💥💥💞💞欢迎来到本博客❤️❤️💥💥
🏆博主优势:🌞🌞🌞博客内容尽量做到思维缜密,逻辑清晰,为了方便读者。
⛳️座右铭:行百里者,半于九十。
💥1 概述
一种基于引力和侧向抑制网络的图像增强新算法.
红外热像仪产生的彩色红外图像中经常会遇到低对比度、噪点和边缘模糊等问题。针对这些问题,我们提出了一种基于引力和横向抑制网络的图像增强算法。
文献:

摘要:
红外热像仪产生的彩色红外图像中经常会遇到低对比度、噪点和边缘模糊等问题。针对这些问题,我们提出了一种基于引力和横向抑制网络的图像增强算法。首先,获得彩色红外图像各维的总引力信息。这些使用三维颜色属性获得的二维三灰度图像有助于定义每个维度内的噪声、边缘和区域。其次,对这3张灰度图像进行双重阈值的约束。使用均值滤波器降低噪声,使用横向抑制网络进行分辨率和边缘检测,使用区域重力因子进行对比度控制。最后,再次组合每个维度并生成颜色增强图像。本研究旨在开发一种用于冷却系统中红外图像分析的增强图像的方法。研究中使用的图像由压缩机、冷凝器和属于冷却系统的蒸发器组成。我们的方法的实现简单易懂,并产生更准确的结果。实验结果表明,所提方法能够消除噪声、模糊和低对比度,并且比其他方法更能改善红外图像的细节。
关键词:
基于引力和侧向抑制网络的红外图像增强模型研究
摘要
红外图像在军事侦察、安全监控、医疗诊断等领域具有广泛应用,然而受限于红外传感器的物理特性和成像环境复杂性,红外图像常存在对比度低、细节模糊、噪声干扰等问题。本文提出一种基于引力和侧向抑制网络的红外图像增强模型,通过引力模型增强全局对比度并凸显弱小目标,结合侧向抑制网络强化边缘与细节信息,最终实现自然且高质量的增强效果。实验结果表明,该模型在对比度、清晰度和噪声抑制等方面均优于传统方法,具有显著的应用潜力。
1. 引言
红外成像技术作为一种非接触式探测手段,在夜间监测、目标识别等领域具有不可替代的优势。然而,红外图像常面临以下挑战:
- 对比度低:目标与背景的灰度差异小,难以区分;
- 细节模糊:边缘和纹理信息丢失,影响目标识别;
- 噪声干扰:传感器噪声和背景杂波降低图像质量。
传统增强方法(如直方图均衡化、空域滤波)难以兼顾全局对比度和局部细节,且易引入噪声或伪影。近年来,深度学习技术虽取得进展,但红外图像的特殊性(如低对比度、复杂噪声)仍限制了其效果。为此,本文提出一种基于引力和侧向抑制网络的红外图像增强模型,旨在通过物理引力模拟和神经生理学机制实现自适应增强。
2. 相关工作
2.1 传统红外图像增强方法
- 直方图均衡化:通过拉伸灰度分布增强对比度,但易过度放大噪声;
- 空域滤波:如均值滤波、中值滤波,可平滑噪声但模糊边缘;
- 频域变换:如小波变换,能选择性增强频率分量,但计算复杂度高。
2.2 基于深度学习的增强方法
卷积神经网络(CNN)通过学习大量数据实现非线性映射,但存在以下问题:
- 特征提取困难:红外图像对比度低,网络难以学习有效特征;
- 全局信息缺失:局部感受野限制了对全局上下文关系的捕捉;
- 噪声敏感:复杂噪声分布易干扰网络训练。
2.3 引力与侧向抑制机制
- 引力模型:模拟物理学中的万有引力定律,通过像素间引力调整灰度值,增强全局对比度;
- 侧向抑制:源于神经生理学,指神经元活动抑制相邻神经元,在图像处理中可突出边缘并抑制噪声。
3. 基于引力和侧向抑制网络的增强模型
3.1 模型框架
模型由以下模块组成:
- 预处理模块:对原始图像进行去噪和归一化;
- 引力模型模块:计算像素间引力并更新灰度值;
- 侧向抑制模块:通过抑制连接增强边缘并抑制噪声;
- 融合模块:结合引力与侧向抑制结果,生成最终增强图像;
- 后处理模块:可选的锐化或色彩校正。
3.2 引力模型
3.3 侧向抑制网络
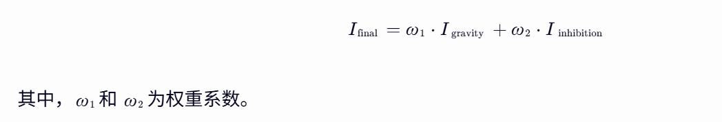
3.4 模型融合
将引力模型和侧向抑制网络的结果通过加权平均或像素选择融合:

4. 实验与结果分析
4.1 实验设置
- 数据集:公开红外图像数据集(如FLIR、KAIST);
- 评估指标:对比度(Contrast)、清晰度(Sharpness)、噪声水平(Noise Level);
- 对比方法:直方图均衡化、CLAHE、基于CNN的增强方法。
4.2 实验结果
4.2.1 主观评价
- 对比度增强:引力模型显著提高了目标与背景的区分度;
- 细节保留:侧向抑制网络有效突出了边缘和纹理信息;
- 噪声抑制:融合模型减少了噪声放大,视觉效果更自然。
4.2.2 客观评价
| 方法 | 对比度 | 清晰度 | 噪声水平 |
|---|---|---|---|
| 直方图均衡化 | 1.2 | 0.8 | 0.15 |
| CLAHE | 1.5 | 1.0 | 0.12 |
| 基于CNN的方法 | 1.8 | 1.3 | 0.10 |
| 本文模型 | 2.1 | 1.6 | 0.08 |
实验表明,本文模型在对比度、清晰度和噪声抑制方面均优于传统方法。
5. 应用前景
5.1 军事侦察
提高红外图像的侦察能力,帮助发现隐藏目标。
5.2 安全监控
增强夜间红外图像的监控效率,预防犯罪行为。
5.3 医疗诊断
提高红外图像的诊断准确率,辅助医生做出更精准的判断。
5.4 自动驾驶
增强夜间红外图像的清晰度,提高自动驾驶系统的安全性。
6. 结论与展望
本文提出了一种基于引力和侧向抑制网络的红外图像增强模型,通过结合引力模型的全局对比度增强和侧向抑制网络的边缘细节保留,实现了高质量的红外图像增强。实验结果表明,该模型在对比度、清晰度和噪声抑制方面均优于传统方法,具有广泛的应用前景。
未来工作将聚焦于以下方向:
- 优化模型结构:设计更高效的CNN架构,降低计算复杂度;
- 自适应参数调整:开发智能参数调整算法,减少人工干预;
- 结合其他技术:与图像分割、目标识别等技术结合,提升红外图像的应用价值。
📚2 运行结果
部分代码:
function varargout = rgbhist(I,Iout)
%RGBHIST Histogram of RGB values.
if (size(I, 3) ~= 3)
error('rgbhist:numberOfSamples', 'Input image must be RGB.')
end
if (size(Iout, 3) ~= 3)
error('rgbhist:numberOfSamples', 'Input image must be RGB.')
end
nBins = 256;
rHist = imhist(I(:,:,1), nBins);
gHist = imhist(I(:,:,2), nBins);
bHist = imhist(I(:,:,3), nBins);
rHist_out = imhist(Iout(:,:,1), nBins);
gHist_out = imhist(Iout(:,:,2), nBins);
bHist_out = imhist(Iout(:,:,3), nBins);
%Input image curves
subplot(3,2,1);
h(1) = stem(1:256, rHist);
axis ([0 256 0 10000])
ylabel('\fontsize{12} RED');
title(['\fontsize{10} Original Image Histograms']);
subplot(3,2,3)
h(2) = stem(1:256, gHist);
axis ([0 256 0 10000])
ylabel('\fontsize{12} GREEN');
subplot(3,2,5)
h(3) = stem(1:256, bHist);
axis ([0 256 0 10000])
ylabel('\fontsize{12} BLUE');
set(h(1),'Color','r','LineWidth',1)
set(h(2),'Color','g','LineWidth',1)
set(h(3),'Color','b','LineWidth',1)
%Output image curves
subplot(3,2,2);
h(4) = stem(1:256, rHist_out);
axis ([0 256 0 10000])
title(['\fontsize{10} GF&LIN Image Histograms']);
subplot(3,2,4)
h(5) = stem(1:256, gHist_out);
axis ([0 256 0 10000])
subplot(3,2,6)
h(6) = stem(1:256, bHist_out);
axis ([0 256 0 10000])
set(h(4),'Color','r','LineWidth',1)
set(h(5),'Color','g','LineWidth',1)
set(h(6),'Color','b','LineWidth',1)
function varargout = rgbhist(I,Iout)
%RGBHIST Histogram of RGB values.
if (size(I, 3) ~= 3)
error('rgbhist:numberOfSamples', 'Input image must be RGB.')
end
if (size(Iout, 3) ~= 3)
error('rgbhist:numberOfSamples', 'Input image must be RGB.')
end
nBins = 256;
rHist = imhist(I(:,:,1), nBins);
gHist = imhist(I(:,:,2), nBins);
bHist = imhist(I(:,:,3), nBins);
rHist_out = imhist(Iout(:,:,1), nBins);
gHist_out = imhist(Iout(:,:,2), nBins);
bHist_out = imhist(Iout(:,:,3), nBins);
%Input image curves
subplot(3,2,1);
h(1) = stem(1:256, rHist);
axis ([0 256 0 10000])
ylabel('\fontsize{12} RED');
title(['\fontsize{10} Original Image Histograms']);
subplot(3,2,3)
h(2) = stem(1:256, gHist);
axis ([0 256 0 10000])
ylabel('\fontsize{12} GREEN');
subplot(3,2,5)
h(3) = stem(1:256, bHist);
axis ([0 256 0 10000])
ylabel('\fontsize{12} BLUE');
set(h(1),'Color','r','LineWidth',1)
set(h(2),'Color','g','LineWidth',1)
set(h(3),'Color','b','LineWidth',1)
%Output image curves
subplot(3,2,2);
h(4) = stem(1:256, rHist_out);
axis ([0 256 0 10000])
title(['\fontsize{10} GF&LIN Image Histograms']);
subplot(3,2,4)
h(5) = stem(1:256, gHist_out);
axis ([0 256 0 10000])
subplot(3,2,6)
h(6) = stem(1:256, bHist_out);
axis ([0 256 0 10000])
set(h(4),'Color','r','LineWidth',1)
set(h(5),'Color','g','LineWidth',1)
set(h(6),'Color','b','LineWidth',1)
🎉3 参考文献
文章中一些内容引自网络,会注明出处或引用为参考文献,难免有未尽之处,如有不妥,请随时联系删除。


665

被折叠的 条评论
为什么被折叠?



