线性代数是机器学习领域当中非常重要的基础知识,但是很遗憾的是,在真正入门之前很少有人能认识到它的重要性,将它学习扎实,在入门之后,再认识到想要补课也不容易。
而我也是一样,学完课程之后就没怎么看线性代数了,所以现在开始重新学习这门课程。
本文全部转载于这篇文章
因为微信查看文章较为麻烦,因此将其转载至博客以便回顾。
行列式定义
维基百科中的定义是,行列式是一个函数,将一个n * n的矩阵映射到一个标量。这个标量表示经过这个矩阵所代表的的线性变幻之后,矩阵的“体积”在空间当中发生的变化。
也就是说,行列式的输入是一个n * n的方阵,输出是一个具体的数。我们把行列式用det来表示,假设A是某一个n * n的矩阵,那么det(A)即表示该矩阵的行列式。
行列式计算
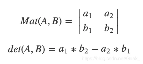
二阶行列式
令

那么,

即为对角线乘积的差。
再来看三阶的情况:
令

那么

光看公式非常复杂,如果我们把所有正项的乘积用红线相连,把负项的成绩用蓝线相连,那么我们可以得到下面这张图。

其实本质上来说,还是对角线的乘积差,即所有正向(从左上往右下)对角线的乘积和减去反向(从右上往左下)对角线的乘积和。
我们列出了二项以及三项行列式的式子,自然而然,我们下面就要写出n项行列式的计算方法。但在此之前,我们先要引入另外一个相关的概念——逆序数。
逆序数
逆序数本身主要就是应用在行列式的计算当中,不过除此之外在面试题当中经常出现,许多面试题会让求职者写出或口述逆序数的计算算法。关于这点,会在之后的算法专栏当中单独讲解。
假设我们有一个数组A,它当中有n个各不相同的元素。在理想情况下,A当中的元素应该都是有序的。比如说都是从小到大排列,但理想情况很少发生。大多数情况下,数组当中的元素都是无序的。
假如我们想要知道,数组当前的排序距离理想情况的升序究竟有多大的差距。很正常地可以想到,我们可以遍历这个数组当中所有Ai和Aj的组合,看看究竟有多少数的次序有误。在这个序列所有两两元素的组合当中,有误的次序的组合总数就叫做逆序数。
光看概念有些拗口,但是直接看代码的话其实非常简单:
reverse = 0
for i in range(n):
for j in range(i):
if A[i] < A[j]:
reverse += 1
也就是说我们对于数组当中的每一个元素,都计算出了排在它前面并且比它大的元素个数。考虑一般情况,假设A数组的排列为p1,p2,p3,…,pn,对于每一个pi我们都求出它前面比较大的元素个数,定义为ti,那么全体的逆序数之和:

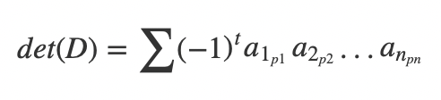
n阶行列式
我们再回到n阶行列式来,理解了逆序数的概念之后,我们就很方便地可以写出n阶行列式的公式了。首先,先定义出矩阵D,是一个n阶的方阵:

假设自然数1,2,3…n的一个排列为p1,p2,p3,…,pn,这个排列的逆序数为t。那么我们可以写出D的行列式:

由于长度为n的序列的全排列一共有n!种,所以n阶方阵的行列式一共含有n!项。
除此之外,行列式还有另外一种计算方法。
在n阶行列式当中,把(i,j)元素所在的行和列的所有元素全部去除之后,剩下的新的n-1阶的行列式称为(i,j)元的代数余子式,记为Mij列入4阶行列式:

其中(2,2)元的代数余子式为:

代数余子式可以用来表示行列式。
A矩阵的行列式可以写成

证明也很简单,其实这只不过是行列式表达式的一个变形。我们用三阶行列式举例:

我们把这些值用代数余子式表示出来:

化简一下,显然就是上面公式的结果。
克拉默法则
行列式的定义和计算都不太直观,那么这么一个相对比较复杂的概念究竟有什么作用呢?除了用在机器学习的模型当中之外,另一个非常经典的用途就是判断线性方程组是否有解。
对于一个含有n个未知数的n个线性方程组

它的解可以用n阶行列式表示。
如果这个n阶的行列式不等于0,即:

那么这个n阶方程组有唯一解,并且它的解为:

其中Dj(j=1,2,…n)是把D中第j列替换成方程常数项得到的新的行列式:

行列式除了上面提到的内容之外,还有很多很好用的性质以及一些变种的计算方法。不过,对于算法领域的帮助不多,所以这里不多枚举,感兴趣的同学可以自己查阅相关资料。
行列式几何意义
行列式除了代数上的作用之外,也是有它的几何意义的。
以二阶行列式举例,假设我们有A,B两个向量,其中A向量写作(a1,b1),B向量写作(b1,b2),AB两个向量组合成的矩阵写作:

如果我们将它画出来,它其实表示这两个向量的平行四边形面积。

所以,当我们把行列式当中的某一行或者是某一列同时乘上一个系数k之后,它的行列式增大了k倍。

代码实现
从上文行列式的定义很容易得出结论,行列式的计算比较复杂,如果我们自己实现,需要的代码至少在100行以上。不过好在Python的Numpy库当中为我们提供了非常丰富的矩阵相关操作,包括行列式的计算在内,因此,我们可以非常简单的实现行列式的计算。
如果没有装过Numpy的,可以通过pip很方便地安装:
pip install numpy
通过调用numpy.linalg中的det函数,我们可以直接求出矩阵行列式的值。

线性代数在机器学习中的应用
本文深入探讨了线性代数在机器学习领域的重要性,详细解析了行列式的定义、计算方法及其几何意义,介绍了逆序数的概念,并通过克拉默法则展示了行列式在判断线性方程组解的存在性的应用。
1730





