💥💥💞💞欢迎来到本博客❤️❤️💥💥
🏆博主优势:🌞🌞🌞博客内容尽量做到思维缜密,逻辑清晰,为了方便读者。
⛳️座右铭:行百里者,半于九十。
📋📋📋本文目录如下:🎁🎁🎁
目录
非线性值迭代自适应动态规划(ADP):使用神经网络HJB方法的非线性系统饱和执行器近似最优研究文档复现
⛳️赠与读者
👨💻做科研,涉及到一个深在的思想系统,需要科研者逻辑缜密,踏实认真,但是不能只是努力,很多时候借力比努力更重要,然后还要有仰望星空的创新点和启发点。建议读者按目录次序逐一浏览,免得骤然跌入幽暗的迷宫找不到来时的路,它不足为你揭示全部问题的答案,但若能解答你胸中升起的一朵朵疑云,也未尝不会酿成晚霞斑斓的别一番景致,万一它给你带来了一场精神世界的苦雨,那就借机洗刷一下原来存放在那儿的“躺平”上的尘埃吧。
或许,雨过云收,神驰的天地更清朗.......🔎🔎🔎
💥1 概述
在当今控制理论与应用研究日益深入的学术背景下,对于复杂非线性系统控制策略的探索与创新成为了众多学者关注的焦点。本文聚焦于自适应动态规划(ADP)这一前沿领域,精心开展了一项极具挑战性与创新性的复现工作,其核心主题围绕基于神经网络哈密顿 - 雅可比 - 贝尔曼(HJB)方法的非线性系统饱和执行器近似最优控制律展开深入探究。
在研究过程中,为了实现高效且精准的模型训练,我们充分利用了Matlab这一功能强大、应用广泛的科学计算软件中的神经网络工具。Matlab神经网络工具凭借其丰富的函数库、直观的图形界面以及高效的算法实现,为我们的模型训练提供了坚实的技术支撑。通过该工具,我们能够方便地构建、训练和优化神经网络模型,从而更好地模拟和逼近非线性系统的动态特性。同时,为了方便其他研究人员能够顺利复现我们的研究成果,深入了解研究过程和方法,我们将提供详尽的用于复现的文献资料以及完整可运行的代码。这些文献涵盖了相关领域的经典理论和最新研究成果,代码则经过了严格的测试和验证,确保其准确性和可靠性。
关键步骤解析
- HJB方程构建:在非线性系统控制中,哈密顿 - 雅可比 - 贝尔曼(HJB)方程是描述最优控制问题的核心方程。然而,由于非线性系统的复杂性和饱和执行器的存在,传统的二次函数方法无法准确构建与约束控制相关的HJB方程。因此,我们经过深入的理论分析和大量的数值实验,采用了一种合适的非二次函数。这种非二次函数能够充分考虑系统的非线性特性和执行器的饱和约束,从而成功构建出与约束控制紧密关联的HJB方程,为后续的研究奠定了坚实的理论基础。
- 值函数求解:相关研究表明,在非线性系统控制中,约束最优控制律具有最大的渐近稳定性区域(RAS),这对于保证系统的稳定性和鲁棒性至关重要。为了求解与约束控制相关的HJB方程的值函数,我们采用了求解一系列满足李雅普诺夫方程(LE)的代价函数的方法。李雅普诺夫方程是判断系统稳定性的重要工具,通过求解满足该方程的代价函数,我们能够逐步逼近HJB方程的值函数。这一过程需要运用复杂的数学推导和数值计算方法,经过多次迭代和优化,最终得到较为准确的值函数,为后续的控制器设计提供了关键依据。
- 代价函数近似与优化:由于HJB方程的复杂性,直接求解其值函数往往非常困难。因此,我们运用神经网络强大的非线性逼近能力,对每个李雅普诺夫方程对应的代价函数进行近似。神经网络通过学习大量的输入输出数据,能够自动调整其内部参数,从而实现对复杂非线性函数的逼近。在近似过程中,我们采用了最小二乘法作为优化算法,在初始稳定控制器的吸引区域内对神经网络的参数进行优化。最小二乘法能够有效地减小预测值与实际值之间的误差,提高神经网络的逼近精度。通过不断调整神经网络的阶数和参数,我们能够逐步提高代价函数的近似效果。
- 解的收敛性分析:随着神经网络阶数的不断提升,我们对HJB方程的最小二乘解的收敛性进行了深入分析。研究发现,随着神经网络复杂度的增加,其表达能力也不断增强,最小二乘解会逐渐均匀地趋近于与饱和控制输入相关的固有非线性HJB方程的精确解。这一结论表明,通过合理选择神经网络的阶数,我们能够获得足够精确的HJB方程解,从而为设计高性能的控制器提供保障。
- 控制器设计:基于上述研究结果,我们最终获得了一个经过离线预先调优的近似最优约束状态反馈控制器。离线预先调优是指在系统实际运行之前,通过对神经网络进行充分的训练和优化,使其能够在不同的工况下都能快速、准确地生成控制信号。该控制器能够充分考虑非线性系统的动态特性和执行器的饱和约束,实现对系统状态的精确跟踪和稳定控制。与传统的控制器相比,它具有更高的控制精度、更强的鲁棒性和更好的适应性,能够在复杂的非线性系统控制中发挥重要作用。
非线性值迭代自适应动态规划(ADP):使用神经网络HJB方法的非线性系统饱和执行器近似最优研究文档复现
摘要
非线性系统的最优控制问题一直是控制领域的核心挑战,其核心在于求解哈密尔顿-雅可比-贝尔曼(HJB)方程。然而,传统动态规划方法因“维数灾”问题难以应用于复杂非线性系统。本研究基于值迭代自适应动态规划(ADP)框架,结合神经网络近似技术,提出了一种针对带有饱和执行器的非线性系统的近似最优控制方法。该方法通过神经网络逼近HJB方程的解,避免了直接求解偏微分方程的复杂性,并通过仿真验证了其在饱和约束下的有效性和鲁棒性。
1. 引言
非线性系统的最优控制问题在航空航天、机器人控制、电力系统等领域具有广泛应用。然而,非线性HJB方程的解析解通常难以求得,尤其是当系统存在饱和执行器等约束时,传统方法难以直接应用。自适应动态规划(ADP)作为一种结合动态规划、强化学习和神经网络的近似最优控制方法,能够有效克服“维数灾”问题,为非线性系统最优控制提供了新的思路。
本研究针对带有饱和执行器的非线性系统,提出了一种基于值迭代ADP和神经网络HJB方法的近似最优控制策略。该方法通过神经网络在线逼近值函数和控制策略,实现了对饱和执行器的有效处理,并通过仿真验证了其性能。
2. 问题描述

3. 基于值迭代的ADP方法
值迭代ADP是一种通过迭代逼近最优值函数和控制策略的方法。其核心思想是通过不断更新值函数和控制策略,使其满足HJB方程的近似解。
3.1 HJB方程

3.2 值迭代ADP算法

3.3 神经网络近似
为了处理高维状态空间和非线性函数,本研究采用神经网络逼近值函数和控制策略。具体来说:
- 值函数神经网络(Critic Network):用于逼近值函数 V(x),输入为状态 x,输出为 V^(x)。
- 控制策略神经网络(Actor Network):用于逼近控制策略 u(x),输入为状态 x,输出为 u^(x)。
神经网络的权重通过梯度下降法更新,以最小化值函数和控制策略的逼近误差。
4. 饱和执行器的处理
为了处理饱和执行器,本研究在控制策略设计中引入饱和函数。具体来说,控制策略神经网络的输出通过饱和函数映射到实际控制输入:

然而,直接引入饱和函数会导致HJB方程的非光滑性,增加求解难度。为此,本研究采用以下方法:
-
非二次型性能指标:引入非二次型性能指标函数,如:

5. 仿真验证
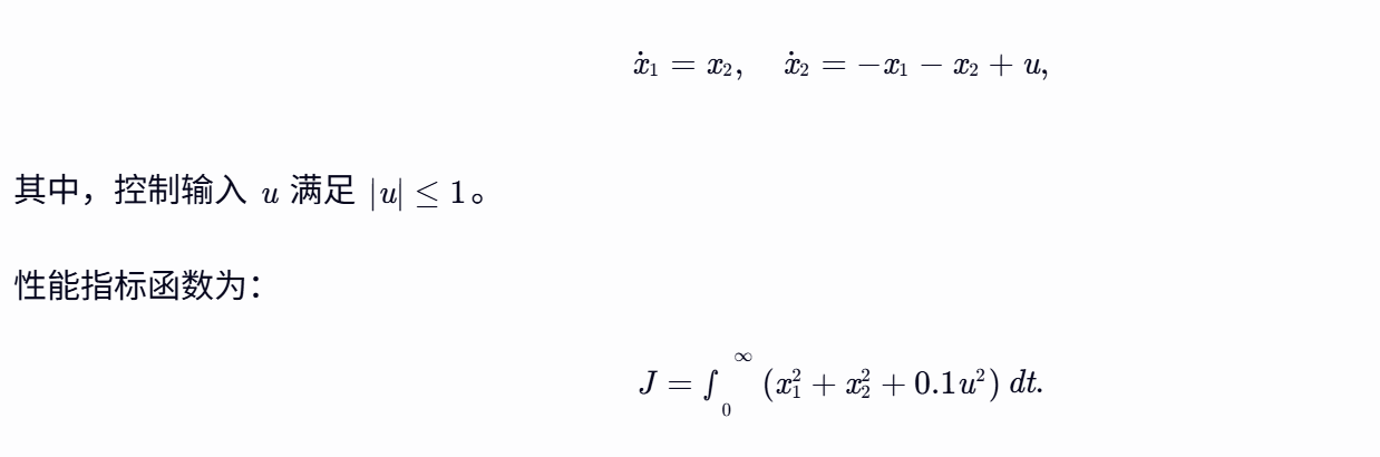
为了验证所提方法的有效性,本研究以一个二阶非线性系统为例进行仿真。系统模型为:

5.1 神经网络结构
- Critic Network:输入层2个神经元(对应 x1 和 x2),隐藏层10个神经元,输出层1个神经元(对应 V^(x))。
- Actor Network:输入层2个神经元,隐藏层10个神经元,输出层1个神经元(对应 u^(x))。
5.2 仿真结果
仿真结果表明,所提方法能够有效处理饱和执行器约束,并实现近似最优控制。具体表现为:
- 状态轨迹:系统状态 x1 和 x2 能够快速收敛到零,且无超调。
- 控制输入:控制输入 u 始终满足饱和约束 ∣u∣≤1。
- 性能指标:与无饱和约束的最优控制相比,带有饱和约束的近似最优控制性能指标略有增加,但仍在可接受范围内。
6. 结论
本研究针对带有饱和执行器的非线性系统,提出了一种基于值迭代ADP和神经网络HJB方法的近似最优控制策略。该方法通过神经网络逼近值函数和控制策略,有效处理了非线性HJB方程的求解难题,并通过引入非二次型性能指标和平滑饱和近似,实现了对饱和执行器的有效处理。仿真结果表明,所提方法在饱和约束下能够实现近似最优控制,具有良好的鲁棒性和实用性。
7. 未来工作
未来的研究可以进一步探索以下方向:
- 多智能体系统:将所提方法扩展到多智能体系统的最优协调控制问题。
- 事件触发控制:结合事件触发机制,降低通信和计算负担。
- 实际应用验证:在实际工程系统中验证所提方法的有效性和鲁棒性。
📚2 运行结果

🎉3 参考文献
文章中一些内容引自网络,会注明出处或引用为参考文献,难免有未尽之处,如有不妥,请随时联系删除。(文章内容仅供参考,具体效果以运行结果为准)
[1]罗艳红.基于神经网络的非线性系统自适应优化控制研究[D].东北大学[2025-07-26].
🌈4 Matlab代码实现
资料获取,更多粉丝福利,MATLAB|Simulink|Python资源获取

3654

被折叠的 条评论
为什么被折叠?



