本数据集包含不同类型的皮肤病变影像样本:痤疮、湿疹、健康皮肤、指甲真菌感染、皮肤疣、皮肤良性痣和皮肤恶性痣。旨在构建高精度的图像分类模型,实现对皮肤病变健康状态的自动识别与判定。通过对大量标注清晰的皮肤病变影像进行深度学习训练,模型能够自动提取皮肤病变的关键特征,区分不同病变类型,从而为临床提供辅助诊断依据。该数据集的建立旨在推动深度学习与人工智能技术在皮肤病变早期筛查与智能诊断中的应用,助力实现皮肤病变医疗影像分析的标准化与智能化。
数据集概览
数据图像:

图1 样本图像
数据类型:

表1 数据类型与格式
数据规模:
(1)数据集划分饼图

图2 数据集划分饼图
数据集类别

表3 类别定义
数据集来源

表4 数据集来源与说明
数据集用途
本数据集用于皮肤病变影像的分类模型训练与验证,包含七类样本:痤疮、湿疹、健康皮肤、指甲真菌感染、皮肤疣、皮肤良性痣和皮肤恶性痣。可应用于以下研究与开发方向:
(1)模型训练:支持基于深度学习的图像分类模型(如ResNet50、VGG16、Swin Transformer)进行皮肤病变影像特征学习。
(2)性能评估:用于测试模型在不同病变类型分类任务中的准确率、召回率、F1值等性能指标。
(3)特征分析:研究不同类型皮肤病变影像在结构、纹理及组织特征等方面的差异。
(4)系统开发:为皮肤病变智能诊断系统、医学影像辅助诊断平台及健康筛查系统提供数据支持。
数据集须知
(1)数据来源:基于公开的皮肤病变影像数据集,仅限科研与教学用途。
(2)数据结构:包含训练集与测试集,分为七类样本(痤疮、湿疹、健康皮肤、指甲真菌感染、皮肤疣、皮肤良性痣、皮肤恶性痣)。
(3)文件格式:图像文件为.jpg格式,文件命名与类别严格对应。
(4)使用要求:需遵守皮肤病变医学影像数据隐私与伦理保护相关规定,引用时须注明数据来源。
(5)适用范围:适用于皮肤病变影像识别、分类、特征提取及智能诊断系统研究。
数据集性能
训练与验证准确率和损失曲线:

图3 训练与验证准确率和损失曲线线
该图展示了模型在训练和验证过程中的准确率和损失变化。训练准确率稳步上升,接近 90%,而验证准确率也随之提高,显示出模型在不同数据集上的良好适应性。训练损失和验证损失均呈下降趋势,表明模型在训练过程中有效地减少了误差,并且未发生明显的过拟合现象。这表明模型具有较强的泛化能力,能够在未见数据上保持较好的表现。
混淆矩阵热力图:

图4 混淆矩阵热力图
模型的混淆矩阵,提供了每个类别预测的真实情况。从中可以看出,大部分类别(如 湿疹 和 良性痣)的预测准确率较高,混淆矩阵中的值接近 1.00,意味着这些类别的误分类较少。然而,恶性痣(malignant Moles)类的预测准确度较低,尽管准确率为 0.85,但该类别与其他类别(如 皮肤疣)存在一定的混淆,表明模型在处理该类别时存在一定的误差。
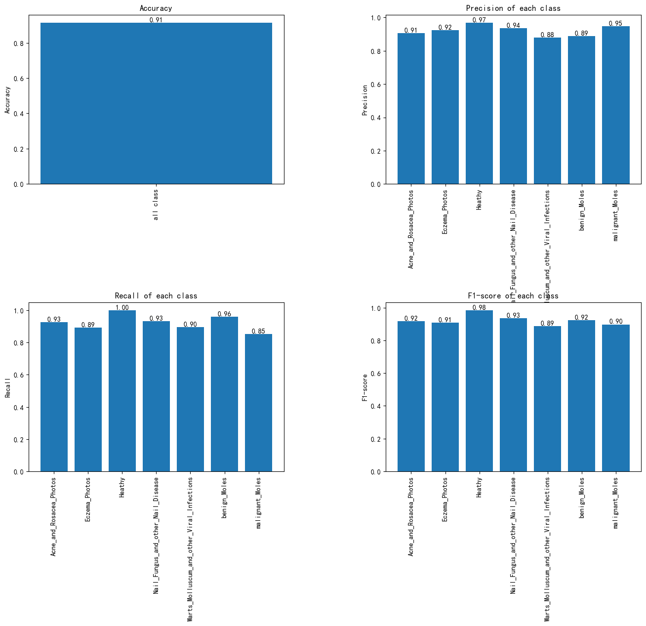
各类认知障碍的分类性能评估:准确率、精确率、召回率与F1分数图

图5 各类的分类性能评估:准确率、精确率、召回率与F1分数图
展示了模型在不同类别上的表现,包括总体准确度、每类精度、召回率和F1分数。总体准确度为 0.91,显示了模型在测试集上的良好表现。每类精度大部分类别都很高,特别是 湿疹(Eczema Photos)和 健康皮肤(Healthy),其精度分别为 0.97 和 1.00。召回率同样表现良好,健康皮肤类别的召回率为 1.00,表明模型能够完全识别出这一类别。F1分数也表现优异,尤其是在 湿疹 和 健康皮肤 上,F1分数分别为 0.98 和 1.00,显示了较高的精度与召回率的平衡。
5451

被折叠的 条评论
为什么被折叠?



