最大后缀值个数
本题看看数据范围其实就大概知道怎么做,然后发现是单调的,直接单调栈就行了
本题有个很坑的细节(其实是我打得太烂了,调了很久没跳出来,一直80分)
#include<bits/stdc++.h>
using namespace std;
const int N=1e6+5;
int n;
int val[N],f[N],head[N],tnt=0;
struct edge{
int link,v;
}q[N<<1];
void put(int x,int y){
q[++tnt].v=y;
q[tnt].link=head[x];
head[x]=tnt;
}
int ans[N],mly[N],cnt;
int find(int l,int r,int vall){
while(l<r){
int mid=(l+r)>>1;
if(mly[mid]>=vall){
l=mid+1;
}
else r=mid;
}
return l;
}
void dfs(int s,int fa){
for(int i=head[s];i;i=q[i].link){
int v=q[i].v;
if(v==fa) continue;
int tp=cnt,tp2=-1,id=-1;
if(val[v]>mly[cnt]){
id=find(1,cnt,val[v]);
tp2=mly[id];
mly[id]=val[v];
cnt=id;
}
else {
id=cnt+1,tp2=mly[cnt+1];
mly[++cnt]=val[v];
}
dfs(v,s);
if(tp2!=-1&&id!=-1){mly[id]=tp2;}
cnt=tp;
}
ans[s]=cnt;
}
int main(){
scanf("%d",&n);
for(int i=2;i<=n;i++){
scanf("%d",&f[i]);
put(f[i],i);
}
for(int i=1;i<=n;i++){
scanf("%d",&val[i]);
}
mly[1]=val[1],cnt=1;
dfs(1,0);
for(int i=1;i<=n;i++){
printf("%d ",ans[i]);
}
}
```AC代码
id=cnt+1,tp2=mly[cnt+1];这段很重要,直接思路是因为原来的串没有这个值(因为原串长小于现在串长),所以不用记录,但实际情况是由于前面有记录,所以如果不修改也会爆

数据
41
1 1 2 1 1 5 2 5 1 10 1 10 3 1 7 5 15 2 11 13 10 5 16 17 19 13 11 14 20 1 9 27 16 3 23 7 19 15 38 7
11 9 1 9 5 12 13 9 11 1 1 6 12 1 16 1 1 17 5 11 11 8 17 5 5 8 1 11 15 5 17 1 17 1 16 3 1 3 13 11 3
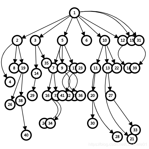
以本图为例,到10节点为[11,1],到13为[12],到12为[12,11]
回溯回来就变成11,11
(因为只记录了长度改变,没记录值改变)
1057

被折叠的 条评论
为什么被折叠?



