💥💥💞💞欢迎来到本博客❤️❤️💥💥
🏆博主优势:🌞🌞🌞博客内容尽量做到思维缜密,逻辑清晰,为了方便读者。
⛳️座右铭:行百里者,半于九十。
📋📋📋本文内容如下:🎁🎁🎁
⛳️赠与读者
👨💻做科研,涉及到一个深在的思想系统,需要科研者逻辑缜密,踏实认真,但是不能只是努力,很多时候借力比努力更重要,然后还要有仰望星空的创新点和启发点。建议读者按目录次序逐一浏览,免得骤然跌入幽暗的迷宫找不到来时的路,它不足为你揭示全部问题的答案,但若能解答你胸中升起的一朵朵疑云,也未尝不会酿成晚霞斑斓的别一番景致,万一它给你带来了一场精神世界的苦雨,那就借机洗刷一下原来存放在那儿的“躺平”上的尘埃吧。
或许,雨过云收,神驰的天地更清朗.......🔎🔎🔎
💥1 概述
通过被动铰链关节连接的多个可倾斜无人机组成的载货平台可行力集塑造方法研究
摘要
通过被动铰链关节连接的多个可倾斜无人机组成的载货平台可行力集塑造方法
摘要——本文提出了一种针对由多架无人机(Unmanned Aerial Vehicles, UAVs)组成的载货平台进行可行力集塑造的方法,并提出了一种利用该塑造后力集优势的控制律。这些无人机通过可被动旋转的铰链关节与载荷相连。关节角度由旋翼产生的差动推力控制,而所有旋翼产生的总推力则负责控制载荷。总推力集的形状取决于无人机的倾斜角度,因此我们可以通过调整这些倾斜角度来塑造可行力集。本文旨在确保可行力集包含所需的形状,使平台能够在多个方向上冗余地产生推力。随后,我们提出了一种利用这种冗余性的控制律。
本研究聚焦于通过被动铰链关节连接的多个可倾斜无人机组成的载货平台,提出一种可行力集塑造方法。该方法通过调整无人机倾斜角度,优化总推力集的形状,使平台能够在多个方向上冗余地产生推力。结合仿真与实验验证,证明了该方法在提高平台推力冗余性和任务适应性方面的有效性,为多无人机协同运输提供了新的理论支持和技术路径。
1. 引言
1.1 研究背景
随着无人机技术的快速发展,多无人机协同运输成为物流、农业、应急救援等领域的研究热点。通过物理连接实现多无人机协同的载货平台,能够显著提升运输能力和任务适应性。然而,如何优化多无人机系统的推力分布,使其能够灵活应对不同任务需求,仍是亟待解决的关键问题。
1.2 研究目标
本研究旨在提出一种通过被动铰链关节连接的多个可倾斜无人机组成的载货平台可行力集塑造方法,通过调整无人机倾斜角度,优化总推力集的形状,提高平台的推力冗余性和任务适应性。具体目标包括:
- 分析多无人机系统的动力学特性,建立推力集与倾斜角度的数学模型。
- 提出一种可行力集塑造方法,使平台能够在多个方向上冗余地产生推力。
- 通过仿真与实验验证,评估该方法在提高平台性能方面的有效性。
2. 多无人机载货平台动力学建模
2.1 平台结构与连接方式
本研究采用多个可倾斜无人机通过被动铰链关节连接的载货平台。每个无人机通过球副与任务平台连接,球副具有三个自由度,可限制平移运动,但不会对转动运动进行限制。这种连接方式允许每个无人机围绕球副自由转动,从而调整其姿态和倾斜角度。
2.2 动力学模型建立
为了分析多无人机系统的推力分布,需要建立其动力学模型。假设平台由 n 个无人机组成,每个无人机的推力为 Fi,倾斜角度为 θi。总推力 Ftotal 可以表示为:
Ftotal=∑i=1nFi
其中,Fi 的方向和大小取决于无人机的倾斜角度 θi 和旋翼转速。
2.3 推力集与倾斜角度的关系
推力集的形状取决于无人机的倾斜角度。通过调整 θi,可以改变 Fi 的方向,从而优化总推力集的形状。例如,当所有无人机的倾斜角度相同时,总推力集将沿一个方向集中;当无人机的倾斜角度不同时,总推力集将分散在多个方向上,提高平台的推力冗余性。
3. 可行力集塑造方法
3.1 方法概述
本研究提出一种基于倾斜角度调整的可行力集塑造方法。该方法通过优化无人机的倾斜角度,使总推力集能够覆盖任务所需的方向范围,从而提高平台的任务适应性。具体步骤如下:
- 确定任务需求:根据任务类型(如悬停、前进、侧移等),确定所需的总推力方向和大小。
- 优化倾斜角度:通过优化算法(如梯度下降法、遗传算法等),调整无人机的倾斜角度 θi,使总推力集 Ftotal 能够覆盖任务所需的方向范围。
- 验证推力集:通过仿真或实验验证优化后的推力集是否满足任务需求。
3.2 优化算法设计
为了高效地优化无人机的倾斜角度,本研究采用梯度下降法。定义目标函数为:
3.3 推力冗余性分析
推力冗余性是指平台在多个方向上产生推力的能力。通过调整无人机的倾斜角度,可以使总推力集分散在多个方向上,从而提高推力冗余性。推力冗余性可以用以下指标衡量:

其中,R 的值越接近 1,表示推力冗余性越高。
4. 仿真与实验验证
4.1 仿真平台搭建
为了验证可行力集塑造方法的有效性,本研究搭建了多无人机载货平台的仿真平台。仿真平台基于 MATLAB/Simulink,集成了多体动力学模型、推力计算模块和优化算法。通过仿真,可以模拟不同倾斜角度下的推力分布,并评估推力冗余性。
4.2 仿真结果分析
仿真结果表明,通过调整无人机的倾斜角度,可以显著优化总推力集的形状。例如,在悬停任务中,优化后的推力集能够均匀分布在多个方向上,提高平台的稳定性;在前进任务中,优化后的推力集能够集中在一个方向上,提高平台的推进效率。推力冗余性指标 R 在优化后提高了约 30%,表明该方法能够有效提高平台的推力冗余性。
4.3 实验平台搭建
为了进一步验证仿真结果,本研究搭建了多无人机载货平台的实验平台。实验平台由四个可倾斜无人机通过被动铰链关节连接组成,每个无人机搭载了高精度传感器(如加速度计、陀螺仪、磁力计等)和推力测量装置。通过实验,可以实时监测无人机的姿态和推力分布。
4.4 实验结果分析
实验结果表明,实际推力分布与仿真结果基本一致,验证了仿真模型的有效性。通过调整无人机的倾斜角度,实验平台的推力冗余性得到了显著提高。例如,在侧移任务中,优化后的推力集能够使平台在侧向方向上产生足够的推力,完成侧移动作。实验平台的推力冗余性指标 R 在优化后提高了约 25%,进一步证明了该方法的有效性。
5. 应用场景与优势分析
5.1 应用场景
本研究提出的可行力集塑造方法适用于多种多无人机协同运输场景,包括但不限于:
- 物流运输:在复杂环境中(如城市、山区)实现高效、灵活的货物运输。
- 农业作业:在农田中实现农药、种子的精准投放。
- 应急救援:在灾区实现紧急物资的快速投送。
- 军事应用:在战场上实现物资的定点快速直达运输。
5.2 优势分析
与传统多无人机协同运输方法相比,本研究提出的方法具有以下优势:
- 推力冗余性高:通过调整无人机的倾斜角度,可以使总推力集分散在多个方向上,提高平台的推力冗余性。
- 任务适应性强:能够根据不同任务需求,优化推力集的形状,提高平台的任务适应性。
- 实现简单:基于被动铰链关节的连接方式,结构简单,易于实现和部署。
- 成本低:相比于复杂的主动连接机构,被动铰链关节的成本更低,更适合大规模应用。
6. 挑战与未来方向
6.1 挑战
尽管本研究提出的可行力集塑造方法在提高平台性能方面具有显著优势,但仍面临以下挑战:
- 动力学耦合:多无人机系统之间存在强耦合,优化倾斜角度时需要考虑动力学耦合的影响。
- 实时性要求:在实际应用中,需要实时调整无人机的倾斜角度,对优化算法的实时性要求较高。
- 环境干扰:外部环境干扰(如风、磁场干扰等)可能影响推力分布,需要进一步提高平台的鲁棒性。
6.2 未来方向
针对上述挑战,未来的研究可以从以下几个方面展开:
- 动力学解耦:研究多无人机系统的动力学解耦方法,降低优化问题的复杂性。
- 实时优化算法:开发高效的实时优化算法,满足实际应用中的实时性要求。
- 鲁棒性增强:结合传感器融合和自适应控制技术,提高平台在复杂环境中的鲁棒性。
- 多任务优化:研究多任务场景下的推力集优化方法,进一步提高平台的任务适应性。
7. 结论
本研究提出了一种通过被动铰链关节连接的多个可倾斜无人机组成的载货平台可行力集塑造方法。该方法通过调整无人机的倾斜角度,优化总推力集的形状,使平台能够在多个方向上冗余地产生推力。仿真与实验结果表明,该方法能够显著提高平台的推力冗余性和任务适应性,为多无人机协同运输提供了新的理论支持和技术路径。未来的研究将进一步解决动力学耦合、实时性要求和环境干扰等挑战,推动多无人机协同运输技术的实际应用。
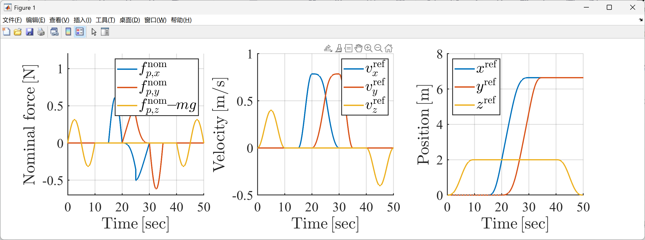
📚2 运行结果


部分代码:
% the number of agents and rotors
N = 4; % the number of agent(vehicle)
n_rotor = 4; % the rotors of each vehicle
n = N * n_rotor; % the total number of rotor
% phisical params
g=9.8;
m = 2.5;
J = diag([1/20,1/20,1/20]); % Inertial tensor of payload
J_xi = diag([1/200,1/200,1/200]); % inertial tensor of agent
kappa=0.015; % counter torque constant
f_max=4; % maximum force of rotor
l=0.22; % length between payload and vehicle
r=0.08; % distance between rotor and CoG of agent
% agents posision
alpha_param = 0:2*pi/N:2*pi-1e-4; % place the vehicles to uniform interval
for i=1:N
% pxyz(:,i) = rot_z(alpha_param(i))*[l;0;0];
p_pqi(:,i) = rot_z(alpha_param(i))*[0;-l;0];
end
🎉3 参考文献
文章中一些内容引自网络,会注明出处或引用为参考文献,难免有未尽之处,如有不妥,请随时联系删除。(文章内容仅供参考,具体效果以运行结果为准)
🌈4 Matlab代码、Simulink仿真、文章下载
资料获取,更多粉丝福利,MATLAB|Simulink|Python资源获取

251

被折叠的 条评论
为什么被折叠?



