此篇讲ACC的被控系统的分析。
cruise物理模型建立
在现代车辆的反馈控制系统中,自动巡航控制一个典型的例子。巡航控制系统的目的是在不受外界干扰(如风或坡度变化)的情况下保持恒定的车速。可以通过测量测速,将其与期望速度或参考速度进行比较,并根据控制规律自动调节油门刹车来实现。

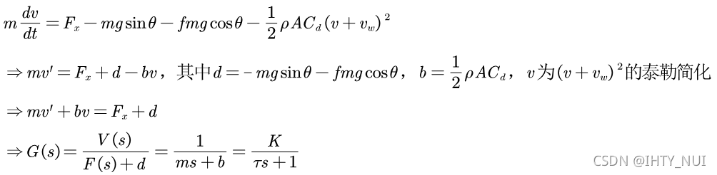
这里我们考虑一个简单的车辆动力学模型,如上面的受力分析图。质量为m的车辆收到驱动力F的作用,阻力则为在道路阻力、坡度阻力、轮胎阻力和风阻等,对于这个简化的模型,我们将假定我们可以直接控制该力,而忽略产生该力的动力总成,轮胎等影响。假定由于滚动摩擦和风阻而产生的阻力随车速线性变化(否则传递函数具有非线性特质),作用方向与车辆运动方向相反。

这是一个一阶质量阻尼器系统,传递函数中的 d d d 可看作扰动(即路面因素),且我们就可以根据上式得到:

本文探讨了自动巡航控制系统(ACC)的物理模型,包括车辆动力学简化模型和一阶质量阻尼器系统的概念。介绍了如何通过PI控制器设计实现恒定车速,并指出实际系统比简化模型复杂得多。此外,还概述了ACC的跟随模式,当前方有车时如何调整车距以维持安全行驶。
最低0.47元/天 解锁文章

405

被折叠的 条评论
为什么被折叠?



