前置知识
1)微分算子、微分方程
\quad 参考:线性微分方程的利器-微分算子法、微分方程(1)-基本概念及分类
\quad 先来看一看什么是函数,如下图,进去一个数,经过某种处理变成另外一个数。进去的数为自变量,出来的数为因变量,而中间的某种处理就是对应法则。用数学表达就是: y=f(x) ,这就是函数。

\quad 那么现在变一下,如果进去的是函数,出来的也是函数呢?如下图:

\quad 可见,函数 f 经过某种操作就变成了函数 g ,而算子,就可以理解为使得函数改变的操作。进去一个函数,经过某种处理变成另外一个函数。
\quad 微分算子又是什么呢? 函数 y 经过处理变成了 y’,这种处理就是微分算子。如果用D表示,如下图。

\quad 微分算子有一些不错的性质,常用来求解微分方程。
2)微分方程、常微分方程、偏微分方程
\quad 微分方程是一种数学方程,用来描述某一类函数与其导数之间的关系,即,含有未知函数及其导数的方程。
\quad 常微分方程(Ordinary Differential Equation,ODE)指的是:仅含有一个独立变量的微分方程。如果微分方程中的未知函数包含两个或两个以上的独立变量,则该微分方程为偏微分方程(Partial Differential Equations,PDE)。
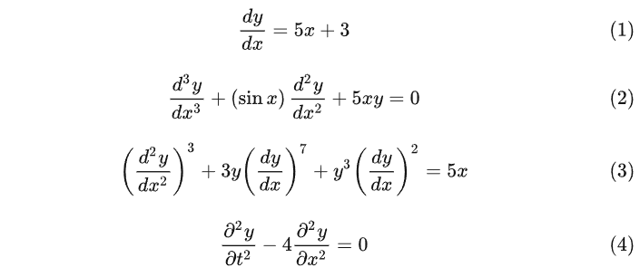
\quad 在下面式子中,(1)(2)(3) 就是常微分方程,因为因为只包含一个独立变量 x ;而例子 (4) 中包含两个自变量 t 和 x ,所以是偏微分方程。

\quad 特解指的是满足微分方程的某一个解;通解指的是满足微分方程的一组解。

文章探讨了微分算子和微分方程的基础概念,特别是常微分方程和偏微分方程,以及它们与深度学习的交叉,如Physics-informedneuralnetworks(PINNs)。提出了低秩PINNs(LR-PINNs)作为处理参数化偏微分方程的有效方法,通过元学习和神经网络架构的创新解决了大规模查询场景下的计算问题。
最低0.47元/天 解锁文章
1085

被折叠的 条评论
为什么被折叠?



