
| 🚀 算法题 🚀 |
🌲 算法刷题专栏 | 面试必备算法 | 面试高频算法 🍀
🌲 越难的东西,越要努力坚持,因为它具有很高的价值,算法就是这样✨
🌲 作者简介:硕风和炜,优快云-Java领域优质创作者🏆,保研|国家奖学金|高中学习JAVA|大学完善JAVA开发技术栈|面试刷题|面经八股文|经验分享|好用的网站工具分享💎💎💎
🌲 恭喜你发现一枚宝藏博主,赶快收入囊中吧🌻
🌲 人生如棋,我愿为卒,行动虽慢,可谁曾见我后退一步?🎯🎯
| 🚀 算法题 🚀 |


🚩 题目链接
⛲ 题目描述
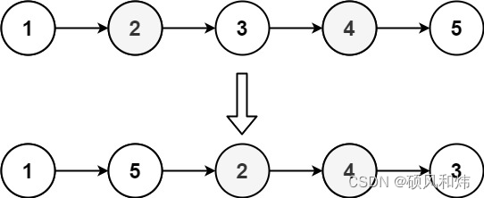
给定一个单链表 L 的头节点 head ,单链表 L 表示为:
L0 → L1 → … → Ln - 1 → Ln
请将其重新排列后变为:
L0 → Ln → L1 → Ln - 1 → L2 → Ln - 2 → …
不能只是单纯的改变节点内部的值,而是需要实际的进行节点交换。
示例 1:

输入:head = [1,2,3,4]
输出:[1,4,2,3]
示例 2:

输入:head = [1,2,3,4,5]
输出:[1,5,2,4,3]
提示:
链表的长度范围为 [1, 5 * 104]
1 <= node.val <= 1000
🌟 求解思路&实现代码&运行结果
⚡ 链表
🥦 求解思路
- 该题目要求我们从链表的头尾进行拼接节点。我们分以下几个步骤实现。
- 首先,我们通过快慢指针将链表拆分为俩段,并找到该链表的中间节点;
- 其次,反转第二段的链表。
- 将第一段链表和第二段的链表进行合并。此时合并的时候需要额外注意,必须要先分别记录俩段链表的next节点。否则,在first.next = second之后,移动first 指针会出错,second同理。
- 有了基本的思路,接下来我们就来通过代码来实现一下。
🥦 实现代码
/**
* Definition for singly-linked list.
* public class ListNode {
* int val;
* ListNode next;
* ListNode() {}
* ListNode(int val) { this.val = val; }
* ListNode(int val, ListNode next) { this.val = val; this.next = next; }
* }
*/
class Solution {
public void reorderList(ListNode head)
链表算法:如何实现重排链表的递归与反转操作

最低0.47元/天 解锁文章
486

被折叠的 条评论
为什么被折叠?



