1.信息量

发生概率越小,信息量越大;发生概率越大,信息量越小
2.熵
熵(entropy):上面的Ⅰ(x)是指在某个概率分布之下,某个概率值对应的信息量的公式.那么我们要知道这整个概率分布对应的信息量的平均值.这个平均值就叫做随机变量x的熵


基于图来看
1.当p=0或者p=1的时候,随机变量可以认为是没有不确定性.
2.当p=0.5的时候,H(p)=1,随机变量的不确定性最大.
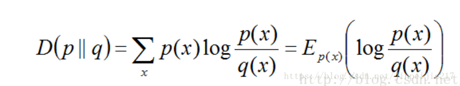
2. 相对熵
相对熵又称互熵,交叉熵,鉴别信息,Kullback熵,Kullback-Leible散度(即KL散度)等。
设p(x)和q(x)是取值的两个概率概率分布,则p对q的相对熵为:

3. 互信息
互信息(Mutual Information)是信息论里一种有用的信息度量,它可以看成是一个随机变量中包含的关于另一个随机变量的信息量,或者说是一个随机变量由于已知另一个随机变量而减少的不确定性。
两个随机变量X,Y的互信息,定义为X,Y的联合分布和独立分布乘积的相对熵。

从这个公式可以知道,X的熵减去X和Y的互信息之后,可以得到在Y给定的情况下X的熵。
3351

被折叠的 条评论
为什么被折叠?



