
作者:林鹏飞、椰椰
编辑:李宝珠
本文已获得林鹏飞老师授权,转载请联系本公众号
2025 CCF 全球高性能计算学术大会上,来自中国科学院大气物理研究所的林鹏飞研究员围绕「一种提升全球海表面温度短期预报精度的深度学习模型(CoTCN)研究」进行专题分享。本文为林鹏飞研究员分享的精华实录。
在 2025 CCF 全球高性能计算学术大会上,中国科学院大气物理研究所林鹏飞研究员团队报告了一项重要研究成果。该团队成功研发出耦合 Transformer 与 CNN 框架的 CoTCN 深度学习模型,在全球海表面温度短期预报领域取得突破,为海洋环境预报提供了关键技术支撑。
HyperAI超神经在不违原意的前提下,对林鹏飞研究员的深度分享进行了整理汇总,以下为演讲实录。
创新架构解决多尺度建模难题
海洋表面温度变化与大气环流、陆地降水等密切相关,对远洋航运安全、海洋渔业生态以及海洋环境监测具有重要影响。然而,传统动力预报模式存在运行速度慢、部署不便等问题,而单一架构的人工智能(AI)模型又面临局部细节缺失或全局依赖建模困难等局限。特别是在黑潮、湾流等中尺度涡旋活跃区域,已经发现现有动力和 AI 预报的海表面温度误差在涡旋活跃区比全球平均至少高出 40%。
* 以过去所做的长短期记忆网络(LSTM)为例,虽能够有效捕捉 SST 的时间序列演变特征,克服传统神经网络的梯度消失问题,实现快速、精准的预测。但总体依然缺乏物理解释,对极端事件的预报依赖训练数据覆盖度。
doi: 10.3878/j.issn.1006-9895.2302.22128
演讲报告了新构建的 CoTCN 模型,CoTCN 采用双分支并行架构,巧妙融合了Transformer 的全局建模能力和 CNN 的局部特征提取优势。
分支一基于 Swin Transformer 构建多尺度特征金字塔,从 720×1440 分辨率逐步下采样至 45×90,通过跳跃连接整合不同尺度信息。
分支二采用 CNN 编码-解码结构专门负责保持空间连续性和局部细节。两个分支通过通道注意力机制实现自适应融合,模型能够自动判断在不同海域、不同尺度下应该更依赖全局信息还是局部细节。
两个分支相互配合,凸显了 CNN 和 Transformer 的优点,提升了预报精度。

Coupled Transformer–CNN Network(CoTCN)架构
性能全面超越现有模型
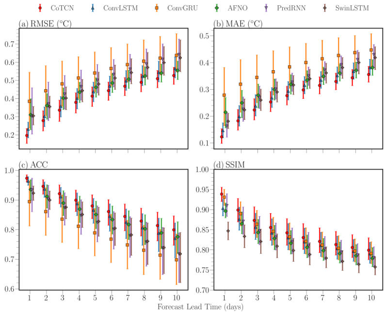
研究基于 NOAA OISST v2 全球海洋数据进行了全面验证,数据覆盖 1982-2022 年共 40 年时间序列。在国产 DCU 算力平台上的测试结果显示,CoTCN 与 ConvLSTM、ConvGRU、AFNO、PredRNN、SwinLSTM 等主流模型相比展现出明显优势。
在预报精度方面,CoTCN 的 1 天预报均方根误差约为 0.2°C,10 天预报时相关系数仍保持在 0.8 以上。从预报指标对比来看,CoTCN 在均方根误差(RMSE)、平均绝对误差(MAE)、相关系数(ACC)、结构相似性指数(SSIM)等评估指标上表现稳定。更重要的是,该模型在复杂海域表现尤为突出,在黑潮、墨西哥湾流等涡旋活跃区域的预报误差降低了 15-60%,而在热带太平洋、大西洋等相对平静的海域,各模型表现相对接近。

不同模型预报指标变化
国产算力支撑高效训练
该研究完全基于国产 DCU 进行训练和验证,在 32 张 DCU、单卡 16GB 内存的测试环境下完成了与多种主流模型的对比实验。在训练效率方面,CoTCN 表现优异,在 68M 参数规模下仅需 5.93 小时完成训练,而参数量达 106M 的 AFNO 模型需要 8.33 小时,ConvGRU 和 PredRNN 模型由于 RNN 序列限制分别需要 11.28 小时和 25.04 小时。这不仅验证了 CoTCN 模型的先进性,也证明了架构设计比单纯增加参数量更为关键,同时展现了国产高性能计算平台在支撑前沿科学研究方面的重要作用。
关于林鹏飞研究员
林鹏飞是中国科学院大气物理研究所研究员,主要从事海洋模式研发与应用研究,研发了我国国产的全球海洋环流模式 LICOM 及其耦合模式,全球海洋模式水平分辨率最高达 1km。基于 LICOM 建立了高分辨率海洋环境预报系统,结合人工智能,开展智能动力集成预报研究。利用国产气候系统模式开展了我国自己的超级集合模拟试验,深入研究了气候系统年代际变化。以第一或通讯作者在 Nature Communications、Science Bulletin 等期刊发表 50 余篇论文。主持国家重点研发计划项目课题、中国科学院先导课题,参与国家自然科学基金集成项目和重大项目。获中国计算机学会 2024、2025 超算年度最佳应用奖。入选 2024 年度中国十大气象科技进展和中国海洋与湖沼十大科技进展。
论文信息:
1. A Coupled Transformer–CNN Network: Advancing Sea Surface Temperature Forecast Accuracy. IEEE Transactions on Geoscience and Remote Sensing, 63, 1–14. https://doi.org/10.1109/TGRS.2025.3574990
2. A New Transformer Network for Short-Term Global Sea Surface Temperature Forecasting: Importance of Eddies. Remote Sensing, 17(9), 1507.
https://doi.org/10.3390/rs17091507
3. 利用长短期记忆网络 LSTM 对赤道太平洋海表面温度短期预报. 大气科学, 48(2), 745–754. https://doi.org/10.3878/j.issn.1006-9895.2302.22128
一键获取 2023—2024 年 AI4S 领域高质量论文及深度解读文章 ⬇️

往期推荐


戳“阅读原文”,免费获取海量数据集资源!




被折叠的 条评论
为什么被折叠?



