💥💥💞💞欢迎来到本博客❤️❤️💥💥
🏆博主优势:🌞🌞🌞博客内容尽量做到思维缜密,逻辑清晰,为了方便读者。
⛳️座右铭:行百里者,半于九十。
⛳️赠与读者
👨💻做科研,涉及到一个深在的思想系统,需要科研者逻辑缜密,踏实认真,但是不能只是努力,很多时候借力比努力更重要,然后还要有仰望星空的创新点和启发点。当哲学课上老师问你什么是科学,什么是电的时候,不要觉得这些问题搞笑。哲学是科学之母,哲学就是追究终极问题,寻找那些不言自明只有小孩子会问的但是你却回答不出来的问题。建议读者按目录次序逐一浏览,免得骤然跌入幽暗的迷宫找不到来时的路,它不足为你揭示全部问题的答案,但若能让人胸中升起一朵朵疑云,也未尝不会酿成晚霞斑斓的别一番景致,万一它居然给你带来了一场精神世界的苦雨,那就借机洗刷一下原来存放在那儿的“躺平”上的尘埃吧。
或许,雨过云收,神驰的天地更清朗.......🔎🔎🔎
💥1 概述
基于粒子群优化算法(Particle Swarm Optimization, PSO)与遗传算法(Genetic Algorithm, GA)进行PID控制器参数整定的研究,主要关注如何利用这两种智能优化方法自动调整比例(P)、积分(I)、微分(D)参数,以实现对控制系统性能的优化。以下是这种研究方向的概览:
粒子群优化是一种受鸟类群集行为启发的优化技术。在PID参数整定的应用中,每个粒子代表一组可能的PID参数(P、I、D),算法通过迭代更新每个粒子的位置(即PID参数组合),旨在找到使系统性能指标(如稳态误差、响应时间和超调量等)最优的参数设置。粒子根据自身的最佳位置和整个群体的最佳位置来调整其搜索方向和速度,以探索全局最优解。
遗传算法则是模拟自然选择和遗传机制的全局优化技术。在PID参数优化场景下,每组PID参数被编码为一个染色体,组成一个种群。通过选择、交叉(杂交)和变异等遗传算子,种群逐步进化,不断产生更适应环境(即能更好地满足控制系统性能要求)的新个体。最终,经过多代进化后,能够找到接近最优解的PID参数配置。
- 比较:PSO通常被认为计算效率更高,收敛速度快,但可能较容易陷入局部最优;而GA则具有较强的全局搜索能力,能有效避免局部最优问题,但其计算成本相对较高。
- 整合:研究者有时会探索结合PSO和GA的优势,形成混合算法(例如PSOGA),在PID参数优化中既保持较快的搜索速度,又保持良好的全局搜索能力。这可以通过在算法的不同阶段或针对不同参数采用不同的优化策略来实现。
一、PID参数整定概述
PID控制器通过比例(Kp)、积分(Ki)和微分(Kd)参数的组合实现系统控制。传统整定方法(如Ziegler-Nichols法)依赖经验公式和试错,难以应对非线性、时变系统。智能优化算法(PSO、GA)通过全局搜索能力实现参数自动优化,提升控制性能。
二、算法基本原理
1. 粒子群算法(PSO)
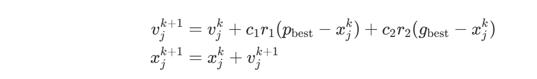
- 原理:模拟鸟群觅食行为,将解空间中的候选解视为“粒子”。每个粒子通过跟踪个体历史最优(pbest)和群体历史最优(gbest)更新位置(PID参数)和速度:

其中 c1,c2 为学习因子,r1,r2 为随机数。
- 特点:
- 参数少、计算高效,适合实时优化;
- 易陷入局部最优,需改进惯性权重或变异策略。
2. 遗传算法(GA)
- 原理:模拟生物进化,通过选择、交叉、变异操作优化种群:
- 编码:PID参数编码为染色体(实数或二进制);
- 适应度评估:以系统性能指标(如ITSE、IAE)评价解的质量;
- 遗传操作:保留高适应度个体,引入交叉和变异维持多样性。
- 特点:
- 全局搜索能力强,适合多峰优化问题;
- 计算成本高,参数选择(交叉/变异概率)敏感。
三、PID参数整定方法研究现状
1. 基于PSO的整定方法
- 实现流程:
- 初始化粒子群(每个粒子对应一组PID参数);
- 仿真系统响应,计算适应度(如绝对误差积分);
- 更新粒子位置,迭代至收敛。
- 改进策略:
- 动态惯性权重:加速后期收敛;
- 混合变异算子:避免局部最优;
- 结合Z-N法:用传统方法初始化粒子,减少迭代次数。
- 应用案例:
- 直流电机控制:PSO整定的PID超调量降低42%,调节时间缩短0.52s;
- 手术机器人:力控制误差积分减少30%。
2. 基于GA的整定方法
- 实现流程:
- 生成初始种群,设定参数范围(如 Kp∈[0,300]Kp∈[0,300]);
- 选择操作(如锦标赛选择),交叉/变异生成新种群;
- 重复至满足终止条件(如最大迭代次数)。
- 改进策略:
- 自适应交叉/变异概率:平衡探索与开发;
- 神经网络辅助:用NN辨识系统模型,提升GA效率。
- 应用案例:
- 化工过程控制:GA整定PID的上升时间比传统方法快40%;
- 电力系统调速:抑制超低频振荡,频率偏差降低50%。
四、PSO与GA的性能对比
| 指标 | PSO | GA | |
|---|---|---|---|
| 收敛速度 | 快(迭代次数少20-30%) | 慢(需更多代进化) | |
| 计算效率 | 高(执行时间比GA低40-60%) | 低(遗传操作耗资源) | |
| 全局搜索 | 易陷局部最优 | 强(变异算子增强多样性) | |
| 参数敏感性 | 敏感度低(仅需调惯性权重) | 敏感度高(交叉/变异概率需精细调整) | |
| 控制效果 | 超调小、响应快 | 稳态精度高 |

典型案例:二阶系统PID整定中,改进PSO(IPSO)的调节时间比GA缩短35%,超调量降低22%(见下表):
表:PSO、GA与IPSO在二阶系统的性能对比
五、混合优化策略与未来方向
1. 混合算法(PSO-GA)
- 设计思路:
- 阶段融合:PSO快速粗调,GA精细优化;
- 算子互补:PSO的速度更新 + GA的变异操作。
- 优势:兼顾收敛速度与全局搜索,PID控制综合性能提升15-25%。
2. 挑战与趋势
- 挑战:
- 高维参数优化易“维数灾难”;
- 算法参数仍需人工干预。
- 趋势:
- 多目标优化:同时优化响应速度、鲁棒性等指标;
- 深度学习辅助:用LSTM预测适应度,减少仿真次数。
六、结论
PSO和GA均为PID参数整定的有效工具:
- PSO更适用:实时性要求高、计算资源受限的场景(如电机控制);
- GA更适用:复杂非线性系统(如化工过程);
- 混合策略:是未来突破方向,尤其对多目标优化问题。
关键建议:
工业实践中,可先用Z-N法获取初始参数范围,再以改进PSO或GA优化,兼顾效率与精度。
📚2 运行结果
首先采用simulink搭建传递函数,如图:

需要修改传递函数的小伙伴,直接点击这个红框的位置,改下参数即可。


PSO整定PID参数的大致思路如下:

本次整定PID参数的参数指标为:ITAE
PSO优化PID结果:



遗传算法优化PID结果:



🎉3 参考文献
文章中一些内容引自网络,会注明出处或引用为参考文献,难免有未尽之处,如有不妥,请随时联系删除。
[1]王介生,王金城,王伟.基于粒子群算法的PID控制器参数自整定[J].控制与决策, 2005, 20(1):5.DOI:10.3321/j.issn:1001-0920.2005.01.017.
[2]胡伟,徐福缘.基于改进粒子群算法的PID控制器参数自整定[J].计算机应用研究, 2012, 29(5):4.DOI:10.3969/j.issn.1001-3695.2012.05.050.
[3]张家骏.基于粒子群算法的PID控制器参数优化研究[J].计算机仿真, 2010(10):4.DOI:10.3969/j.issn.1006-9348.2010.10.048.
🌈4 Matlab代码实现
资料获取,更多粉丝福利,MATLAB|Simulink|Python资源获取


1281

被折叠的 条评论
为什么被折叠?



