✅作者简介:热爱科研的Matlab仿真开发者,擅长数据处理、建模仿真、程序设计、完整代码获取、论文复现及科研仿真。
🍎个人主页:Matlab科研工作室
🍊个人信条:格物致知。
🎁 私信更多全部代码、Matlab仿真定制
🔥 内容介绍
摘要: 光伏(PV)模型精确参数提取对于光伏系统的性能评估、控制和优化至关重要。然而,由于光伏模型的非线性特性以及模型参数间的复杂耦合关系,传统优化算法在提取模型参数时往往面临收敛速度慢、精度不足等问题。本文旨在探讨基于新型战争策略优化算法的光伏模型优化方法。首先,对光伏模型的数学表达式进行详细分析,并概述现有参数提取方法的局限性。其次,重点介绍一种新兴的基于战争策略的优化算法,详细阐述其设计思想、关键算子以及算法流程。最后,将该算法应用于光伏模型参数提取,并通过与其他经典优化算法的对比实验,验证其在收敛速度、寻优精度和鲁棒性方面的优越性。本文的研究结果为光伏模型的精确参数提取提供了一种新的思路和方法,并为光伏系统的建模与优化奠定了理论基础。
1. 引言
随着全球能源危机的日益加剧和环境保护意识的不断提高,光伏发电作为一种清洁、可再生的能源,得到了广泛的关注和应用。光伏系统的性能直接影响着其经济效益和社会效益。准确的光伏模型是进行系统仿真、性能预测、故障诊断和控制优化的基础。然而,光伏模型的参数提取是一个复杂的优化问题,涉及多个参数的非线性优化。
光伏模型的数学表达式通常包含二极管理想因子、光生电流、饱和电流、串联电阻和并联电阻等参数,这些参数之间存在复杂的耦合关系。传统的参数提取方法主要包括:解析法、迭代法和优化算法。解析法依赖于光伏电池的特定工作点数据,适用范围有限;迭代法计算量大,容易陷入局部最优;优化算法,如遗传算法(GA)、粒子群优化算法(PSO)等,虽然能够找到全局最优解,但往往存在收敛速度慢、容易陷入早熟收敛等问题。
因此,寻求一种高效、精确的光伏模型参数提取方法,对提高光伏系统的效率和可靠性具有重要意义。本文提出一种基于新型战争策略优化算法的光伏模型优化方法,旨在克服传统优化算法的局限性,提高参数提取的精度和效率。
2. 光伏模型及参数提取问题
2.1 光伏模型数学表达式
光伏模型主要分为单二极管模型、双二极管模型和三二极管模型。单二极管模型因其结构简单、计算量小而被广泛应用。单二极管模型的电流-电压(I-V)关系可以表示为:
css
I = Iph - Is * (exp((V + I * Rs) / (n * Vt)) - 1) - (V + I * Rs) / Rsh
其中:
-
I:输出电流
-
V:输出电压
-
Iph:光生电流
-
Is:饱和电流
-
n:理想因子
-
Vt:热电压,Vt = kT/q,k为玻尔兹曼常数,T为绝对温度,q为电子电荷
-
Rs:串联电阻
-
Rsh:并联电阻
光伏模型参数提取的目标就是通过优化算法,找到一组最佳的参数组合(Iph, Is, n, Rs, Rsh),使得模型输出的I-V曲线与实际测量的I-V曲线之间的误差最小。
2.2 参数提取问题描述
光伏模型参数提取问题可以转化为一个优化问题,其目标函数通常定义为测量值与模型计算值之间的均方根误差(RMSE):
css
RMSE = sqrt(1/N * Σ(Imeasured,i - Icalculated,i)^2)
其中:
-
N:测量数据的数量
-
Imeasured,i:第i个测量电流值
-
Icalculated,i:第i个模型计算电流值
参数提取的目标就是最小化RMSE,从而得到最佳的参数组合。然而,由于光伏模型的高度非线性以及参数间的复杂耦合关系,使得RMSE曲面呈现出复杂的特性,存在大量的局部最优解。因此,传统的优化算法容易陷入局部最优,无法找到全局最优解。
3. 新型战争策略优化算法
本文采用一种新型的基于战争策略的优化算法来进行光伏模型参数提取。该算法模拟了战争中的军队行动策略,通过敌我双方的对抗和策略调整,最终实现全局最优解的搜索。
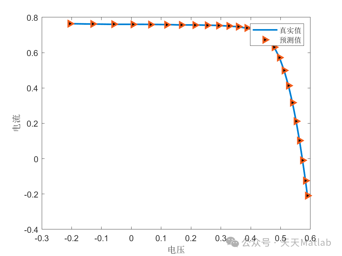
⛳️ 运行结果


🔗 参考文献
🎈 部分理论引用网络文献,若有侵权联系博主删除
👇 关注我领取海量matlab电子书和数学建模资料
🌿 往期回顾可以关注主页,点击搜索
🏆团队擅长辅导定制多种科研领域MATLAB仿真,助力科研梦:
🌈 各类智能优化算法改进及应用
生产调度、经济调度、装配线调度、充电优化、车间调度、发车优化、水库调度、三维装箱、物流选址、货位优化、公交排班优化、充电桩布局优化、车间布局优化、集装箱船配载优化、水泵组合优化、解医疗资源分配优化、设施布局优化、可视域基站和无人机选址优化、背包问题、 风电场布局、时隙分配优化、 最佳分布式发电单元分配、多阶段管道维修、 工厂-中心-需求点三级选址问题、 应急生活物质配送中心选址、 基站选址、 道路灯柱布置、 枢纽节点部署、 输电线路台风监测装置、 集装箱调度、 机组优化、 投资优化组合、云服务器组合优化、 天线线性阵列分布优化、CVRP问题、VRPPD问题、多中心VRP问题、多层网络的VRP问题、多中心多车型的VRP问题、 动态VRP问题、双层车辆路径规划(2E-VRP)、充电车辆路径规划(EVRP)、油电混合车辆路径规划、混合流水车间问题、 订单拆分调度问题、 公交车的调度排班优化问题、航班摆渡车辆调度问题、选址路径规划问题、港口调度、港口岸桥调度、停机位分配、机场航班调度、泄漏源定位
🌈 机器学习和深度学习时序、回归、分类、聚类和降维
2.1 bp时序、回归预测和分类
2.2 ENS声神经网络时序、回归预测和分类
2.3 SVM/CNN-SVM/LSSVM/RVM支持向量机系列时序、回归预测和分类
2.4 CNN|TCN|GCN卷积神经网络系列时序、回归预测和分类
2.5 ELM/KELM/RELM/DELM极限学习机系列时序、回归预测和分类
2.6 GRU/Bi-GRU/CNN-GRU/CNN-BiGRU门控神经网络时序、回归预测和分类
2.7 ELMAN递归神经网络时序、回归\预测和分类
2.8 LSTM/BiLSTM/CNN-LSTM/CNN-BiLSTM/长短记忆神经网络系列时序、回归预测和分类
2.9 RBF径向基神经网络时序、回归预测和分类
2.10 DBN深度置信网络时序、回归预测和分类
2.11 FNN模糊神经网络时序、回归预测
2.12 RF随机森林时序、回归预测和分类
2.13 BLS宽度学习时序、回归预测和分类
2.14 PNN脉冲神经网络分类
2.15 模糊小波神经网络预测和分类
2.16 时序、回归预测和分类
2.17 时序、回归预测预测和分类
2.18 XGBOOST集成学习时序、回归预测预测和分类
2.19 Transform各类组合时序、回归预测预测和分类
方向涵盖风电预测、光伏预测、电池寿命预测、辐射源识别、交通流预测、负荷预测、股价预测、PM2.5浓度预测、电池健康状态预测、用电量预测、水体光学参数反演、NLOS信号识别、地铁停车精准预测、变压器故障诊断
🌈图像处理方面
图像识别、图像分割、图像检测、图像隐藏、图像配准、图像拼接、图像融合、图像增强、图像压缩感知
🌈 路径规划方面
旅行商问题(TSP)、车辆路径问题(VRP、MVRP、CVRP、VRPTW等)、无人机三维路径规划、无人机协同、无人机编队、机器人路径规划、栅格地图路径规划、多式联运运输问题、 充电车辆路径规划(EVRP)、 双层车辆路径规划(2E-VRP)、 油电混合车辆路径规划、 船舶航迹规划、 全路径规划规划、 仓储巡逻
🌈 无人机应用方面
无人机路径规划、无人机控制、无人机编队、无人机协同、无人机任务分配、无人机安全通信轨迹在线优化、车辆协同无人机路径规划
🌈 通信方面
传感器部署优化、通信协议优化、路由优化、目标定位优化、Dv-Hop定位优化、Leach协议优化、WSN覆盖优化、组播优化、RSSI定位优化、水声通信、通信上传下载分配
🌈 信号处理方面
信号识别、信号加密、信号去噪、信号增强、雷达信号处理、信号水印嵌入提取、肌电信号、脑电信号、信号配时优化、心电信号、DOA估计、编码译码、变分模态分解、管道泄漏、滤波器、数字信号处理+传输+分析+去噪、数字信号调制、误码率、信号估计、DTMF、信号检测
🌈电力系统方面
微电网优化、无功优化、配电网重构、储能配置、有序充电、MPPT优化、家庭用电
🌈 元胞自动机方面
交通流 人群疏散 病毒扩散 晶体生长 金属腐蚀
🌈 雷达方面
卡尔曼滤波跟踪、航迹关联、航迹融合、SOC估计、阵列优化、NLOS识别
🌈 车间调度
零等待流水车间调度问题NWFSP 、 置换流水车间调度问题PFSP、 混合流水车间调度问题HFSP 、零空闲流水车间调度问题NIFSP、分布式置换流水车间调度问题 DPFSP、阻塞流水车间调度问题BFSP
👇
462

被折叠的 条评论
为什么被折叠?



