本文为A matlab-based identification procedure applied to a two-degrees-of-freedom robot manipulator for engineering students学习笔记,相关数据代码可以通过Matlab程序和数据下载
论文+Matlab程序和数据优快云下载
一、概述
1.1 二轴机械臂

| 参数 | 说明 |
|---|---|
| m 1 m_1 m1 | 连杆1质量 |
| m 2 m_2 m2 | 连杆2质量 |
| L 1 L_1 L1 | 连杆1长度 |
| L 2 L_2 L2 | 连杆2长度 |
| I 1 I_1 I1 | 连杆1惯性矩阵 |
| I 2 I_2 I2 | 连杆2惯性矩阵 |
| l 1 l_1 l1 | 连杆1质心位置 |
| l 2 l_2 l2 | 连杆2质心位置 |
| f v 1 f_{v1} fv1 | 关节1黏性摩擦系数 |
| f v 2 f_{v2} fv2 | 关节2黏性摩擦系数 |
| f c 1 f_{c1} fc1 | 关节1库仑摩擦系数 |
| f c 2 f_{c2} fc2 | 关节2库仑摩擦系数 |
1.2 参数识别概述
参数识别流程
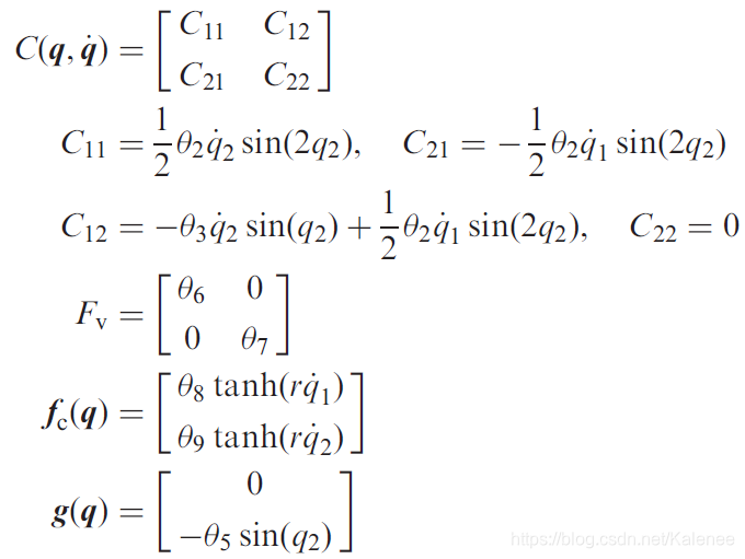
二、动力学模型
M ( q ) q ¨ + C ( q , q ˙ ) + g ( q ) + F v q ˙ + f c ( q ˙ ) = τ M(q)\ddot{q} + C(q,\dot{q}) + g(q) + F_v \dot{q} + f_c(\dot{q})= \tau M(q)q¨+C(q,q˙)+g(q)+Fvq˙+fc(q˙)=τ
q
,
q
˙
,
q
¨
q,\dot{q},\ddot{q}
q,q˙,q¨为关节位置,速度和加速度矩阵,
M
(
q
)
M(q)
M(q)为机械臂的
n
×
n
n \times n
n×n质量矩阵,
C
(
q
,
q
˙
)
C(q,\dot{q})
C(q,q˙)为
n
×
1
n \times 1
n×1离心力和科氏力矢量,
g
(
q
)
g(q)
g(q)为
n
×
1
n \times 1
n×1的重力矢量,
F
v
q
˙
F_v \dot{q}
Fvq˙为黏性摩擦模型,
f
c
(
q
˙
)
f_c(\dot{q})
fc(q˙)为库仑摩擦模型。



该动力学模型作了简化,只考虑了围绕关节的连杆惯性矩,若考虑所有惯性矩会引入额外的识别参数,但识别方法不变。
推广到六轴机械臂时,可根据机械臂的DH参数确定最小惯性集,建立对应的动力学模型。
三、力矩测量
机械臂通过永磁直流电动机直接驱动。 在工业应用中,电机驱动器使用电流环,使实际电流在短时间内即可收敛到设置电流,使电流对机械动力学影响降低(实际上仍然存在影响,输出相对输入存在滞后)。
伺服电机一般为三个环控制,从底到高排序为电流环,速度环和位置环,电流环都需要使用,其余两环根据需要和设置模式选择使用。
输出到关节上的力矩与电流的关系为:
τ
(
t
)
=
K
m
i
m
(
t
)
\tau(t) = K_m i_m(t)
τ(t)=Kmim(t)
i
m
(
t
)
∈
I
R
2
i_m(t) \in {IR}^2
im(t)∈IR2为电机电流矩阵,
k
m
(
t
)
∈
I
R
2
×
2
k_m(t) \in {IR}^{2 \times 2}
km(t)∈IR2×2为电机力矩(电机本身参数)参数的对角矩阵。伺服驱动器采用电流模式,实际电机电流为:
i
m
(
t
)
=
i
d
(
t
)
=
K
s
a
u
(
t
)
i_m(t) = i_d(t) = K_{sa} u(t)
im(t)=id(t)=Ksau(t)
K
s
a
∈
I
R
2
×
2
K_{sa} \in {IR}^{2 \times 2}
Ksa∈IR2×2为伺服增益(使用者设置参数)对角矩阵,
u
(
t
)
u(t)
u(t)为输入电压。因此输出力矩为:
τ ( t ) = K m K s a u ( t ) \tau(t) = K_m K_{sa} u(t) τ(t)=KmKsau(t)
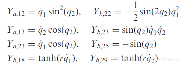
四、参数(线性)分离
Y ( q , q ˙ , q ¨ ) θ = τ Y(q,\dot{q},\ddot{q}) \theta = \tau Y(q,q˙,q¨)θ=τ
参数分离需要参考最小惯性集相关内容
Y ( q , q ˙ , q ¨ ) Y(q,\dot{q},\ddot{q}) Y(q,q˙,q¨)为 2 × 9 2 \times 9 2×9矩阵, θ \theta θ为 9 × 1 9 \times 1 9×1参数矩阵。
关节的速度和加速度都是通过差分获得,但差分会导致噪声被严重放大,一般来说通过位置差分获得速度噪声还在可接受范围内,再差分计算加速度的话噪声几乎会淹没掉有用的信号。
为避免加速度的计算,上式可改写为
[
d
d
t
Y
a
(
q
,
q
˙
)
+
Y
b
(
q
,
q
˙
)
]
θ
=
τ
(4.1)
\begin{bmatrix} \frac{d}{dt}Y_a(q,\dot{q}) + Y_b(q,\dot{q}) \end{bmatrix} \theta = \tau \tag{4.1}
[dtdYa(q,q˙)+Yb(q,q˙)]θ=τ(4.1)
其中
Y
a
(
q
,
q
˙
)
=
M
(
q
)
q
˙
Y
b
(
q
,
q
˙
)
=
−
M
˙
(
q
)
q
˙
+
C
(
q
,
q
˙
)
q
˙
+
F
v
q
˙
+
f
c
q
˙
+
g
(
q
)
Y_a(q,\dot{q}) = M(q)\dot{q}\\ Y_b(q,\dot{q}) = -\dot{M}(q)\dot{q}+C(q,\dot{q})\dot{q}+F_v\dot{q}+f_c\dot{q}+g(q)
Ya(q,q˙)=M(q)q˙Yb(q,q˙)=−M˙(q)q˙+C(q,q˙)q˙+Fvq˙+fcq˙+g(q)
Y
a
(
q
,
q
˙
)
Y_a(q,\dot{q})
Ya(q,q˙)和
Y
b
(
q
,
q
˙
)
Y_b(q,\dot{q})
Yb(q,q˙)都为
2
×
9
2 \times 9
2×9矩阵。
根据动力学模型中的相关参数,二轴机械臂的 Y a Y_a Ya和 Y b Y_b Yb为


其中

五、计算速度
采集的数据只有角度信息,因此速度通过中心差分法计算获得
差分,又名差分函数或差分运算,差分的结果反映了离散量之间的一种变化,是研究离散数学的一种工具,常用函数差近似导数。
q ˙ ( k ) = q f ( k + 1 ) − q f ( k − 1 ) 2 T \dot{q}(k) = \frac{q_f(k+1) - q_f(k-1)}{2T} q˙(k)=2Tqf(k+1)−qf(k−1)
q f q_f qf为低通滤波后的角度数据, k k k为时间序号, T T T为数据采集时间间隔(此处为1ms)。
%% BLOCK 2
%This program describes the procedure to compute the joint velocity
%estimates using the central difference algorithm given in equation (21)
%First joint velocity estimation (V1)
V1(1) = 0.0;
V2(1) = 0.0;
for j=2:l-1
V1(j)=(qf1(j+1)-qf1(j-1))/(2*T);
V2(j)=(qf2(j+1)-qf2(j-1))/(2*T);
end
V1(l) = V1(l-1);
V2(l) = V2(l-1);
%Set velocity vectors as row vectors
V1 = V1';
V2 = V2';
六、数据滤波
数据通过低通滤波器进行处理,过滤高频噪声。
此处用到低通滤波有两处,一为对采集的关节角度使用fir低通滤波器,另一处为对代入位置和速度的模型进行滤波。
低通滤波(Low-pass filter) 是一种过滤方式,规则为低频信号能正常通过,而超过设定临界值的高频信号则被阻隔、减弱。
6.1 角度信息fir低通滤波
使用零相移滤波器filtfilt避免低通滤波产生的时延
%% BLOCK 1
%Filter coefficients
N = 30; % Order
Fc = 0.07; % Cutoff Frequency
flag = 'scale'; % Sampling Flag
win = nuttallwin(N+1); % Create the window vector
b = fir1(N, Fc, 'low', win, flag);% Coefficients using the FIR1 function.
%Filtering for q1 and q2 using the filtfilt function
qf1 = filtfilt(b,1,q1);
qf2 = filtfilt(b,1,q2);

6.2 对代入位置和速度的模型进行滤波
低通滤波函数
f
(
s
)
=
λ
s
+
λ
f(s) = \frac{\lambda}{s+\lambda }
f(s)=s+λλ
λ
\lambda
λ为截止频率,式4.1通过低通滤波后为
[
s
f
(
s
)
Y
a
(
q
,
q
˙
)
+
f
(
s
)
Y
b
(
q
,
q
˙
)
]
θ
=
f
(
s
)
τ
(5.1)
\begin{bmatrix} sf(s)Y_a(q,\dot{q})+f(s)Y_b(q,\dot{q}) \end{bmatrix} \theta = f(s) \tau \tag{5.1}
[sf(s)Ya(q,q˙)+f(s)Yb(q,q˙)]θ=f(s)τ(5.1)
采集数据为离散数据,因此需要对低通滤波的传递函数(连续)进行处理,使其满足离散信号的滤波,使用zero-order holder可以将连续的低通滤波信号变为离散信号。
零阶保持器(zero-order holder)的作用是在信号传递过程中,把第 T n T_n Tn时刻的采样信号值一直保持到第 T n + 1 T_{n+1} Tn+1时刻的前一瞬时,把第 T n + 1 T_{n+1} Tn+1时刻的采样值一直保持到 T n + 2 T_{n+2} Tn+2时刻,依次类推,从而把一个脉冲序列变成一个连续的阶梯信号。因为在每一个采样区间内连续的阶梯信号的值均为常值,亦即其一阶导数为零,故称为零阶保持器。
Matlab:将具有连续采样时间的输入信号转换为具有离散采样时间的输出信号。
zero-order holder的传递函数为
G
0
(
s
)
=
1
−
e
−
T
s
s
G_0(s) = \frac{1-e^{-Ts}}{s}
G0(s)=s1−e−Ts
通过zero-order holder的低通滤波传递函数为,设
g
(
s
)
=
s
f
(
s
)
g(s) = sf(s)
g(s)=sf(s)
f
ˉ
(
x
)
=
G
0
(
s
)
f
(
s
)
=
[
1
−
e
−
T
s
]
λ
s
(
s
+
λ
)
g
ˉ
(
x
)
=
G
0
(
s
)
g
(
s
)
=
λ
[
1
−
e
−
T
s
]
1
s
+
λ
\bar{f}(x) = G_0(s)f(s) =[1-e^{-Ts}] \frac{\lambda}{s(s+\lambda)}\\ \bar{g}(x) = G_0(s)g(s) =\lambda [1-e^{-Ts}] \frac{1}{s+\lambda}
fˉ(x)=G0(s)f(s)=[1−e−Ts]s(s+λ)λgˉ(x)=G0(s)g(s)=λ[1−e−Ts]s+λ1
其Z变换为
Z变换(英文:z-transformation)可将时域信号(即:离散时间序列)变换为在复频域的表达式,它在离散时间信号处理中的地位,如同拉普拉斯变换在连续时间信号处理中的地位。
f D ( z ) = z − 1 z ⋅ ( 1 − e − λ T ) z ( z − 1 ) ( z − e − λ T ) = 1 − e − λ T z − e − λ T g D ( z ) = λ z − 1 z ⋅ z z − e − λ T = λ z − λ z − e − λ T fD(z) =\frac{z-1}{z} \cdot \frac{(1-e^{-\lambda T})z}{(z-1)(z-e^{-\lambda T})}=\frac{1-e^{-\lambda T}}{z-e^{-\lambda T}}\\ gD(z) =\lambda \frac{z-1}{z} \cdot \frac{z}{z-e^{-\lambda T}}=\frac{\lambda z-\lambda}{z-e^{-\lambda T}} fD(z)=zz−1⋅(z−1)(z−e−λT)(1−e−λT)z=z−e−λT1−e−λTgD(z)=λzz−1⋅z−e−λTz=z−e−λTλz−λ
参考Z变换和拉式变换转换为
Z { e − s T } = Z − k Z { 1 s } = z z − 1 Z { 1 s + λ } = z z − e − λ T Z { λ s ( s + λ ) } = ( 1 − e − λ T ) z ( z − 1 ) ( z − e − λ T ) Z { 1 − e − s T } = z − 1 z Z\begin{Bmatrix} e^{-sT} \end{Bmatrix} = Z^{-k}\\ Z\begin{Bmatrix} \frac{1}{s} \end{Bmatrix} = \frac{z}{z-1}\\ Z\begin{Bmatrix} \frac{1}{s+\lambda} \end{Bmatrix} = \frac{z}{z-e^{-\lambda T}}\\ Z\begin{Bmatrix} \frac{\lambda }{s(s+\lambda )} \end{Bmatrix}=\frac{(1-e^{-\lambda T})z}{(z-1)(z-e^{-\lambda T})}\\ Z\begin{Bmatrix} 1-e^{-sT} \end{Bmatrix}=\frac{z-1}{z} Z{e−sT}=Z−kZ{s1}=z−1zZ{s+λ1}=z−e−λTzZ{s(s+λ)λ}=(z−1)(z−e−λT)(1−e−λT)zZ{1−e−sT}=zz−1
因此,式5.1的Z变换为
[
g
D
(
z
)
Y
a
+
f
D
(
z
)
Y
b
]
θ
=
f
D
(
z
)
τ
\begin{bmatrix} gD(z)Y_a+fD(z)Y_b \end{bmatrix} \theta = fD(z) \tau
[gD(z)Ya+fD(z)Yb]θ=fD(z)τ
%% BLOCK 4
%This program allows to implement filter (18) and then compute Yaf, Ybf and
%the elements of tau_f given in equation (12)
lambda = 30; %Cut-off frequency
%Coefficients for g(z) in (24)
A1=[1 -exp(-lambda*T)];
B1=[lambda -lambda];
%Coefficients of f(z) in (23)
A2=[1 -exp(-lambda*T)];
B2=[0 1-exp(-lambda*T)];
%Calculus of Yaf and Ybf given in (14)(16)
for i=1:2
for j=1:9
Yaf(:,:,i,j) = filter(B1,A1,Ya(:,:,i,j));
Ybf(:,:,i,j) = filter(B2,A2,Yb(:,:,i,j));
end
end
%Calculus of the elements of tau_f given in (12)
tf1 = filter(B2,A2,tau1);
tf2 = filter(B2,A2,tau2);
七、参数识别
7.1 识别框架

- On-line
On-line为驱动器-机械臂部分,通过PD闭环(位置和速度)使用力矩控制机械臂,并将输出力矩和关节角度发送到Off-line。
- Off-line
Off-line为计算机处理部分,对接收到的角度数据进行低通滤波,然后通过差分计算速度。将角度,速度和力矩代入模型中,通过滤波后通过参数识别算法获得动力学参数。
参数识别时需要控制机械臂按一定激励轨迹运动,该轨迹会影响参数识别效果,此处输入激励为
q
d
(
t
)
=
[
sin
(
w
1
t
)
1.5
sin
(
w
2
t
)
+
π
]
[
r
a
d
]
q_d(t) = \begin{bmatrix} \sin (w_1t)\\ 1.5 \sin (w_2t)+\pi \end{bmatrix} \begin{bmatrix} rad \end{bmatrix}
qd(t)=[sin(w1t)1.5sin(w2t)+π][rad]
其中
w
1
=
π
(
r
a
d
/
s
)
w_1 = \pi(rad/s)
w1=π(rad/s),
w
2
=
0.4
π
(
r
a
d
/
s
)
w_2 = 0.4 \pi(rad/s)
w2=0.4π(rad/s)
设计激励轨迹的目的是为了降低矩阵Yr的条件数。可参考:Jan Swevers et al. Optimal Robot Excitation and Identification, IEEE Trans. on Robotics.
机械臂控制必需确保采用PD闭环控制,保证采集数据的可靠性。
7.2 Matlab实现
- 流程
- 程序
%Data loading
clear all
clc
load data01.mat
time = 10; %Experiment time
T = 0.001; %Sampling period
l = time/T; %Number of samples
q1=exps.signals(1,1).values(1:l,1); %Joint position 1
q2=exps.signals(1,2).values(1:l,1); %Joint position 2
u1=exps.signals(1,3).values(1:l,1); %Voltage 1
u2=exps.signals(1,4).values(1:l,1); %Voltage 2
% 根据获取电压计算力
% Conversion to torque according to equation (4) and using the values for Km
%and Ksa provided in Section III: Experimental Platform.
tau1 = u1*0.0897*1.5; %Torque 1
tau2 = u2*0.0551*1; %Torque 2
%Obtain simulation time vector
t=exps.time(1:10000,1);
%% BLOCK 1
%This program describes the filtering procedure to reduce quantization
%error, applied to the first and second joint position measurements.
% 关节1,2角度滤波处理
%Filter coefficients
% 低通滤波
N = 30; % Order,阶数
Fc = 0.07; % Cutoff Frequency,截止频率
flag = 'scale'; % Sampling Flag
win = nuttallwin(N+1); % Create the window vector
b = fir1(N, Fc, 'low', win, flag);% Coefficients using the FIR1 function.
%Filtering for q1 and q2 using the filtfilt function
% 一般来说低通滤波会造成时延,使用零相移数字滤波器可以避免
qf1 = filtfilt(b,1,q1);
qf2 = filtfilt(b,1,q2);
%Plot to show the effect of filtering the position q1 and see the effect of
%quantization error.
figure(1)
plot(t,q1,'b',t,qf1,'r--','LineWidth',3);
legend('Position q_1','Filtered position q_{f1}','Location','northeast')
s = title('{\bf Quantization error}','fontsize',18);
set(s,'Interpreter','latex','FontSize',20)
xlabel('time [s]','FontSize',20),ylabel('Position q_1[rad]','FontSize',20)
set(gca,'fontsize',16),grid
axis([0.61 0.69 1.23 1.244])
%% BLOCK 2
%This program describes the procedure to compute the joint velocity
%estimates using the central difference algorithm given in equation (31)
% 通过中心差分法计算关节速度
%First joint velocity estimation
V1(1) = 0.0;
V2(1) = 0.0;
for j=2:l-1
V1(j)=(qf1(j+1)-qf1(j-1))/(2*T);
V2(j)=(qf2(j+1)-qf2(j-1))/(2*T);
end
V1(l) = V1(l-1);
V2(l) = V2(l-1);
%Set velocity vectors as row vectors
V1 = V1';
V2 = V2';
%% BLOCK 3
%This program shows the construction of matrices Ya and Yb given in
%equation (7),(8)
% Ya,Yb参数
%Value r for approximating the sign function using the hyperbolic tangent
%function
r = 100;
%Matrix Ya
Ya(:,:,1,1) = V1;
Ya(:,:,1,2) = V1.*sin(qf2).*sin(qf2);
Ya(:,:,1,3) = V2.*cos(qf2);
Ya(:,:,1,4) = zeros(l,1);
Ya(:,:,1,5) = zeros(l,1);
Ya(:,:,1,6) = zeros(l,1);
Ya(:,:,1,7) = zeros(l,1);
Ya(:,:,1,8) = zeros(l,1);
Ya(:,:,1,9) = zeros(l,1);
Ya(:,:,2,1) = zeros(l,1);
Ya(:,:,2,2) = zeros(l,1);
Ya(:,:,2,3) = V1.*cos(qf2);
Ya(:,:,2,4) = V2;
Ya(:,:,2,5) = zeros(l,1);
Ya(:,:,2,6) = zeros(l,1);
Ya(:,:,2,7) = zeros(l,1);
Ya(:,:,2,8) = zeros(l,1);
Ya(:,:,2,9) = zeros(l,1);
%Matrix Yb
Yb(:,:,1,1) = zeros(l,1);
Yb(:,:,1,2) = zeros(l,1);
Yb(:,:,1,3) = zeros(l,1);
Yb(:,:,1,4) = zeros(l,1);
Yb(:,:,1,5) = zeros(l,1);
Yb(:,:,1,6) = V1;
Yb(:,:,1,7) = zeros(l,1);
Yb(:,:,1,8) = tanh(r*V1);
Yb(:,:,1,9) = zeros(l,1);
Yb(:,:,2,1) = zeros(l,1);
Yb(:,:,2,2) = -0.5*sin(2*qf2).*V1.*V1;
Yb(:,:,2,3) = sin(qf2).*V1.*V2;
Yb(:,:,2,4) = zeros(l,1);
Yb(:,:,2,5) = -sin(qf2);
Yb(:,:,2,6) = zeros(l,1);
Yb(:,:,2,7) = V2;
Yb(:,:,2,8) = zeros(l,1);
Yb(:,:,2,9) = tanh(r*V2);
%% BLOCK 4
%This program allows to implement filter (18) and then compute Yaf, Ybf and
%the elements of tau_f given in equation (12)
% 低通滤波
lambda = 30; %Cut-off frequency
%Coefficients for g(z) in (24)
A1=[1 -exp(-lambda*T)];
B1=[lambda -lambda];
%Coefficients of f(z) in (23)
A2=[1 -exp(-lambda*T)];
B2=[0 1-exp(-lambda*T)];
%Calculus of Yaf and Ybf given in (14)(16)
for i=1:2
for j=1:9
Yaf(:,:,i,j) = filter(B1,A1,Ya(:,:,i,j));
Ybf(:,:,i,j) = filter(B2,A2,Yb(:,:,i,j));
end
end
%Calculus of the elements of tau_f given in (12)
tf1 = filter(B2,A2,tau1);
tf2 = filter(B2,A2,tau2);
%% BLOCK 5
%Construction of the elements of Yf and tau_f given in (32)
% 构建Yf和tau_f,公式Yf * theta = tau_f,theta是动力学参数
for i=1:9
sum1 = Yaf(:,:,1,i)+Ybf(:,:,1,i);
sum2 = Yaf(:,:,2,i)+Ybf(:,:,2,i);
Yf(:,i) = [sum1;sum2];
end
tf=[tf1;tf2];
%% BLOCK 6
%Implementation of the LS algorithm
%Calculus of the parameter vector theta
% 最小二乘解求解动力学参数
theta = (Yf'*Yf)^(-1)*(Yf'*tf);
%Alternative procedure to obtain the time evolution plot of the parameter
%estimates
% step by step 展示标定参数的变化
for i=1:l
Yff(:,:,i) = [Yf(i,:);Yf(10000+i,:)];
tff(:,:,i) = [tf1(i);tf2(i)];
end
P = zeros(9,9); %Initialization
Z = zeros(9,1); %Initialization
%Implementation of equation (32) step by step
for i=1:l
P = P + (Yff(:,:,i)')*Yff(:,:,i);
Z = Z + (Yff(:,:,i)')*tff(:,:,i);
thetai(:,i) = P^(-1)*Z;
end
%Numerical visualization of the parameter estimates
clc
theta
%% BLOCK 7
%Code to generate the graphs included in the paper for the parameter
%estimates
figure(2)
subplot(3,3,1)
plot(t,thetai(1,:),'LineWidth',1.5);
s = title('$\hat{\theta}_1$','fontsize',14);
set(s,'Interpreter','latex','FontSize',14)
set(gca,'fontsize',12),grid
axis([0 10 0 0.05]);
subplot(3,3,2)
plot(t,thetai(2,:),'LineWidth',1.5);
s = title('$\hat{\theta}_2$','fontsize',14);
set(s,'Interpreter','latex','FontSize',14)
set(gca,'fontsize',12),grid
axis([0 10 -0.01 0.01]);
subplot(3,3,3)
plot(t,thetai(3,:),'LineWidth',1.5);
s = title('$\hat{\theta}_3$','fontsize',14);
set(s,'Interpreter','latex','FontSize',14)
set(gca,'fontsize',12),grid
axis([0 10 0 0.005]);
subplot(3,3,4)
plot(t,thetai(4,:),'LineWidth',1.5);
s = title('$\hat{\theta}_4$','fontsize',14);
set(s,'Interpreter','latex','FontSize',14)
set(gca,'fontsize',12),grid
axis([0 10 0 0.002]);
subplot(3,3,5)
plot(t,thetai(5,:),'LineWidth',1.5);
s = title('$\hat{\theta}_5$','fontsize',14);
set(s,'Interpreter','latex','FontSize',14)
set(gca,'fontsize',12),grid
axis([0 10 0 0.18]);
subplot(3,3,6)
plot(t,thetai(6,:),'LineWidth',1.5);
s = title('$\hat{\theta}_6$','fontsize',14);
set(s,'Interpreter','latex','FontSize',14)
set(gca,'fontsize',12),grid
axis([0 10 -0.004 0.008]);
subplot(3,3,7)
plot(t,thetai(7,:),'LineWidth',1.5);
s = title('$\hat{\theta}_7$','fontsize',14);
set(s,'Interpreter','latex','FontSize',14)
xlabel('time [s]','FontSize',12)
set(gca,'fontsize',12),grid
axis([0 10 -0.02 0.02]);
subplot(3,3,8)
plot(t,thetai(8,:),'LineWidth',1.5);
s = title('$\hat{\theta}_8$','fontsize',14);
set(s,'Interpreter','latex','FontSize',14)
xlabel('time [s]','FontSize',12)
set(gca,'fontsize',12),grid
axis([0 10 -0.01 0.04]);
subplot(3,3,9)
plot(t,thetai(9,:),'LineWidth',1.5);
s = title('$\hat{\theta}_9$','fontsize',14);
set(s,'Interpreter','latex','FontSize',14)
xlabel('time [s]','FontSize',12)
set(gca,'fontsize',12),grid
axis([0 10 0 0.08]);
7.3 结果

参考
《机器人学导论》

本文介绍了一种基于Matlab的二自由度机械臂动力学参数识别过程,包括参数分离、力矩测量、速度计算及数据滤波等步骤,通过实验平台获取数据并利用最小二乘法计算动力学参数。
3708





