✅作者简介:热爱科研的Matlab仿真开发者,擅长数据处理、建模仿真、程序设计、完整代码获取、论文复现及科研仿真。
🍎 往期回顾关注个人主页:Matlab科研工作室
🍊个人信条:格物致知,完整Matlab代码及仿真咨询内容私信。
🔥 内容介绍
锂离子电池因其高能量密度、长循环寿命等优点,在电动汽车、便携式电子设备和储能系统等领域得到广泛应用。然而,在电池组中,由于电池单体之间制造工艺、材料差异以及使用环境等因素的影响,电池单体之间往往存在容量、内阻和自放电速率等方面的差异,这些差异会导致电池组在充放电过程中出现不一致性,即荷电状态(SOC)不均衡。电池SOC不均衡会严重影响电池组的性能、寿命和安全性。因此,电池均衡技术对于提高电池组的整体性能至关重要。本文将深入探讨被动式电池均衡技术,重点分析一种由两个并联串联电池组成的电池组,每个并联串联包含四个串联电池的均衡策略,即通过在电阻器上放电高SOC电池,直到所有电池的SOC相等。
电池不均衡的危害
电池组中电池单体的不一致性主要体现在以下几个方面:
- 容量不一致:
电池单体之间的实际可用容量存在差异,导致在放电过程中,容量较小的电池单体会提前达到放电截止电压,从而限制了整个电池组的可用容量。
- 内阻不一致:
电池单体的内阻不同会导致在充放电过程中,内阻较大的电池单体发热量更大,温升更快,进而加速其性能衰减。
- 自放电速率不一致:
电池单体的自放电速率不同会导致在搁置期间,SOC较高的电池单体自放电较慢,而SOC较低的电池单体自放电较快,进一步加剧SOC不均衡。
这些不一致性会带来一系列危害:
- 容量损失:
电池组的有效容量由容量最小的电池单体决定,SOC不均衡会导致部分电池单体未完全放电,从而降低电池组的可用容量。
- 寿命缩短:
频繁的过充或过放会加速电池单体的老化,缩短电池组的循环寿命。在不均衡的电池组中,某些电池单体可能长期处于过充或过放状态,从而提前失效。
- 安全隐患:
严重的SOC不均衡可能导致电池单体过充或过放,引发热失控等安全问题,甚至导致火灾或爆炸。
- 充电时间延长:
为了确保所有电池单体都充满电,充电过程需要额外的时间进行均衡,导致充电时间延长。
被动式电池均衡原理
被动式电池均衡是一种简单有效的均衡方法,其基本原理是通过消耗高SOC电池的能量来降低其SOC,直到所有电池的SOC达到一致。这种方法通常采用电阻器作为能量消耗元件。当某个电池单体的SOC高于其他电池单体时,通过旁路电阻器将其能量耗散掉,从而使该电池的SOC逐渐降低,直至与电池组中其他电池的SOC趋于一致。
针对特定电池组的被动式均衡策略
本文所讨论的电池组结构为:由两个并联的串联电池组成,每个并联串联都包含四个串联电池。这意味着整个电池组共有8个电池单体。在这种结构下,被动式均衡的目标是通过在电阻器上放电高SOC电池,直到所有电池的SOC相等。
具体实施步骤如下:
- SOC监测:
实时监测每个电池单体的SOC。这通常通过电池管理系统(BMS)来实现,BMS会通过电压、电流、温度等参数估算电池的SOC。
- 均衡启动条件:
当检测到电池组中存在SOC不均衡时,即最高SOC电池与最低SOC电池之间的SOC差值超过预设阈值时,启动均衡过程。
- 高SOC电池识别:
识别出电池组中SOC最高的电池单体。
- 能量耗散:
将高SOC电池单体并联一个旁路电阻器。通过控制开关,使高SOC电池的电流流过旁路电阻器,将多余的能量以热量的形式耗散掉。
- 循环均衡:
持续监测所有电池单体的SOC,并重复上述步骤,直到所有电池单体的SOC差值低于设定的均衡阈值。
被动式均衡的优缺点
优点:
- 电路简单,成本较低:
被动式均衡电路结构相对简单,所需的元器件数量较少,因此成本较低。
- 可靠性高:
由于电路简单,故障率相对较低,系统可靠性较高。
- 易于实现:
被动式均衡技术易于集成到BMS中,实现起来相对简单。
缺点:
- 能量损耗:
被动式均衡通过电阻器耗散能量,会造成能量损失,降低电池组的整体效率。这对于大容量电池组来说,能量损失可能比较显著。
- 均衡速度慢:
能量耗散的速度受电阻器功率和电池SOC差异的影响,均衡过程可能需要较长的时间,尤其是在SOC差异较大的情况下。
- 均衡效果有限:
均衡过程中能量的损耗会导致电池组总能量的下降,无法实现能量的有效转移和利用。
- 产热:
均衡过程中电阻器会产生热量,需要考虑散热问题,尤其是在高电流均衡时。
改进与展望
尽管被动式均衡存在能量损耗等缺点,但其简单、成本低的优势使其在某些应用场景中仍具有一定的竞争力。为了弥补其不足,可以考虑以下改进方向:
- 优化均衡策略:
针对不同的电池组结构和应用需求,优化均衡策略,例如采用分级均衡、智能均衡等方法,提高均衡效率。
- 与主动式均衡结合:
将被动式均衡与主动式均衡相结合,例如在均衡初期采用被动式均衡快速降低高SOC电池的SOC,后期采用主动式均衡进行精细均衡,以提高均衡效率和精度。
- 改进电阻器材料和散热:
采用高效散热的电阻器材料和结构,降低均衡过程中的温升,提高系统安全性。
- 智能控制算法:
开发更智能的均衡控制算法,根据电池状态和应用需求动态调整均衡电流和均衡时间,以实现更优的均衡效果。
结论
被动式电池均衡是一种在锂离子电池组中实现SOC一致性的有效方法,尤其适用于对成本和复杂度有较高要求的应用场景。本文详细阐述了针对特定电池组结构的被动式均衡策略,即通过在电阻器上放电高SOC电池,直到所有电池的SOC相等。虽然被动式均衡存在能量损耗和均衡速度慢等缺点,但通过优化均衡策略、结合主动式均衡以及改进硬件设计等方法,可以有效提升其性能。随着电池技术和BMS的不断发展,未来的电池均衡技术将更加智能化、高效化,从而进一步提升锂离子电池组的整体性能和应用范围。
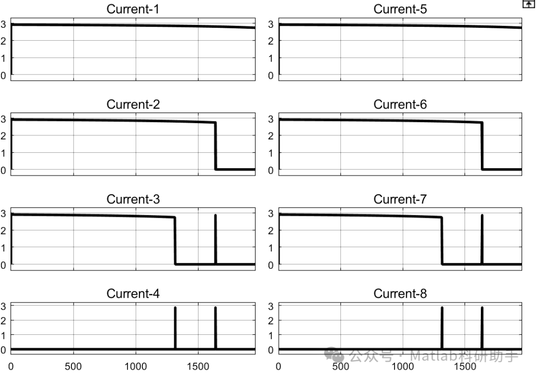
⛳️ 运行结果



🔗 参考文献
[1] 刘威,唐传雨,王天如,等.串联电池组主动均衡拓扑及控制策略研究[J].电源学报, 2022(003):020.
[2] 刘晓飞.车载动力串联锂离子电池组的主动均衡控制设计与验证[D].西安理工大学,2023.
[3] 高岩.航天用串联锂离子电池组充电技术的研究[D].南开大学,2007.DOI:10.7666/d.y1798089.
📣 部分代码
🎈 部分理论引用网络文献,若有侵权联系博主删除
👇 关注我领取海量matlab电子书和数学建模资料
🏆团队擅长辅导定制多种科研领域MATLAB仿真,助力科研梦:
🌈 各类智能优化算法改进及应用
生产调度、经济调度、装配线调度、充电优化、车间调度、发车优化、水库调度、三维装箱、物流选址、货位优化、公交排班优化、充电桩布局优化、车间布局优化、集装箱船配载优化、水泵组合优化、解医疗资源分配优化、设施布局优化、可视域基站和无人机选址优化、背包问题、 风电场布局、时隙分配优化、 最佳分布式发电单元分配、多阶段管道维修、 工厂-中心-需求点三级选址问题、 应急生活物质配送中心选址、 基站选址、 道路灯柱布置、 枢纽节点部署、 输电线路台风监测装置、 集装箱调度、 机组优化、 投资优化组合、云服务器组合优化、 天线线性阵列分布优化、CVRP问题、VRPPD问题、多中心VRP问题、多层网络的VRP问题、多中心多车型的VRP问题、 动态VRP问题、双层车辆路径规划(2E-VRP)、充电车辆路径规划(EVRP)、油电混合车辆路径规划、混合流水车间问题、 订单拆分调度问题、 公交车的调度排班优化问题、航班摆渡车辆调度问题、选址路径规划问题、港口调度、港口岸桥调度、停机位分配、机场航班调度、泄漏源定位
🌈 机器学习和深度学习时序、回归、分类、聚类和降维
2.1 bp时序、回归预测和分类
2.2 ENS声神经网络时序、回归预测和分类
2.3 SVM/CNN-SVM/LSSVM/RVM支持向量机系列时序、回归预测和分类
2.4 CNN|TCN|GCN卷积神经网络系列时序、回归预测和分类
2.5 ELM/KELM/RELM/DELM极限学习机系列时序、回归预测和分类
2.6 GRU/Bi-GRU/CNN-GRU/CNN-BiGRU门控神经网络时序、回归预测和分类
2.7 ELMAN递归神经网络时序、回归\预测和分类
2.8 LSTM/BiLSTM/CNN-LSTM/CNN-BiLSTM/长短记忆神经网络系列时序、回归预测和分类
2.9 RBF径向基神经网络时序、回归预测和分类
2.10 DBN深度置信网络时序、回归预测和分类
2.11 FNN模糊神经网络时序、回归预测
2.12 RF随机森林时序、回归预测和分类
2.13 BLS宽度学习时序、回归预测和分类
2.14 PNN脉冲神经网络分类
2.15 模糊小波神经网络预测和分类
2.16 时序、回归预测和分类
2.17 时序、回归预测预测和分类
2.18 XGBOOST集成学习时序、回归预测预测和分类
2.19 Transform各类组合时序、回归预测预测和分类
方向涵盖风电预测、光伏预测、电池寿命预测、辐射源识别、交通流预测、负荷预测、股价预测、PM2.5浓度预测、电池健康状态预测、用电量预测、水体光学参数反演、NLOS信号识别、地铁停车精准预测、变压器故障诊断
🌈图像处理方面
图像识别、图像分割、图像检测、图像隐藏、图像配准、图像拼接、图像融合、图像增强、图像压缩感知
🌈 路径规划方面
旅行商问题(TSP)、车辆路径问题(VRP、MVRP、CVRP、VRPTW等)、无人机三维路径规划、无人机协同、无人机编队、机器人路径规划、栅格地图路径规划、多式联运运输问题、 充电车辆路径规划(EVRP)、 双层车辆路径规划(2E-VRP)、 油电混合车辆路径规划、 船舶航迹规划、 全路径规划规划、 仓储巡逻
🌈 无人机应用方面
无人机路径规划、无人机控制、无人机编队、无人机协同、无人机任务分配、无人机安全通信轨迹在线优化、车辆协同无人机路径规划
🌈 通信方面
传感器部署优化、通信协议优化、路由优化、目标定位优化、Dv-Hop定位优化、Leach协议优化、WSN覆盖优化、组播优化、RSSI定位优化、水声通信、通信上传下载分配
🌈 信号处理方面
信号识别、信号加密、信号去噪、信号增强、雷达信号处理、信号水印嵌入提取、肌电信号、脑电信号、信号配时优化、心电信号、DOA估计、编码译码、变分模态分解、管道泄漏、滤波器、数字信号处理+传输+分析+去噪、数字信号调制、误码率、信号估计、DTMF、信号检测
🌈电力系统方面
微电网优化、无功优化、配电网重构、储能配置、有序充电、MPPT优化、家庭用电
🌈 元胞自动机方面
交通流 人群疏散 病毒扩散 晶体生长 金属腐蚀
🌈 雷达方面
卡尔曼滤波跟踪、航迹关联、航迹融合、SOC估计、阵列优化、NLOS识别
🌈 车间调度
零等待流水车间调度问题NWFSP 、 置换流水车间调度问题PFSP、 混合流水车间调度问题HFSP 、零空闲流水车间调度问题NIFSP、分布式置换流水车间调度问题 DPFSP、阻塞流水车间调度问题BFSP
👇

3395

被折叠的 条评论
为什么被折叠?



