相交链表题目链接:160. 相交链表 - 力扣(LeetCode)

链表相交问题最暴力的方法就是一个一个比较找到交点,此法胜在简单粗暴但时间复杂度高
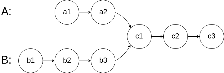
我们注意到两个链表虽然头不相同,但是共同一个尾,因此我们分别遍历两个链表,如果尾部相同则说明两个链表有交点,不相同则没有交点

同时我们开辟两个变量len1和len2分别计算headA和headB的长度,用totallen来存储两链表的长度差

当totallen>0时,headA的长度大于headB;因此headA可以遍历totallen次,使两链表的总长度一致,再同时遍历链表,当headA等于headB时是交点。


当totallen<0时,则相反,只需要将totallen取相反数,headA修改为headB就行(此时headB为长链表)

此法相较于第一种方法,胜在时间复杂度低,代码难度不高,掌握算法思想是核心
945

被折叠的 条评论
为什么被折叠?



