目录
(a)积分阶模型 (Integral-order model,IOM)
(b)分数阶模型(Fractional-order model,FOM)
摘要
电池健康监测系统(health monitoring system,BHMS)确保了电动汽车(electric vehicles,EVs)中锂离子电池(lithium-ion batteries,LIB)的安全性、性能和可靠性。它还在充电和放电过程中估算和监测LIB的关键参数,包括充电状态(state of charge,SoC)、温度状态(state of temperature,SoT)、健康状态(state of health,SoH)、功率状态(state of power,SoP)和放电深度(depth of discharge,DoD)。本文基于对300篇文章的分析,全面概述了锂离子电池(LIB)多样化的建模和状态估算技术。综述首先审查了各种电池单元建模方法,包括白盒(电化学)、灰盒(等效电路)和黑盒(数据驱动)方法。接下来,介绍了各种直接的、基于模型的和计算机化的技术,包括其各自的优缺点,以估算SoC、SoH和SoT。通过整合区块链、云计算和基于物联网(IoT)的多模型共同估算等现代技术,状态估算技术的韧性和效率得到了增强。本文还探讨了与LIB建模和状态估算技术相关的主要挑战和未来前景,以提高实时应用中电动汽车BHMS的质量和可靠性。

介绍
Hannan等人强调,电池健康监测系统(battery health monitoring system,BHMS)在电池模块的充电和放电过程中持续监测电池单元的退化。除了确保电池组系统的可靠性和安全性,电动汽车(EVs)还结合了电池监测系统,正如Xiong等人所发现的那样。BHMS整合了设备和程序技术,执行以下功能:
- (a)评估电池特性,包括充电状态(SoC)、健康状态(SoH)和工作状态(SoT)
- (b)计算电池平衡
- (c)故障诊断
- (d)确保温度得到管理
- (e)保证电路安全
- (f)具有用户友好的设计
电动汽车中的电池健康监测系统(BHMS)由多个关键组件和子系统组成。每个组件在确保电池的性能、安全性和使用寿命方面都起着重要作用。这些组件的整合便于监测、控制和维护电池组的各个部分,以确保最佳功能。电池管理单元(battery health monitoring system,BMU)作为中央控制单元,负责监测充电状态(SoC)、健康状态(SoH)以及其他各种关键参数。BMU收集来自传感器的信息,并估算剩余电量和电池耗尽等重要指标。电压和电流传感器对每个电池单元的电压和电流水平进行持续监控。它们向BMU提供实时数据,BMU利用这些信息保持电池在安全参数范围内运行。故障检测系统是BHMS的重要组成部分。Hu等人研究了故障检测系统是如何利用算法识别和预测电池组内可能出现的故障。该系统仔细监测电池单元的温度、电压波动和各种故障指标,促进主动维护,降低严重事故(如火灾或爆炸)发生的风险。Shang等人进行了与锂离子电池相关的故障分析和预测,利用阈值法支持实现碳中和目标。Hussain等人强调,BMU与车辆的车载系统接口,传输有关电池状况的数据,如电量水平、温度和健康指标。通信接口促进电池系统与其他车辆组件之间的实时数据交换,提高整体能源管理,确保车辆高效运行。
电池健康监测技术实时跟踪锂离子电池的状态,允许有效的能源管理、早期缺陷识别和电池衰退预测:
- Li 等人提出了电池互联网(internet-of-batteries,IoB)的概念,它利用无线电池管理系统(wireless battery management systems,WBMS)以促进持续的健康监测。这一进步显著提高了系统的灵活性,并减少了与有线连接相关的复杂性。
- Wang 等人对快速健康状态评估的方法进行了回顾,强调了脉冲回声监测等先进传感技术用于预测电池磨损。这些技术有效应对热失控等风险,并确保电池在其生命周期内维持性能。
- 正如 Das 等人强调的那样,机器学习模型越来越多地被用于预测电池的剩余使用寿命。电池健康监测的进步延长了电池的寿命,并通过确保安全性、可靠性和效率的增加,促进了电动车的广泛采用。
- Xie 等人发现,数据驱动的电池演示同样使预测电池的电化学活动成为可能。
- Ng 等人报告称,基于物联网的方法可以提高电池管理系统(BMS)的弹性,并提供实时电池状态监测。
- Qi 等人提出了一种创新的方法,通过将变分模式分解(variational mode decomposition,VMD)与双向长短期记忆神经网络相结合来预测超级电容器的剩余使用寿命。
- Cui 等人提出了一种用于光伏系统的短期功率预测模型,利用 AHA-VMD-MPE 分解重构和增强的 informer 组合,以确保电力系统的稳定性和平衡。
动机和研究空白
开发先进电池健康监测系统在电动汽车中的动机,基于对提升锂离子电池安全性、优化性能、可靠性和耐用性的关键需求。随着电动汽车的普及,迫切需要对电池健康状态(SoH)进行精确的实时监测,以确保能够预测和防止容量故障,优化能耗,并延长电池寿命。
- 赵等人强调,绿色电池健康管理系统提高了充电状态(SoC)和功率状态(SoP)的预测能力,同时降低了与电池退化和热失控相关的风险,最终提升了车辆安全性并降低维护成本。
- 胡等人强调了机器学习在电池健康诊断中的重要性,数据驱动模型能够准确预测电池生命周期并优化充电协议,从而减少能源浪费,促进可持续性。
- 魏等人强调将多维传感技术集成到电池管理系统(BMS)中的重要性,这为提供独特的跟踪和主动故障分析奠定了基础,这对于电动汽车(EV)的可持续运行至关重要。
提高电池存储系统的效率对于电动汽车实现其最大潜力和解决与低能量密度电池技术相关的挑战至关重要。这种优化采用了一种综合方法,包括精确电池模型的建模、最佳状态估计技术和先进的电池健康监测系统(BHMS)技术。为了最大化电池组的使用寿命和性能,必须采用精确的方法来评估内部电池单元的当前状态。电动汽车的耐用性、安全性和可靠性都取决于这一因素。电池管理系统(BMS)的实时监测技术是电动汽车(EVs)能量存储优化的关键因素。电池模型、单元配置、热管理策略和包装决策对系统的整体性能有显著影响。表1总结了与电池状态估计和建模相关的各种技术的文献回顾和研究空白。
几篇评审文章之前总结了现有的SoC建模和估计的最新进展,详细描述了克服与BHMS相关挑战所需的步骤,并充分利用电动车的潜力:
- 用于估计锂离子电池的充电状态(SoC)的新方法。该研究涉及创建一个电化学模型,该模型结合了电池内部的物理和化学特性,如锂浓度。该研究采用基于投影的方法与优化的基函数,以解决模型中涉及的复杂固相扩散偏微分方程(partial differential equations,PDEs)。此外,它引入了一种移动窗口滤波(moving-window filtering,MWF)算法,以提高估计过程中所使用的状态滤波器的收敛速度。优化的基于投影的方法显著减少所需方程的数量,与传统的有限差分方法相比,减少了20倍,同时没有损害准确性。尽管有所改进,模型的效率和准确性仍可能受到简化投影方法和MWF算法中未考虑的因素的影响。需要在现实场景中进一步测试和改进,以验证模型的实际效用。
- 一个简化的电化学模型,以增强锂离子电池的模拟。作者关注的是采用混合和双分散电极的电池,这对高功率应用至关重要。该模型通过减少计算复杂性,同时保持重要的预测能力,增强了传统的电化学方法。模型在高功率情况下充分模拟电池性能的能力通过关键发现得以验证,表明它可能对优化电池设计有用。该工作的一个潜在缺点是,由于简化的假设可能无法完全反映所有电化学过程,模型的准确性在某些情况下可能受到影响。
- 一种开发等效电路模型的方法,以准确预测高功率锂离子电池的性能。主要结果表明,该模型有效地模拟了电池在各种运行条件下的性能,包括提高的电流率、广泛的温度范围和不同的充电状态。与该模型相关的主要挑战是在极端条件下下拉特性的准确性,因此,在其应用于更广泛的目的之前,需要进行额外的微调和验证。
- 使用各种电气等效电路模型评估锂离子电池性能。尽管更复杂的模型在预测电池行为方面表现出更高的准确性,但同时它们也需要大量的时间和计算资源,这可能对实时应用造成挑战。
- 采用动态模式分解(dynamic mode decomposition,DMD)方法来预测锂离子电池的性能。DMD 方法的关键发现是能够有效捕捉电池性能的复杂动态,为电池在各种操作条件下的状态提供准确的预测。处理大规模数据集需要大量计算资源,并可能受到数据噪声的影响,这是 DMD 技术的主要缺点之一。
- 一种新颖的数据驱动方法来估计锂钛电池(lithium-titanate batteries,LTBs)等效电路模型的参数。该方法通过分析大量实验数据,利用机器学习技术提高电池模型的预测能力,并生成非常精确的参数估计。该研究得出结论,参数估计可以比现有方法更具准确性和效率,从而对未来的电池管理系统表示积极的前景。然而,由于该技术依赖于广泛且高质量的数据集进行训练,这并不总是可行或可获得,因此存在局限性。
- 一种增强的前馈长短期记忆(feedforward-long short-term memory,FF-LSTM)建模方法,旨在通过全面考虑锂离子电池中电流、电压和温度的变化,实现精确的全生命周期充电状态(SoC)预测。
- 一种增强的抗噪声自适应长短期记忆(anti-noise adaptive long short-term memory,ANA-LSTM)神经网络,该网络具有强大的特征提取能力和最佳参数表示,用于精确预测锂离子电池的剩余使用寿命(RUL)。
电动汽车(EVs)中电池健康监测系统(BHMS)的建模
在电动汽车中,可充电电池组的性能由电池管理系统(BHMS)进行管理。当电池充电和放电时,它会监控并控制内部操作变量,如温度、电压和电流。BHMS 进行计算以确定电池的充电状态(SoC)和健康状态(SoH),从而优化其性能。它可以防止电池组过充或过放电。为了避免意外事件(如爆炸),它保持充电水平在最大和最小允许水平之间。因此,BHMS 是确保电池和用户安全的绝对必要工具。在发现操作参数(电压、温度等)存在问题后,BHMS 会启动报警系统,并将电池组从负载或充电器中拔出。在电动汽车中,BHMS 负责监控、管理、优化以及提供对电池执行相关重大风险的保护保险。电动汽车中的各种 BHMS 组件—传感器、开关、调节器等—由一系列规则、模拟和信号来管理。BMS 的一般功能布局如图 4 所示。
BHMS的功能
BHMS 执行多项任务,包括监控电池的充电水平和诊断个别单元或其他结构块中的故障,如在文献中所述。通过利用操作员界面优化和调节电池行为,BHMS 的性能得到了提升,这通过与先进电池的非可再生和绿色能源源的集成,以及利用物联网来检查和跟踪管理能量的框架来实现。 BHMS 的高级任务包括电池状态的建模和估计,这些是基本功能。BHMS 中的传感块评估多个电池参数,包括电流、电压、温度等,并准备数值指标。这些采集限制用于评估电池的状况(SoC、SoH、SoT)。控制电池的模块使用适当的算法来调节极限充电/放电电流。为了防止在电池过充和过度放电期间出现不规则情况,该模块的结果会发送到电池均衡器。热管理模块监测温度,以确保电池安全可靠地运行。为了在理想温度下保持电池的功能,该设备调节加热器和风扇。通过增加接地故障诊断块使系统更安全。最后,发送和接收大量数据需要一个有效且快速的受控收发器设备。以下章节提供各种电池建模技术、状态估计技术和前沿 BHMS 功能的描述。
电池建模方法
在电动汽车应用中,电池状态(SoC、SoH、SoP、DoD等)的估计在很大程度上依赖于电池模型在车载温度检查和主动工作管理方面的精确性。因此,建模电池在研究、计算或预测电池实时运行方式中起着至关重要的作用。电池数学建模的重要性如下:
- (i)扩展高效的电池管理系统(BMS),
- (ii)提高和增强电池容量,
- (iii)在不同操作条件下为电池提供安全保障,
- (iv)避免对电池的损害,
- (v)根据应用延长电池寿命。
电动汽车电池建模可以通过以下几种方式进行:
- (i)白盒模型(电化学模型)
- (ii)灰盒模型(等效电路模型)
- (iii)黑盒模型(数据驱动模型)
电化学模型
电池内部发生的物质反应通过电化学模型得到清晰的表示。这些模型提供了电池过程最真实的描述。如果电池方程没有通过模型简化方法处理,全面的描述会导致显著的计算复杂性和建模问题,如Mora等人所探讨的。电化学电池建模可以通过多种方法进行。其中一种最常用的技术是带有集中参数的模型,其中一组有限的代数等式定义电池的特性。基于Nernst理论和Butler-Volmer方程的早期电池模型大多采用这种方法。集中约束方法的基本缺点是,利用当今尖端技术制造的锂离子电池,具有复杂的电化学过程,无法很好地用简单的微分方程描述。Demirci等人提供了一种电化学模型方程,通过方程(1)
来估计锂离子电池的健康状态。
其中,I(t) 是电流,C 是电池容量,V 是电压,Rint 是内阻,f(Q) 是电荷 Q 的一个函数。锂离子电池(LIB)的等效电化学模型如图所示。
以下部分概述了锂离子电池单颗粒电化学模型的工作原理和关键特征。
(a)单粒子模型原则(SPM)
单颗粒模型(single particle model,SPM)作为一个关键的基于物理的框架,用于电化学电池的建模。在锂离子电池中发生的电化学过程,通过假设电池电压可以用相同的粒子来表示阳极和阴极,从而得以简化。这一近似方法有助于生成带电状态(SoC)的电池,并增强能量行为的模拟,使其在需要实时监测的应用中具有优势,特别是在电动车(EV)中。SPM基于菲克第二扩散定律,该定律描述了锂离子在固体颗粒中的进出运动。颗粒中锂浓度c(x,t)的控制方程是:
其中 Ds是固体扩散系数,x 是颗粒内的径向位置,t 是时间。
- SPM的优点:SPM显示出高计算效率,使其非常适合用于电动车辆的电池管理系统等实时应用。尽管其设计简洁,但在标准操作条件下,它能够提供电压和充电状态的精确估计。
- SPM的局限性:SPM可能无法有效捕捉电池在极端条件下的复杂行为,例如高电流或快速脉冲,在这些情况下,电解液和颗粒之间的浓度梯度发挥着至关重要的作用。可以使用图形扩展如伪二维(P2D)模型进行更详细的分析。以下部分讨论了文献中提出的其他电化学模型。
伪二维(Pseudo-two-dimensional,P2D)、单颗粒(single-particle,SP)和额外简化的伪二维(streamlined pseudo-two-dimensional,SP2D)模型是最常见的电化学模拟类型。尽管P2D模型更精确,但求解微分方程需要花费大量时间。SP模型取消了电极,改为使用单一元件,忽略了液相浓度对端电势的影响,仅利用双调节器等效,使得需要确定的约束数量减少,从而加快了意图和原型的生成。然而,由于在简化过程中忽视了太多参数,该模型的准确性较低,仅在低放大率和稳定电流下使用。为了简化模型并降低其复杂性,同时保持SP模型的精度,Nejad等人使用了一种基本的多粒子(BMP)模型,采用预测-修正技术和对齐方法。最近创建了一个小规模的电化学原型,以提供高效能,同时需要较少的计算努力,但由于对许多变量的过度依赖,复杂性增加。通过实现在线约束识别,提高了该模型的相关性。
基于非线性电化学响应,电化学模型模拟了电池的小核心。这些模型提供了有关电池的最精确信息,但它们面临的主要障碍来源于两个方面:
- (i) 需要使用全局优化来解决大量非解析等式,
- (ii) 边界条件与 Zhou 等人所报告的调节计算之间有紧密的联系。
此外,优化算法的计算和内存需求可能会增加,其收敛速度也令人担忧。热电化学模型结合了热学和电化学等效。用于电动汽车锂离子电池的电化学模型在电池管理和性能优化应用方面具有一系列优点和缺点,如以下讨论所述。
电化学模型的优势
- 电池行为的准确表述:Zhao 等人探讨了电化学模型提供了对锂离子电池内部工作原理的深入分析,包括充电和放电动态、离子传输过程以及热特性。这有助于增强对电池的监测和调节,从而更好地估算电量状态(SoC)和健康状态(SoH)。
- 改善电池寿命和安全性:Jaguemont 等人报告称,电化学模型在优化充电协议和热管理方面起着至关重要的作用,能够准确地模拟内部过程。这导致电池退化的减少,并有助于减轻安全风险,包括热失控。
- 高级电池管理系统中的应用:这些模型促进了预测能力,支持实时决策,涵盖动态能量平衡、故障检测和剩余使用寿命(RUL)的预测。
电化学模型的缺点
- 高计算复杂性:电化学模型由于描述电池内部过程的复杂方程式,需大量计算资源。这可能限制它们在没有复杂计算能力的电动汽车中的实时使用。
- 模型参数化问题:电化学模型的精确参数化需要全面的实验数据,而这些数据并不总是容易获取。此外,模型的性能可能对参数的变化表现出敏感性,导致在特定操作条件下出现不准确的情况。
- 有限的可扩展性:电化学模型提供了对单个电池单元的全面洞察;然而,将这些模型扩展到代表电动车辆中的整个电池组的过程面临挑战,并可能导致显著的不准确性。
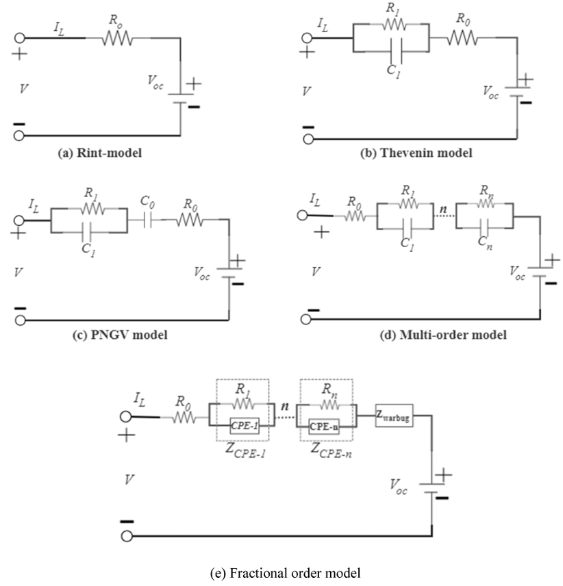
电路模型
电路模型(Electrical circuit models,ECMs),有时被称为基于电路的模型,使用电阻器、电容器和恒功率资源等电路元件创建电路网络,以模拟电池的主动状态。这些组件模型通常计算开销不大,可以简单地融合到电动汽车的系统模型中。两种不同类型的ECMs比集总模型更有效地促进了电池管理系统(BMS)中的能量流管理,如下所述。
(a)积分阶模型 (Integral-order model,IOM)
图6展示了四个IOM基本电路模型。
- 图6(a):展示的Rint模型通过将电池的直流内阻与合适的电压源串联连接,以刻画动力电池的动态特性。该模型构建简单,易于处理,但不够准确,没有考虑动力电池内部发生的极化现象。
- 图6(b):Ding等人将Rint模型作为Thevenin模型的基础,在此基础上加入一个并联的电阻-电容网络,以逼近电池的极化效应。与Rint模型相比,Thevenin模型促进了对动力电池极化特性的研究,并能更准确地估计电池的动态和静态特性,同时计算量更少。电路参数分别从方程(2)
和(3)
估算得出。其中,
,Voc = 开路电压。R1 = 并联电路电阻。C1 = 并联电路电容。V = 端子电压。Vo = Ro 上的电压。 IL = 电池电流。V1 = RC 网络上的电压。 - 图6(c):Nikolian等人在Thevenin模型的基础上,构建了PNGB模型,通过串联连接一个电容器。PNGB原型是一个常见的非线性比较轨迹模型,能够相当准确地再现瞬态响应过程。另一方面,该模型在实际运作中表现较差,涉及大量的意图,且相对复杂。
- 图6(d):RC散度约束用于表示多阶模型中电池的动态和静态特性,通常涉及到两个以上的集合。随着RC模块数量的增加,能量电池状态(SoC)估计的精确度提高,但约束检测变得更加困难。IOM的优势在于约束较少和更高的重现速度,但其根本缺陷在于无法准确推断内在的电化学条件。
(b)分数阶模型(Fractional-order model,FOM)
为了克服IOM的缺点,一些研究人员创建了图6(e)所示的分数阶模型,在该模型中,纯电容元件被Lie等人所提出的恒相位元件所替代。将FOM与IOM进行比较,FOM在计算中更准确且更具多样性。FOM与多阶等效电路的开发为选择电池模型提供了参考。这确保了模型的正确性并减少了模型的复杂性。
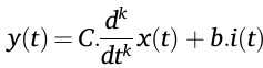
电路模型的优缺点在表3中进行了说明。陈等人利用分数阶模型对锂离子电池的充电状态进行了估计,如公式(4)
所述。其中,C 是常数,k 是分数阶,i(t) 是输入电流。
数据驱动模型
黑箱模型拥有灵活性和无模型的优势。此外,这种方法不使用模型估计技术,避免了建模和约束检测问题。数据驱动策略通常用于电池建模,并表现出强大的非线性和自省特性。为了预测电池状态,可以使用多种软计算方法,包括基于人工/模糊的神经网络、模糊逻辑、支持向量机、3D蒙特卡罗和自回归。模式识别、数据收集和分类等任务在机器学习中可以用来模拟电池在充电和放电过程中的行为。结合人工神经网络和机器学习方法的模型可用于预测任何电池系统的充电和放电行为。黑箱框架由三个步骤组成:数据预处理、准备和估计。在考虑温度和老化的影响时,黑箱模型在准确性和灵活性方面优于其对手。然而,训练数据集的选择和智能算法可以很容易地影响数据驱动技术。此外,相关算法的执行时间也需要给予充分关注。数据驱动范式现在非常有前景,预计会有更多的进展。Hosen等人通过三种不同的模型评估了镍钴锰氧化物(NMC)电池的寿命性能:半经验模型、基于ANN的模型和基于数据驱动的模型。下面讨论了ANN方法和基础概念在锂离子电池中估计健康状态和充电状态的应用。
LIB 状态估计中的人工神经网络原理
- 神经网络结构:人工神经网络由相互连接的节点组成,这些节点称为神经元,按层组织。输入层旨在随着时间的推移接收数据,包括电压读数和电流水平;隐藏层位于两者之间;输出层负责预测电池状况,例如充电状态(SoC)、健康状态(SOH)和剩余使用寿命(RUL)。
- 学习与训练:人工神经网络(ANN)通过训练会从历史电池性能数据中获取知识,在此过程中,它通过评估预测结果与实际结果的差异来调整其参数,并通过反向传播等技术减少这些差异。成功完成培训阶段后,ANN模型能够准确预测电池状况,利用高精度的数据集。
- 非线性映射:人工神经网络(ANN)的一个主要优点是它们能够准确地表示输入变量与电池状态之间复杂的连接。锂离子电池(LIBs)在操作场景中展示出特定行为;人工神经网络擅长有效捕捉这些动态。这一特性使得它们非常适合用于实时监测电动车(EV)电池。
- 执行:在操作过程中,基于人工神经网络的模型分析来自电池管理系统的传感器信息,提供实时的状态评估,包括电池充电状态(SoC)、健康状态(SOH)和其他重要参数。这项技术通过信息不断优化其预测,以实现主动维护和有效的能量控制。
人工神经网络的优势
准确性,灵活性,可拓展性
人工神经网络的缺点
需要大量高质量的训练数据;计算复杂性。
电池状态估计方法
充电电池的特点在于其特定的能量含量,称为充电状态(state of charge,SoC),它表示可充电的总容量的百分比。它描述了可用能量的数量,因此是管理和监控锂离子电池的关键指标。充电状态(SoC)的标准定义是剩余可放电容量(Q)与完全充电电池容量(C)的比率,数值上由公式(5)
表示。
电池老化导致容量(C)随时间波动。健康状态(state of health,SoH)的标准定义是充满电但老化电池的容量与新电池的容量之比,简称为额定容量 Cn。(6)![]()
图7展示了电池状态估计方法的分类。评估充电状态(SoC)和健康状态(SoH)的方法通常被称为状态诊断或状态估计。监测各种电池/单元状态(SoC、SoH、SoT、SoP、DoD、SoF)对于在电动车运行期间实现更高的性能和更长的电池寿命至关重要。在剩余电量比例(SoC)方面,演示面板跟踪每个单元的责任程度。随着单元老化的进展,单元容量会减少,内部单元耐用性会迅速下降。这将导致单元和电池的性能低下,使其不适合用于电动车应用。因此,监测单元的健康状态(SoH)变得必不可少。为了确定电池的状态条件,实施了三种方法,即基于数据的方法、直接方法和基于模型的方法。
直接电池状态估计方法
(a)开路电压(OCV)
多个研究项目专注于直接估计电池状态的方法。开路电压(Open circuit voltage,OCV)是一种离线技术,专注于根据王等人的研究在提供的表格中找到最相关的信息。电池的荷电状态(SoC)与开路电压(OCV)之间的关系通常是线性的(成比例的)。然而,并非所有类型的电池在SoC和OCV之间都有精确的1:1比率。电池的材料和能力会影响这种关联性。例如,铅酸电池在OCV和SoC之间具有线性关系,而锂离子电池则没有。这个过程简单而精确。然而,OCV技术的基本缺点是,它需要较长的休息时间以达到平衡。此外,由于电池的滞后特性,充电时可能导致高OCV,而放电时导致低OCV,需要仔细监测充电和放电电位。
(b)内阻
刘等人通过分析电池的电压和电流测量,确定了充电状态(SoC)和健康状态(SoH)通过内部电阻。测量站点电压在电流变化时需要不到10毫秒的短暂时间。使用这种方法可以非常精确地测量放电的终点。由于电阻值较小,量化电阻面临挑战。因此,这种方法不建议用于SoC的评估。
(c)电动势 (EMF)
王等人利用电池的电动势(EMF)与荷电状态(SoC)之间的关系来估计电池的状态。当电池处于稳定状态时,可以使用电动势来计算开放电压(OCV)。OCV弛豫和其他技术已被多项研究用于检测和预测电动势。
(d)哥伦布计数 (CC)
优化电池充电状态(SoC)以利用最少能量的直接方法是通过云计算。这一过程涉及随时间整合充电和放电电流,以确定由Leng等人报告的充电状态(SoC)。该技术的准确性受到初始SoC值未识别和传感器相关误差的不利影响。因此,当SoC需要在短时间内进行近似,而且已知初始SoC时,这种技术的效果更好。可以通过将热电偶、热阻温度计和光纤布拉格光栅传感器嵌入电池单元,直接监测温度状态(SoT)。然而,这种方法可能导致更复杂的组装和安全问题。直接评估方法通常与辅助技术一起使用,以提高估计的准确性和可靠性。
直接估计方法监测SoC、SoT和SoH等的优缺点及应用列在表6中。
基于模型的电池状态估计方法
在车辆行驶过程中,无法使用直接方法,因为它们需要足够的休息时间来监测状态(SoC),并且无法在线操作。因此,有必要创建一个电池模型以便在线评估SoC。最常用的锂离子电池模型有两个版本,分别是电化学模型和电路模型。通过测量电压、电流和以开尔文为单位的温度来建模锂离子电池。故障指示是由实际值和评估值之间的差异产生的。这个误差信号用于利用基于模型的方法计算锂离子电池的状态(SoC)。在接下来的章节中,我们将单独讨论基于模型的电池状态估计技术。
-
(a) 基于过滤的方法
许多作者在文献中提出了基于滤波的方法,用于计算充电状态(SoC)、健康状态(SoH)和温度状态(SoT)。
- 卡尔曼滤波器(KF)最近引起了对状态充电(SoC)、状态温度(SoT)和健康状态(SoH)量化的极大关注,尽管它具有显著的计算复杂性。KF的主要优势在于能够通过滤除干扰(噪声)、显著的测量方差和其他系统缺陷来正确估计系统状态。KF通过平均预期值和测量值来解决输入值的不确定性。然而,非线性系统的状态预测不能直接通过KF完成。此外,它需要的计算本质上是极其复杂的。
- 一种创新的扩展卡尔曼滤波(EKF)技术用于测量内部和表面温度,而无需额外的热传感器。
- 一种自适应扩展卡尔曼滤波器(AEKF),以实现准确和可靠的锂离子电池SoC测量。
- 卡尔曼滤波器的升级变种称为无迹卡尔曼滤波器(UKF),它使用无迹变换和离散时间滤波方法来解决滤波问题。
模拟结果表明,相比于扩展卡尔曼滤波(EKF),AEKF更为精确和可靠。估计的SOC误差已经从3.16%降低到1.06%。
此外,UKF通过三阶预测任何非线性系统可能具有的结构状态,从而使其比EKF更为准确。但由于建模和系统不稳定性带来的不确定性,该程序的稳健性不足。
利用扩展卡尔曼滤波器对LIB实施了非线性空间方程(7)
和(8)
。其中 f 代表非线性状态更新函数,ℎ 代表测量模型。
- 粒子滤波器(particle filter,PF)采用蒙特卡洛近似方法来估计状态。SoC值与柔性流电流之间的关系通过Du等人的过程模型得以阐明。
- 为了提高PF的有效性,它可以与其他方法结合使用。解决时变系统(如锂离子电池)的一个备受欢迎的技术是H无穷滤波器(H infinity Filter,H∞F)。H∞F是一种简单而极为可靠的SoC估计方法。Liu等人探讨了H∞F被认为是卡尔曼滤波器的一个强鲁棒变种,因为它能够在最坏情况下最小化估计误差。
- 递归最小二乘法(RLS)是一种替代的有用工具,适用于时变系统。RLS规则集通过遗忘因子来评估原型约束。Lotfi等人提出的RLS模型有助于减少测量电压中的噪声和预期的充电状态(SoC)误差。
(b) 基于观测器的方法
充电状态(SoC)、健康状态(SoH)和温度状态(SoT)通过基于观察的方法被多位研究者确定,包括LO、NLO、SMO、PIO、STSMO、FOSMO和ASGSMO。
电池状态,包括SoC、SoH和SoT,是使用基于线性和非线性观测器的方法(LO和NLO)进行估计的。当与其他观察技术相比时,NLO的复杂性较低,精度更高,且更具鲁棒性。为了提高锂离子电池SoC的估计精度,Chen等人还提出了几种NLO版本。比例积分观测器(proportional integral observer,PIO)是一种被广泛接受、简单且有效的替代反馈调节系统的方法。该模型的好处包括能够有效计算SoC估计值,同时提高模型的强度。此外,PIO方法与EKF(扩展卡尔曼滤波)之间的比较显示,PIO方法更准确且更少复杂。
利用滑模观测器(sliding mode-observer,SMO)方法提高锂离子电池系统在干扰下的控制、韧性和稳定性。为补偿电池的非线性主动特性,采用简单的RC电路创建了一种基于SMO的状态充电(SoC)估计方法。文献中发表了多种变体,包括自适应增益SMO(adaptive gain SMO,AGSMO)、自适应切换增益SMO(adaptive switching gain SMO,ASGSMO)、超扭曲SMO(super-twisting SMO,STSMO)和分数阶SMO(fractional order SMO,FOSMO),以提高SMO的有效性、精确度和耐用性。不同的基于模型的方法及其优缺点在表7中进行了说明。
基于计算技术的电池状态估计方法
计算方法因其灵活性和独立于标准的优势,已受到广泛关注用于估计电池的状态(SoC)、健康状态(SoH)和时间状态(SoT)。由于不使用模型估计方法,它避开了建模和约束检测的顾虑。一些软计算技术,如神经网络(NN)、模糊逻辑(FL)、遗传算法(GA)、人工神经网络(ANN)、模糊神经网络(FNN)、支持向量机(SVM)、粒子群优化(PSO)和细菌觅食算法(BFA),可以用于预测电池状态。以下小节涵盖数据学习、训练和其他计算方法。
(a) 数据训练与学习方法
以下部分涵盖了各种数据训练和学习计算技术,包括神经网络、模糊逻辑、遗传算法、支持向量机、粒子群优化、细菌觅食算法和自适应神经模糊推理系统。
- 一种称为神经网络(NN)的计算框架主要基于人脑的结构设计,用于执行一系列功能。自适应和学习的能力使NN能够构建极其复杂的非线性系统。它采用了三层结构,输入层和输出层中的神经元满足系统需求。图8展示了由于神经元和隐藏层的作用,输入层与输出层之间的联系。NN利用SoC作为输出,流电流、站电压和温度作为输入来构建NN网络的拓扑。然而,算法必须保留大量数据以进行训练,这不仅给机器带来了负担,还需要大量的内存存储。EKF、UKF、BFA等技术与NN相结合,以提高其效率和性能。
- 另一种有效的技术用于确定非常复杂和非线性排列(如锂离子电池)中未识别的约束,即模糊逻辑(fuzzy logic,FL),根据阿里等人的研究。由于FL仅使用输入数据,并通过模糊规则库来确定约束,因此不需要对系统有详细的科学原型。推理引擎、模糊规则基础、去模糊化和模糊性是可以分开描述FL操作的四个阶段。尽管FL在预测非线性模型方面具有强大的功能,但根据埃斯佩达尔等人的研究,它也需要昂贵的处理单元、大量内存和复杂的计算。
- 遗传算法(GA)是一种多学科工程系统,被用于非线性系统,以获得理想的模型参数。基本任务是以最佳方式调整参数以提高组织的效率。利用明确的GA阶段,如交叉、选择和变异,字符串操作用于寻找最佳的锂离子电池配置。根据郑等人的研究,几种其他基于模型的估计方法与GA结合,以估计电池的状态(SoC)。
- 支持向量机(Support Vector Machines,SVM)通过采用各种核函数和回归技术,将非线性模型转变为线性模型。使用SVM技术可以确定具有卓越能力的锂离子电池的荷电状态(SoC)。该模型评估的坚持度为0.97,表明SoC具有很高的准确性。SVM与各种方法相结合,以提高系统的效率和准确性。
- 粒子群优化(Particle swarm-optimization,PSO)是一种从自然中获取灵感的方法,用于在各种技术领域找到最佳的实际解决方案。该系统的主要目标是促进群体之间的信息共享。尽管群体内的个体鸟类不了解食物的确切位置,但它们的合作使它们能够有效地找到觅食地点,正如余等人所述。PSO被用于确定新提出的先进EKF-SoC估算器中锂电池的时间变化特性。
- 自适应神经模糊推理系统(Adaptive neuro fuzzy inference system,ANFIS)是人工神经网络(NN)的改进版本,主要受到“高木-菅野模糊推理系统”的启发。ANFIS结合了模糊逻辑(FL)和神经网络(NN)的优点,使建模、优化和非线性映射成为可能。基于ANFIS的充电状态(SoC)估计器使用不同的放电电流特征来测试所提出方法的有效性。
表8中比较了不同的数据训练和学习方法及其优缺点。
(b) 其他计算机化电池状态估计方法
我们探索双线性插值(bi-linear interpolation)、脉冲响应(impulse response,IR)、多变量自适应回归样条(multivariate adaptive regression spline,MARS)和混合方法(hybrid approaches)作为其他计算机化的电池状态估计方法。
- 充电和放电电流由于电池电流与外部因素以及电池容量之间的紧密联系而不稳定。因此,在线电动汽车应用不能依靠使用线性插值恒定电流的状态估计。可以利用双线性插值在不同电流值下计算状态,以绕过这些挑战。双线性插值算法扩展了双线性中断。Liye 等人建议使用双线性插值法结合三维查找表进行状态估计。
- 使用脉冲响应(IR)方法计算随机输出线性时不变(linear time-invariant,LTI)系统的输出。Ranjbar 等人提供了基于在线的状态估计。虚拟现实的结果与实际的状态煤(SoC)值进行了对比,研究结果表明,预测的数量与实际的SoC值表现出最佳的接受度。
- 产品样条根运算的进展是多元自适应回归样条(MARS)模型,其中基函数和参数从数据中自动计算。为了区分电池的约束、核心功能和常量,采用了电池的参数。在通过0.98的耐力因子评估仿真时,在25%到90%的SoC水平上达到了1%的真实度。他们方案的主要优点是可以在廉价的微控制器上简单实施。通过双到三重过程的混合方法提高了电池管理系统的效率、准确性和成本。
- 使用扩展卡尔曼滤波(EKF)和库仑计数法创建一个混合模型来估计时间变化的动态系统。采用分离时间卡尔曼滤波和H∞滤波的组合处理非线性锂离子无线标准。
不同电池状态估计方法的性能矩阵在表9中展示。
ME:最大误差,MAE:最大绝对误差
电池故障诊断
识别锂离子电池(LIB)中的故障对于维护电动汽车(EV)的安全性、可靠性和使用寿命至关重要。识别和解决电池故障,包括内部短路、过充电、过放电、热失控或容量衰减,对于减轻性能问题和安全隐患(例如火灾或爆炸)是必要的。及时准确地识别故障有助于采取主动措施,并有助于延长电池的使用寿命。可以根据健康状态(SoH)、使用寿命结束(EoL)和轨迹预测对电池故障进行了分类。以下列出了几种锂离子电池(LIB)故障诊断的先进方法。
(a)基于模型的方法
在基于模型的方法中,采用数学模型来复制标准电池行为,从而能够识别预期性能的偏差作为故障。一种方法是使用滑模观测器(SMO),它分析模型预测电压与实际测量之间的差异,以识别传感器或组件故障。Xu等实现了一种滑模观测器,通过实时模型重构来识别锂离子电池包中的传感器故障。
(b)机器学习方法
模型驱动的方法需要一个健壮的模型,以准确捕捉电池行为并随后估计关键的代表性参数。然而,在实际应用中,实现模型复杂性与准确性之间的平衡仍然是一个重大挑战。因此,利用机器学习技术的无模型方法近年来越来越受欢迎。机器学习的方法旨在建立所选输入与期望健康状态之间的非线性联系。使用机器学习估计电池健康状态的典型工作流程包括数据收集和预处理、输入准备、模型训练和随后模型测试。
根据机器学习算法中使用的输入类型(因为输出在所有类型的方法中保持一致),目前的方法可以分为:
- 基于特征的方法:必须手动提取特征以准备输入,这个过程通常被称为历史指标(historical indicators,HIs)提取。从收集的数据中导出特征是执行基于特征的健康状态估计的最简单方法。Meng等人确定脉冲电流对电压响应随电池老化而变化,并识别出了四个代表性电压值作为特征。
- 无特征的方法:不依赖特征的方法涉及通过机器学习进行电池健康状态估计,消除了手动提取和选择历史指标的需要。Zhou等人提出了一种深度学习方法,利用时间卷积神经网络(TCN)来估计电池的健康状态(SoH),利用来自部分电压和温度测量的原始数据。
(c) 数据驱动的方法
采用诸如人工神经网络(ANNs)和支持向量机(SVMs)等技术进行故障分类,特别是在识别复杂问题如短路或容量退化方面。张等人提出了一个多故障诊断框架,该框架利用曲线曼哈顿距离评估以及电压差分析,实时识别低电池容量和内部短路等问题。
(d)混合模型
最近提出了一种利用模糊卡尔曼滤波器诊断内部短路的方法,有效解决了传统基于模型的方法在低电量状态下存在的不准确性。Zou等人提出了一种混合方法,将电化学模型与深度学习结合,以提高故障的早期检测。
(e)小波包分解和特征提取
基于小波的特征提取在识别小的、局部的故障方面被证明是非常有效的,这些故障在电池的整体行为中可能并不明显。Liao等人建立了一个故障检测框架,利用小波包分解和曼哈顿距离度量来识别锂离子电池组中的小故障。
BHMS技术的进展
BHMS 的状态估计和预测能力可以通过实施先进技术来增强。主要技术包括区块链、人工智能 (AI)、云计算 (CC) 和多模型的共同估计。它们的功能是提升电池的性能和强度。物联网 (IoT) 作为不同传感器(硬件)和应用程序(软件)之间的中介或通道。物联网的主要功能是使用各种协议从不同的硬件收集数据,配置远程设备,并管理这些设备。车辆主控制器与观察参数之间的本地通信用于估计功率流、充电状态 (SoC)、健康状态 (SoH)、放电深度 (DoD) 等。这些计算和近似值通过物联网 (IoT) 系统无线传输到远程位置。电池系统通过包括 ZigBee、Wi-Fi、GSM、蓝牙、GPRS 和 GPS 在内的多种无线技术进行监测。
AI
传感器技术的广泛应用以及物联网 (IoT) 设备的持续进展,使得收集大量数据变得更加容易,并允许对电池数字形式进行更深入的探索。根据 Xi 等人的研究,许多数据驱动的人工智能技术,如机器学习 (ML)、支持向量机 (SVM)、径向基函数 (RBF) 以及神经网络 (NN),正获得重新关注。通过融合人工智能和电池管理系统 (BMS),可能会创建一个电池信息双胞胎,这将为更准确地评估各种电池状态提供一个智能、精确和有效的框架。有一些研究项目已经取得了成功的结果。使用人工神经网络模型预测了锂离子电池 (LIB) 的温度。此外,为了有效调节电池的状态电量 (SoC),Som 等人使用了微调的进化算法和增强的碰撞体优化。深度神经网络结构可以有效地用于电池状态估计。未来的电池管理系统将极大受益于这些基于人工智能的解决方案。
- 合并基于人工智能和传统能源管理系统:在实际场景中,人工智能可以通过增加一个智能层来改善传统的基于规则的系统,使规则能够动态适应。例如,人工智能模型可以分析电池的衰退速率,并调整充电技术以减缓这种衰退。与此同时,基于规则的系统管理日常功能,例如防止过充或过热。在需求高峰期或电网面临挑战时,人工智能可以介入以提高运行效率。同时,传统系统保持其日复一日的一致操作。这种集成结合了传统基于规则的系统的优势与人工智能驱动模型的适应性,从而提高了能源效率和延长了电池寿命。
- 使用人工智能和传统冷却系统的先进热管理:通过结合人工智能驱动的控制来增强传统冷却系统,这些控制系统持续跟踪温度数据并优化冷却周期。信息系统可以满足基本的冷却需求,而人工智能则根据实时条件和预测模型积极调整冷却能力。例如,人工智能有能力预见即将到来的高能耗期,从而允许采取预防冷却措施以减轻热应力。这种集成提高了可靠性,而传统冷却系统确保初始安全。此外,人工智能预测关键的冷却需求并最小化能耗,有效防止过度冷却。
云计算(CC)
在半导体和通信行业,特别是第五、第六和下一代网络技术的引入方面,取得了前所未有的进展。汽车CC的主要组成部分有三个:电动车的框架、连接性和云平台。为了运行复杂的算法,如数据驱动的人工智能、大数据分析或数据挖掘,地方服务器将收集大量的实时数据并转移到CC中心。这样的技术对于地方或车载BHMS(电池健康管理系统)来说,管理庞大的数据集需要太多时间。通过整合资源和共享数据,云BMS(电池管理系统)创建了电池方案的数字复制,并预测了因为老化而导致的SoH(健康状态)信号容量以及功率下降。利用车辆物联网和CC技术,创建了一个通过互联网的双层分散架构,实现实时全球优化。除了SoH预测,CC平台还可以轻松实现故障诊断和状态评估,并将其发送到附近的BHMS,为庞大的移动电动车能源网络提供远程监控和维修。
将电池互联网(IoB)与传统无线电池管理系统连接起来:传统的BMS系统提供电池健康状况的直接本地监测。然而,离岸IoB的集成可以显著增强这些能力。通过在所有船只上实施基于云的中介覆盖,它允许从传统系统收集数据。利用分析促进中心故障检测,优化能源使用,并为电动车或众多储存系统内的各种产品实施预测性维护。将IoB集成到传统有线BMS中,使操作员能够利用有线系统的可靠性,同时享受IoB在管理大量舰队时提供的灵活性和可扩展性。
区块链技术
区块链技术的实施采用了二级层次结构,以促进各个地区的汽车数据共享。
- (i) 未公开的区块链:未公开的区块链保留创新信息,包括与每个操作员相关的编码和共享单位。
- (ii) 联合区块链:联合区块链通过整合来自安全和社区数据的保护单位和共享单位来收集可研究的指标。
区块链技术提供了数据安全性和完整性的好处。除了为电动汽车网络提供智能监控、预测和控制外,它还可以保护互联网连接的电池管理系统(BMS)免受敌对的网络物理攻击。通过降低状态健康(SoH)的估计错误,这项技术超越了从各个利益相关者收集充电数据的传统方法。除了在地方联盟中进行电池管理外,区块链技术还可以以最高隐私级别促进匿名交易。
多模型的共同估计
共同估计多模型方法可以整合两种或多种技术的相对优势。融合估计的概念是通过将三种电路模型与一种遗传算法结合而创建的。此外,王等人还结合了多种方法,包括支持向量衰减规则、线性回归规则以及任意森林规则,以协助电池状态(SoC)预测。宋等人采用了一种数据驱动的方法,结合模型基础的无味粒子滤波器和最小二乘支持向量机,以更高的精度进行在线多状态估计。为了展示多条件连接评估(如电池状态(SoC)、健康状态(SoH)以及性能状态(SoP))的有效性和鲁棒性,胡等人开发了另一种改进的共同估计层次结构。
表10列出了各种先进方法在电池状态估计和建模中的优缺点。
参考文献:

被折叠的 条评论
为什么被折叠?



