描述
魔法国度 Magic Land 里最近出现了一个大盗 Frank,他在 Magic Land 四处作案,专门窃取政府机关的机密文件(因而有人怀疑 Frank 是敌国派来的间谍)。
为了捉住 Frank,Magic Land 的安全局重拳出击!
Magic Land 由 N 个城市组成,并且这 N 个城市又由恰好 N-1 条公路彼此连接起来,使得任意两个城市间都可以通过若干条公路互达。从数据结构的角度我们也可以说,这 N 个城市和 N-1 条公路形成了一棵树。
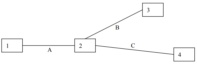
例如,下图就是 Magic Land 的一个可能格局(4 个城市用数字编号,3 条公路用字母编号):

大盗 Frank 能够在公路上以任意速度移动。
比方说,对于上图给出的格局,在 0.00001 秒钟内(或者任意短的一段时间内),Frank 就可以从城市 1 经过城市 2 到达城市 4,中间经过了两条公路。
想要生擒 Frank 困难重重,所以安全局派出了经验丰富的警探,这些警探具有非凡的追捕才能:
-
只要有警探和 Frank 同处一个城市,那么就能够立刻察觉到Frank,并且将其逮捕。
-
虽然 Frank 可以在公路上以任意快的速度移动,但是如果有警探和 Frank 在同一条公路上相遇,那么警探也可以立刻察觉到 Frank 并将其逮捕。
安全局完全不知道 Frank 躲在哪个城市,或者正在哪条公路上移动,所以需要制定一个周密的抓捕计划,计划由若干 步骤组成。在每一步中,可以做如下几件事中的一个:
-
在某个城市空降一位警探。警探可以直接从指挥部空降到 Magic Land 的任意一个城市里。此操作记为“L x”,表示在编号为 x 的城市里空降一位警探。耗时 1 秒。
-
把留在某个城市里的一位警探直接召回指挥部。以备在以后的步骤中再度空降到某个城市里。此操作记为“B x”。表示把编号为 x 的城市里的一位警探召回指挥部。耗时 1 秒。
-
让待在城市 x 的一位警探沿着公路移动到城市 y,此操作记为“M x y”。耗时 1 秒。当然,前提是城市 x 和城市 y 之间有公路。如果在警探移动的过程中,大盗 Frank 也在同一条公路上,那么警探就抓捕到了Frank。
现在,由你来制定一套追捕计划,也就是给出若干个步骤,需要保证:无论大盗 Frank 一开始躲在哪儿,也无论 Frank 在整个过程中如何狡猾地移动(Frank大盗可能会窃取到追捕行动的计划书,所以他一定会想尽办法逃避),他一定会被缉拿归案。
希望参与的警探越少越好,因为经验丰富的警探毕竟不多。
例如对于前面所给的那个图示格局,一个可行的计划如下:
-
L 2 在城市 2 空降一位警探。注意这一步完成之后,城市 2 里不会有 Frank,否则他将被捉住。
-
L 2 再在城市 2 空降一位警探。
-
M 2 1 让城市 2 的一位警探移动到城市 1。注意城市 2 里还留有另一位警探。这一步完成之后,城市 1 里不会有 Frank,公路 A 上也不会有 Frank。也就是说,假如 Frank 还没有被逮捕,那么他只能是在城市 3 或城市 4 里,或者公路 B 或公路 C 上。
-
B 1 召回城市 1 的一位警探。注意虽然召回了这位警探,但是由于我们始终留了一位警探在城市 2 把守,所以 Frank 仍然不可能跑到城市 1 或者是公路 A 上。
-
L 3 在城市 3 空降一位警探。注意这一步可以空降在此之前被召回的那位警探。这一步完成之后,城市 3 里不会有 Frank,否则他会被捉住。
-
M 3 2 让城市 3 里的一位警探移动到城市 2。这一步完成之后,如果 Frank 还没有被捉住,那他只能是在公路 C 上或者城市 4 里。注意这一步之后,城市 2 里有两位警探。
-
M 2 4 让城市 2 里的一位警探移动到城市 4。这一步完成之后,Frank 一定会被捉住,除非他根本就没来 Magic Land。
这个计划总共需要 2 位警探的参与。可以证明:如果自始至终只有 1 名或者更少的警探参与,则 Frank 就会逍遥法外。
你的任务很简单:对于一个输入的 Magic Land 的格局,计算 S,也就是为了追捕 Frank 至少需要投入多少位警探,并且给出相应的追捕计划步骤。
输入描述
输入文件给出了 Magic Land 的格局。
第一行一个整数 N,代表有 N 个城市,城市的编号是 1~N。
接下来 N-1 行,每行有两个用空格分开的整数 x i ,y i ,代表城市 x i ,y i之间有公路相连。保证 1≤x i ,y i ≤N。
输出描述
向输出文件输出你所给出的追捕计划。
第一行请输出一个整数 S,代表追捕计划需要多少位警探。
第二行请输出一个整数 T,代表追捕计划总共有多少步。
接下来请输出 T 行,依次描述了追捕计划的每一步。每行必须是以下三种形式之一:
”L x”,其中 L 是大写字母,接着是一个空格,再接着是整数 x,代表在城市 x 空降一位警探。你必须保证 1≤x≤N。
“B x”,其中 B 是大写字母,接着是一个空格,再接着是整数 x,代表召回城市 x 的一位警探。你必须保证 1≤x≤N,且你的计划执行到这一步之前,城市 x 里面确实至少有一位警探。
“M x y”,其中 M 是大写字母,接着是一个空格,再接着是整数 x,再跟一个空格,最后一个是整数 y。代表让城市 x 的一位警探沿着公路移动到城市 y。你必须保证 1≤x, y≤N,且你的计划执行到这一步之前,城市 x 里面确实至少有一位警探,且城市 x, y 之前确实有公路。
必须保证输出的 S 确实等于追捕计划中所需要的警探数目。
样例输入 1
4 1 2 3 2 2 4
样例输出 1
2 7 L 2 L 2 M 2 1 B 1 L 3 M 3 2 M 2 4
提示
数据范围与提示
对于任何一个测试点:
如果输出的追捕计划不合法,或者整个追捕计划的步骤数 T 超过了 20000,或者追捕计划结束之后,不能保证捉住 Frank,则不能得分。
否则,用你输出的 S 和我们已知的标准答案 S * 相比较: 1. 若 S<S * ,则得到 120%的分。 2. 若 S=S * ,则得到 100%的分。 3. 若 S * <S≤S * +2,则得到 60%的分。 4. 若 S * +2<S≤S * +4,则得到 40%的分。 5. 若 S * +4<S≤S * +8,则得到 20%的分。 6. 若 S>S * +8,则得到 10%的分。
输入保证描述了一棵连通的 N 结点树,1≤N≤1 000。
#include<bits/stdc++.h>
using namespace std;
const int N=100000+200,E=500000+200,Q=300000+200;
int n,m,q,Last[E*2],t,dfn[N],low[N],Maxdfn[N],cnt=0,yA[Q],yB[Q];
struct edge{int ver,next;}e[E*2];
struct question{int a,b,c,x,y,index;}ques[Q];
vector < int > askA[N],askB[N],askCa[N],askCb[N];
inline void insert(int x,int y)
{
e[++t].ver=y;e[t].next=Last[x];Last[x]=t;
}
inline void input(void)
{
scanf("%d%d",&n,&m);
for(int i=1;i<=m;i++)
{
int u,v;
scanf("%d%d",&u,&v);
insert(u,v);
insert(v,u);
}
scanf("%d",&q);
for(int i=1;i<=q;i++)
{
int index;
scanf("%d",&ques[i].index);
if(ques[i].index==1)
scanf("%d%d%d%d",&ques[i].a,&ques[i].b,&ques[i].x,&ques[i].y);
if(ques[i].index==2)
{
scanf("%d%d%d",&ques[i].a,&ques[i].b,&ques[i].c);
askA[ques[i].a].push_back(i);
askB[ques[i].b].push_back(i);
}
}
}
inline void Tarjan(int x,int fa)
{
dfn[x]=low[x]=++cnt;
while(askA[x].size())
{
int num=askA[x].back();
if(dfn[ques[num].c])
askCa[ques[num].c].push_back(num);
askA[x].pop_back();
}
while(askB[x].size())
{
int num=askB[x].back();
if(dfn[ques[num].c])
askCb[ques[num].c].push_back(num);
askB[x].pop_back();
}
for(int i=Last[x];i;i=e[i].next)
{
int y=e[i].ver;
if(y==fa)continue;
if(!dfn[y])
{
Tarjan(y,x);
low[x]=min(low[x],low[y]);
while(askCa[x].size())
{
yA[askCa[x].back()]=y;
askCa[x].pop_back();
}
while(askCb[x].size())
{
yB[askCb[x].back()]=y;
askCb[x].pop_back();
}
}
else low[x]=min(low[x],dfn[y]);
}
Maxdfn[x]=cnt;
}
inline bool subtree(int p1,int p2)
{
return dfn[p1]>=dfn[p2]&&dfn[p1]<=Maxdfn[p2];
}
inline void answer(void)
{
for(int i=1;i<=q;i++)
{
if(ques[i].index==1)
{
if(ques[i].x==ques[i].y)printf("yes\n");
else
{
if(dfn[ques[i].x]<dfn[ques[i].y])swap(ques[i].x,ques[i].y);
if( (low[ques[i].x]==dfn[ques[i].x]) && (subtree(ques[i].a,ques[i].x)^subtree(ques[i].b,ques[i].x)) )
printf("no\n");
else printf("yes\n");
}
}
if(ques[i].index==2)
{
if(yA[i]==yB[i])
printf("yes\n");
else
if( (yA[i]&&low[yA[i]]>=dfn[ques[i].c]) || (yB[i]&&low[yB[i]]>=dfn[ques[i].c]) )
printf("no\n");
else printf("yes\n");
}
}
}
int main(void)
{
freopen("data.in","r",stdin);
freopen("data.out","w",stdout);
input();
for(int i=1;i<=n;i++)
if(!dfn[i])Tarjan(i,0);
answer();
return 0;
}
2085

被折叠的 条评论
为什么被折叠?



