一、公理化定义
即概率的:统计定义、古典定义、几何定义
二、统计定义
1.定义

注:其中(3)运用的是概率的有限可加性
(4)
(5)

2.
优点:直观,适用于未知情况
缺点:大量重复试验,不便于实际运用;不够严谨精确,不便于理论运用。
三、古典定义:(有限性、等可能性)
例题:
补充:




例:
A(4,2)=4!/2!=4·3=12
C(4,2)=4!/(2!·2!)=4·3/(2·1)=6

古典概型的基本模型一、:摸球模型
(1) 无放回地摸球
问题1: 设袋中有4 只白球和 2只黑球, 现从袋中无
放回地依次摸出2只球,求这2只球都是白球的概率.
(2) 有放回地摸球
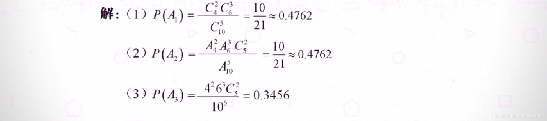
问题2 设袋中有4只红球和6只黑球,现从袋中有放
回地摸球3次,求前2次摸到黑球、第3次摸到红球
的概率.
古典概型的基本模型二:球放入杯子模型
(1)杯子容量无限
问题1 把 4 个球放到 3个杯子中去,求第1、2个
杯子中各有两个球的概率, 其中假设每个杯子可
放任意多个球.


(2) 每个杯子只能放一个球
问题2 把4个球放到10个杯子中去,每个杯子只能
放一个球, 求第1 至第4个杯子各放一个球的概率.

四、几何定义



这篇博客介绍了概率论中事件概率的三种定义:统计定义、古典定义和几何定义。统计定义适用于未知情况但实验需求大,古典定义基于等可能性,而几何定义则通过几何方式解释概率。文中通过实例详细阐述了每种定义,并提供了诸如摸球和球放入杯子等典型问题的解决方案。
1万+

被折叠的 条评论
为什么被折叠?



