滑模控制刚入门菜鸟一枚,找个实例练练手。参考刘金琨老师的《滑模变结构控制MATLAB仿真》中的基于趋近律的滑模鲁棒控制,对部分地方做出了修改。
考虑如下的被控对象:
,其中,b>0,d(t)为外部干扰。
设计滑模面为:
,其中![]()
求滑模面的一阶导数:![]()
采用指数趋近律:![]()
可以计算出系统所需的控制器(过程略):
![]()
但是由于干扰d未知,上述控制器无法实现,书中采用干扰的界来设计控制器。
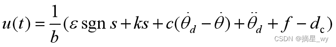
设dc为干扰d的界相关的正实数,此时控制器为:
![]()
利用Lyapunov第二法证明系统稳定性,
设计Lyapunov函数:
,对时间进行微分,得到:![]()
要使系统稳定就得使

作者作为滑模控制入门者,参考刘金琨老师书籍进行基于趋近律的滑模鲁棒控制实例练习。考虑被控对象,设计滑模面与控制器,用Lyapunov第二法证明稳定性,将书中符号函数改为饱和函数减小抖震,给出系统及控制率参数取值和代码,运行结果显示输出拟合情况较理想。
最低0.47元/天 解锁文章
1947





