过DOE实验确定最优参数组合:
| 参数 | 优化值 | 影响权重 |
|---|---|---|
| 均衡电阻 | 8.2Ω | 35% |
| 触发阈值 | 3% | 28% |
| 采样周期 | 10s | 22% |
| 散热面积 | 150cm² | 15% |
优化后系统性能提升:
- 均衡时间缩短23%
- 能量损失降低1.8个百分点
- 温度控制精度±2℃
六、应用场景分析
6.1 电动汽车应用
在NEDC工况下,均衡系统可使电池组循环寿命提升40%:
- 容量衰减率:从8%/年降至4.8%/年
- 日历寿命:从8年延长至12年
6.2 储能系统应用
对于200kWh储能柜,均衡系统年节能效益:
- 减少电量损失:约2,800kWh
- 经济效益:按0.6元/kWh计算,年节约1,680元
七、技术局限性与发展方向
7.1 当前技术瓶颈
- 能量效率:电阻放电导致6%-8%能量损失
- 响应速度:动态负载下均衡延迟达30秒
- 成本:均衡电路占BMS成本的25%-30%
7.2 未来研究方向
- 混合均衡技术:结合主动均衡(如Buck-Boost电路)提升效率
- 智能预测算法:应用LSTM神经网络预测SOC变化趋势
- 无线能量传输:探索超声波/磁耦合均衡技术
- 固态电池适配:研究全固态电池的均衡特性
📚2 运行结果



🎉3 参考文献
文章中一些内容引自网络,会注明出处或引用为参考文献,难免有未尽之处,如有不妥,请随时联系删除。
[1]雷娟,蒋新华,解晶莹.锂离子电池组均衡电路的发展现状[J].电池, 2007, 37(1):2.DOI:10.3969/j.issn.1001-1579.2007.01.025.
[2]刘红锐,张昭怀.锂离子电池组充放电均衡器及均衡策略[J].电工技术学报, 2015(8):7.DOI:10.3969/j.issn.1000-6753.2015.08.023.
[3]边延凯,贾瑞庆,田爽.锂离子电池组的均衡控制与设计[J].东北电力大学学报, 2006, 26(2):4.DOI:10.3969/j.issn.1005-2992.2006.02.016.
[4]边延凯,贾瑞庆,田爽.锂离子电池组的均衡控制与设计[J].东北电力大学学报, 2006, 26(2):4.DOI:10.3969/j.issn.1005-2992.2006.02.016.
904

被折叠的 条评论
为什么被折叠?



