✅作者简介:热爱科研的Matlab仿真开发者,擅长数据处理、建模仿真、程序设计、完整代码获取、论文复现及科研仿真。
🍎 往期回顾关注个人主页:Matlab科研工作室
🍊个人信条:格物致知,完整Matlab代码及仿真咨询内容私信。
🔥 内容介绍
经济调度作为电力系统运行优化的核心问题,旨在在满足系统需求的前提下,以最小的成本分配发电资源。然而,随着环保意识的日益增强,传统的经济调度问题日益受到挑战。排放感知型经济调度,即在考虑传统成本的同时,将发电过程中的排放纳入优化目标,已成为电力系统可持续发展的重要方向。然而,可再生能源的不确定性、负荷预测误差以及其他因素给排放感知型经济调度的实施带来了诸多挑战。针对这些不确定性,机会约束优化(Chance-Constrained Optimization, CCO)和鲁棒优化(Robust Optimization, RO)逐渐成为处理不确定性约束的有效方法。本文将探讨机会约束和鲁棒优化在具有排放感知型经济调度中的应用,并通过IEEE 6节点和IEEE 118节点算例,分析其优劣势和适用场景。
一、排放感知型经济调度的必要性与挑战
传统的经济调度主要关注发电成本,忽略了发电过程中产生的污染物排放,如二氧化硫、氮氧化物等。这些污染物对环境和人体健康产生负面影响。排放感知型经济调度将排放成本纳入优化目标,通过调整发电计划,鼓励低排放的发电机出力,减少高排放发电机的使用,从而降低总排放量。常见的排放目标包括:
- 单一排放目标:
以最小化二氧化碳排放量为目标。
- 多目标优化:
同时考虑发电成本和多种污染物排放量,通过权重系数平衡不同目标之间的关系。
然而,排放感知型经济调度的实施面临着诸多挑战:
- 可再生能源的间歇性与不确定性:
风电、光伏等可再生能源的出力具有明显的间歇性和不确定性,给电力系统的稳定运行和经济调度带来挑战。
- 负荷预测误差:
负荷预测的准确性直接影响经济调度的结果。负荷预测误差会导致发电计划无法满足实际需求,需要进行额外的调整,从而增加运行成本和排放量。
- 发电机组可用率的不确定性:
发电机组可能由于故障或其他原因无法正常运行,影响电力系统的供电可靠性。
- 排放参数的不确定性:
发电机组的排放因子可能受到燃料质量、运行条件等因素的影响,存在一定的不确定性。
为了应对这些不确定性,需要引入相应的优化方法,以保证经济调度方案的可行性和可靠性。
二、机会约束优化(CCO)与鲁棒优化(RO)
机会约束优化和鲁棒优化是两种常用的处理不确定性约束的优化方法。
1. 机会约束优化(CCO)
机会约束优化允许约束在一定程度上被违反,但要求约束被满足的概率不低于一个预设的置信水平。其基本思想是将不确定性变量建模为随机变量,并用概率不等式来表示约束条件。例如,对于一个含有不确定性变量 ξξ 的约束 g(x,ξ)≤0g(x,ξ)≤0,可以将其转化为机会约束:
P(g(x,ξ)≤0)≥1−αP(g(x,ξ)≤0)≥1−α
其中 xx 是决策变量,αα 是一个预设的风险水平,表示约束被违反的最大概率。
CCO的优点:
- 灵活性:
可以根据实际需求设置不同的置信水平,从而在成本和可靠性之间进行权衡。
- 适用性广:
适用于不确定性变量的概率分布已知或可以近似估计的情况。
CCO的缺点:
- 计算复杂度高:
将机会约束转化为确定性约束通常比较复杂,需要进行概率计算或采样方法,增加了计算负担。
- 对概率分布的依赖性:
CCO的结果受到不确定性变量概率分布的影响,如果概率分布估计不准确,可能会导致优化结果不理想。
2. 鲁棒优化(RO)
鲁棒优化旨在找到一个对所有可能的不确定性取值都满足约束的解决方案。其基本思想是将不确定性变量限制在一个不确定性集合内,并保证优化结果对于该集合内的所有可能取值都是可行的。例如,对于一个含有不确定性变量 ξξ 的约束 g(x,ξ)≤0g(x,ξ)≤0,可以将 ξξ 限制在一个不确定性集合 UU 内,然后要求:
g(x,ξ)≤0,∀ξ∈Ug(x,ξ)≤0,∀ξ∈U
RO的优点:
- 保守性:
保证优化结果对于所有可能的不确定性取值都是可行的,具有较高的可靠性。
- 计算复杂度相对较低:
对于一些特定类型的约束和不确定性集合,可以将鲁棒优化问题转化为确定性问题,从而降低计算复杂度。
RO的缺点:
- 保守性过强:
为了保证对所有不确定性取值都可行,RO的解通常比较保守,可能导致成本增加或性能下降。
- 对不确定性集合的依赖性:
RO的结果受到不确定性集合的影响,如果不确定性集合设置过大,会导致过于保守的解;如果设置过小,可能会导致优化结果不可行。
三、机会约束和鲁棒优化在排放感知型经济调度中的应用
将机会约束和鲁棒优化应用于排放感知型经济调度,可以有效地处理可再生能源的不确定性、负荷预测误差以及其他因素,提高经济调度方案的可行性和可靠性。
1. 基于机会约束的排放感知型经济调度
可以将可再生能源的出力、负荷需求等建模为随机变量,然后将其约束纳入机会约束优化模型中。例如:
- 机会约束用于可再生能源出力:
保证在一定置信水平下,可再生能源的出力能够满足系统的需求。
- 机会约束用于负荷需求:
保证在一定置信水平下,发电机的出力能够满足负荷需求。
- 机会约束用于发电机组可用率:
保证在一定置信水平下,可用的发电机组能够满足系统的需求。
基于机会约束的排放感知型经济调度模型,能够在保证系统运行可靠性的同时,降低发电成本和排放量。
2. 基于鲁棒优化的排放感知型经济调度
可以将可再生能源的出力、负荷需求等限制在一个不确定性集合内,然后将其约束纳入鲁棒优化模型中。例如:
- 鲁棒优化用于可再生能源出力:
保证在所有可能的可再生能源出力情况下,系统的运行都是可行的。
- 鲁棒优化用于负荷需求:
保证在所有可能的负荷需求情况下,发电机的出力能够满足需求。
基于鲁棒优化的排放感知型经济调度模型,能够保证系统运行的鲁棒性,避免由于不确定性因素导致的系统运行故障。
四、IEEE 6节点和IEEE 118节点算例分析
为了验证机会约束和鲁棒优化在排放感知型经济调度中的应用效果,本文选取IEEE 6节点和IEEE 118节点系统作为算例进行分析。
1. IEEE 6节点算例
IEEE 6节点系统是一个小型电力系统,包含3个发电机和3个负荷节点。通过仿真分析,比较了以下三种情况:
- 确定性优化:
忽略所有不确定性因素,直接进行经济调度。
- 机会约束优化:
考虑可再生能源出力和负荷需求的不确定性,采用机会约束优化方法。
- 鲁棒优化:
考虑可再生能源出力和负荷需求的不确定性,采用鲁棒优化方法。
仿真结果表明:
- 确定性优化:
计算速度快,但可靠性较低,容易受到不确定性因素的影响。
- 机会约束优化:
可靠性高于确定性优化,但计算复杂度较高,需要选择合适的置信水平。
- 鲁棒优化:
可靠性最高,但计算结果较为保守,成本较高。
2. IEEE 118节点算例
IEEE 118节点系统是一个中型电力系统,包含54个发电机和99个负荷节点。通过仿真分析,可以进一步验证机会约束和鲁棒优化在大规模电力系统中的应用效果。
仿真结果表明:
-
在大规模电力系统中,机会约束优化和鲁棒优化的计算复杂度更高,需要采用更加有效的优化算法。
-
机会约束优化和鲁棒优化可以有效地提高经济调度方案的可靠性和鲁棒性,降低由于不确定性因素导致的系统运行风险。
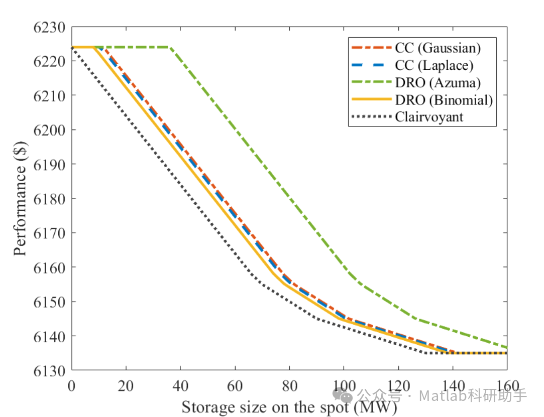
⛳️ 运行结果







🔗 参考文献
📣 部分代码
🎈 部分理论引用网络文献,若有侵权联系博主删除
👇 关注我领取海量matlab电子书和数学建模资料
🏆团队擅长辅导定制多种科研领域MATLAB仿真,助力科研梦:
🌈 各类智能优化算法改进及应用
生产调度、经济调度、装配线调度、充电优化、车间调度、发车优化、水库调度、三维装箱、物流选址、货位优化、公交排班优化、充电桩布局优化、车间布局优化、集装箱船配载优化、水泵组合优化、解医疗资源分配优化、设施布局优化、可视域基站和无人机选址优化、背包问题、 风电场布局、时隙分配优化、 最佳分布式发电单元分配、多阶段管道维修、 工厂-中心-需求点三级选址问题、 应急生活物质配送中心选址、 基站选址、 道路灯柱布置、 枢纽节点部署、 输电线路台风监测装置、 集装箱调度、 机组优化、 投资优化组合、云服务器组合优化、 天线线性阵列分布优化、CVRP问题、VRPPD问题、多中心VRP问题、多层网络的VRP问题、多中心多车型的VRP问题、 动态VRP问题、双层车辆路径规划(2E-VRP)、充电车辆路径规划(EVRP)、油电混合车辆路径规划、混合流水车间问题、 订单拆分调度问题、 公交车的调度排班优化问题、航班摆渡车辆调度问题、选址路径规划问题、港口调度、港口岸桥调度、停机位分配、机场航班调度、泄漏源定位
🌈 机器学习和深度学习时序、回归、分类、聚类和降维
2.1 bp时序、回归预测和分类
2.2 ENS声神经网络时序、回归预测和分类
2.3 SVM/CNN-SVM/LSSVM/RVM支持向量机系列时序、回归预测和分类
2.4 CNN|TCN|GCN卷积神经网络系列时序、回归预测和分类
2.5 ELM/KELM/RELM/DELM极限学习机系列时序、回归预测和分类
2.6 GRU/Bi-GRU/CNN-GRU/CNN-BiGRU门控神经网络时序、回归预测和分类
2.7 ELMAN递归神经网络时序、回归\预测和分类
2.8 LSTM/BiLSTM/CNN-LSTM/CNN-BiLSTM/长短记忆神经网络系列时序、回归预测和分类
2.9 RBF径向基神经网络时序、回归预测和分类
2.10 DBN深度置信网络时序、回归预测和分类
2.11 FNN模糊神经网络时序、回归预测
2.12 RF随机森林时序、回归预测和分类
2.13 BLS宽度学习时序、回归预测和分类
2.14 PNN脉冲神经网络分类
2.15 模糊小波神经网络预测和分类
2.16 时序、回归预测和分类
2.17 时序、回归预测预测和分类
2.18 XGBOOST集成学习时序、回归预测预测和分类
2.19 Transform各类组合时序、回归预测预测和分类
方向涵盖风电预测、光伏预测、电池寿命预测、辐射源识别、交通流预测、负荷预测、股价预测、PM2.5浓度预测、电池健康状态预测、用电量预测、水体光学参数反演、NLOS信号识别、地铁停车精准预测、变压器故障诊断
🌈图像处理方面
图像识别、图像分割、图像检测、图像隐藏、图像配准、图像拼接、图像融合、图像增强、图像压缩感知
🌈 路径规划方面
旅行商问题(TSP)、车辆路径问题(VRP、MVRP、CVRP、VRPTW等)、无人机三维路径规划、无人机协同、无人机编队、机器人路径规划、栅格地图路径规划、多式联运运输问题、 充电车辆路径规划(EVRP)、 双层车辆路径规划(2E-VRP)、 油电混合车辆路径规划、 船舶航迹规划、 全路径规划规划、 仓储巡逻
🌈 无人机应用方面
无人机路径规划、无人机控制、无人机编队、无人机协同、无人机任务分配、无人机安全通信轨迹在线优化、车辆协同无人机路径规划
🌈 通信方面
传感器部署优化、通信协议优化、路由优化、目标定位优化、Dv-Hop定位优化、Leach协议优化、WSN覆盖优化、组播优化、RSSI定位优化、水声通信、通信上传下载分配
🌈 信号处理方面
信号识别、信号加密、信号去噪、信号增强、雷达信号处理、信号水印嵌入提取、肌电信号、脑电信号、信号配时优化、心电信号、DOA估计、编码译码、变分模态分解、管道泄漏、滤波器、数字信号处理+传输+分析+去噪、数字信号调制、误码率、信号估计、DTMF、信号检测
🌈电力系统方面
微电网优化、无功优化、配电网重构、储能配置、有序充电、MPPT优化、家庭用电
🌈 元胞自动机方面
交通流 人群疏散 病毒扩散 晶体生长 金属腐蚀
🌈 雷达方面
卡尔曼滤波跟踪、航迹关联、航迹融合、SOC估计、阵列优化、NLOS识别
🌈 车间调度
零等待流水车间调度问题NWFSP 、 置换流水车间调度问题PFSP、 混合流水车间调度问题HFSP 、零空闲流水车间调度问题NIFSP、分布式置换流水车间调度问题 DPFSP、阻塞流水车间调度问题BFSP
👇
3608

被折叠的 条评论
为什么被折叠?



